Fig. 3
From: Single-quantum sodium MRI at 3 T for separation of mono- and bi-T2 sodium signals

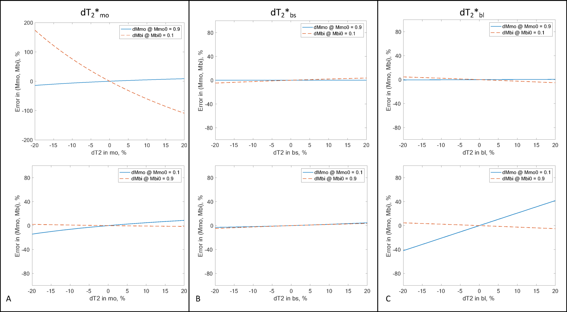
Impact of T2* values on the separation of mono- and bi-T2 sodium signals (mmo, mbi) at {T2*mo, T2*bs, T2*bl} = (50.0, 3.5, 15.0) ms for two extreme cases: mono-T2 sodium dominating (top row), mmo = 0.9, and bi-T2 sodium dominating (bottom row), mbi = 0.9. (A) Error in T2*mo. (B) Error in T2*bs. (C) Error in T2*bl.