Fig. 1
From: Calcium enhanced ambient cured fly Ash based geopolymer binders

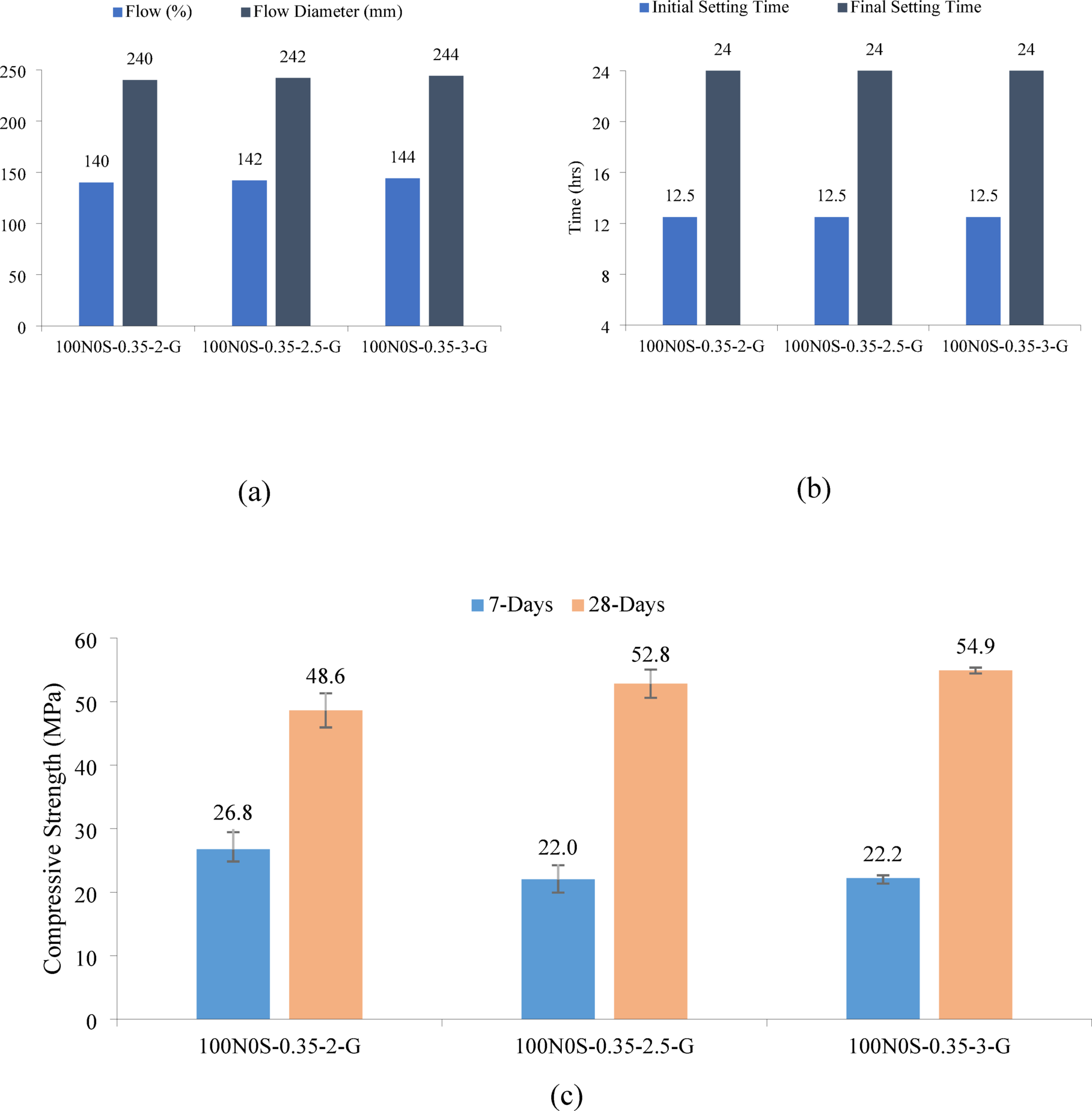
Effect of SS to SH ratio in the activated fly ash paste on (a) flow measurements (b) setting times, and (c) compressive strength.
From: Calcium enhanced ambient cured fly Ash based geopolymer binders

Effect of SS to SH ratio in the activated fly ash paste on (a) flow measurements (b) setting times, and (c) compressive strength.