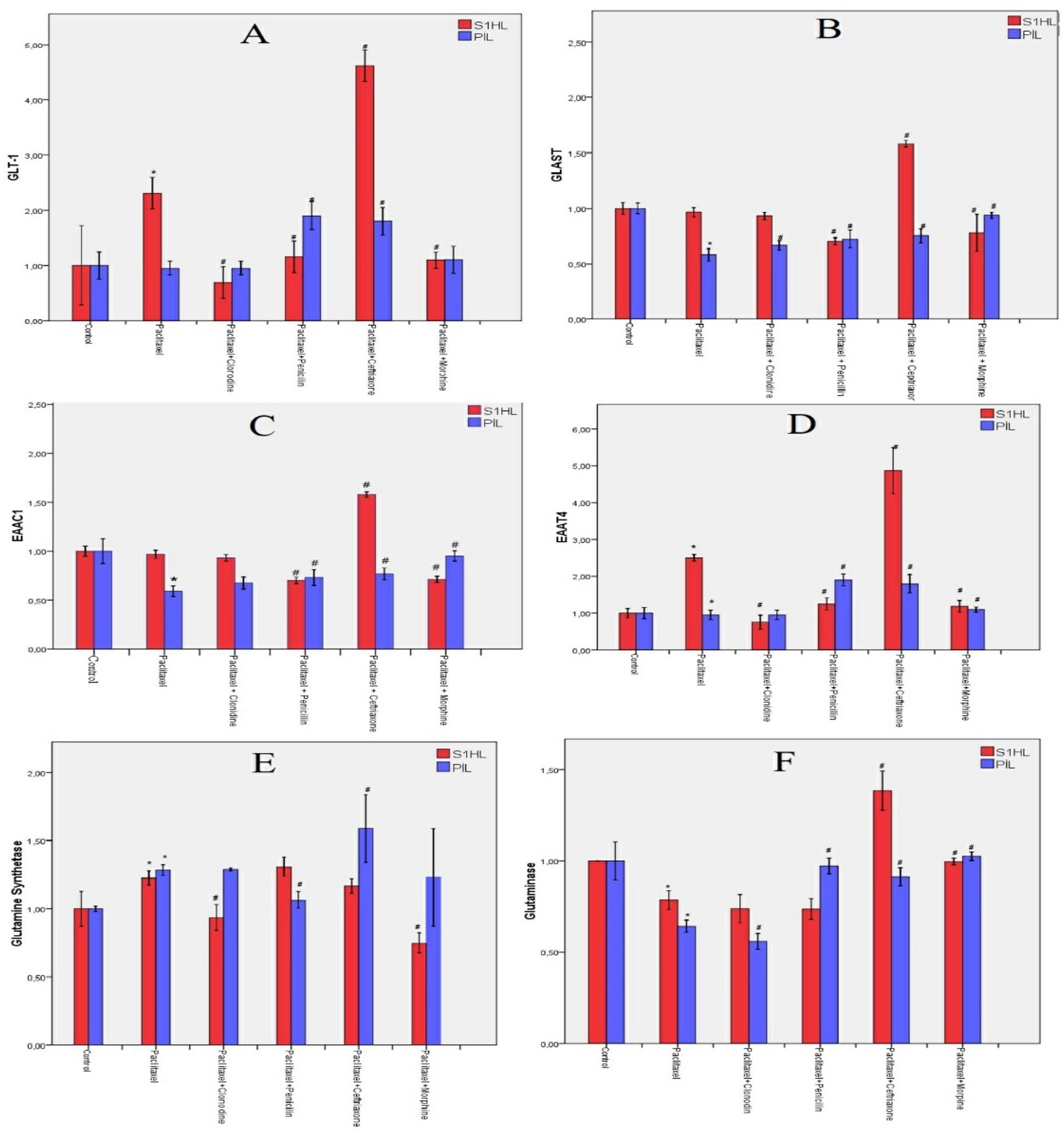
Fig. 4

Gene expression in all groups by brain region (S1HL, PIL). (A) SLC1A2 gene expression analysis of the GLT-1 glutamate transporter. (B) Results of SLC1A3 gene expression analysis for the GLAST glutamate transporter. (C) SLC1A1 gene expression analysis of the EAAC1 glutamate transporter. (D) SLC1A6 gene expression analysis of the EAAT4 glutamate transporter. (E) Glul gene expression analysis of the glutamine synthetase enzyme. (F) Results of Gls gene expression analysis for glutaminase. All the results are presented as the means +/- standard deviations (SDs) for the reuptake times (T80). One-way ANOVA with Tukey’s post hoc test was used for the analyses. The ANOVA results for the S1HL brain region were as follows: GLT-1, F (5,12) = 280,11, p = 0,000; GLAST, F (5,12) = 302,59, p = 0,000; EAAC1, F (5,12) = 1374,98, p = 0,000; EAAT4, F (5,12) = 546,59, p = 0,000; glutamine synthetase, F (5,12) = 290,23, p = 0,000; and glutaminase, F (5,12) = 115,51 p = 0,000. The PIL brain regions were as follows: GLT-1, F (5,12) = 78,67, p = 0,000; GLAST, F (5,12) = 158,96, p = 0,000; EAAC1, F (5,12) = 78,47, p = 0,000; EAAT4, F (5,12) = 151,07, p = 0,000; glutamine synthetase, F (5,12) = 239,38, p = 0,000; and glutaminase, F (5,12) = 24,47 p = 0,000. Differences were considered significant at * P < 0.05 compared with the control and # P < 0.05 compared with paclitaxel.