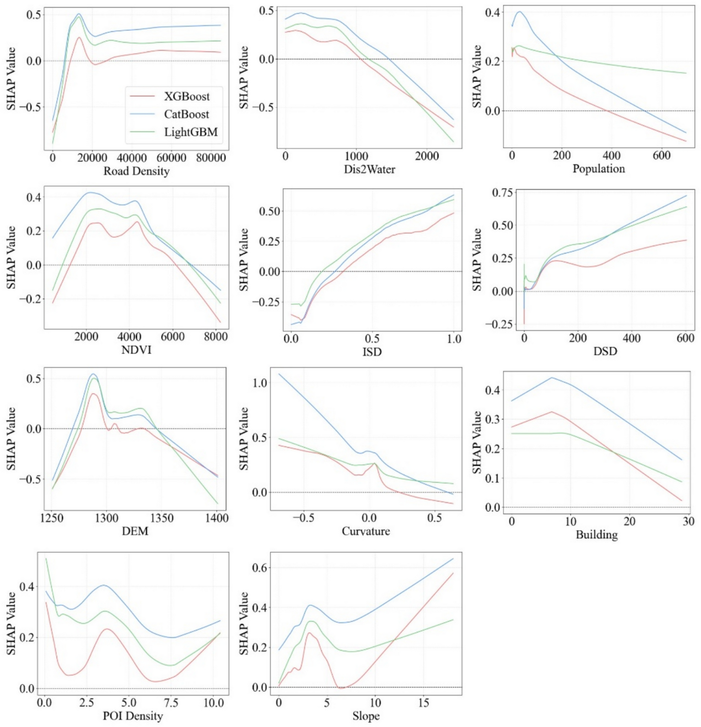
Fig. 6

The partial dependence plots for all flooding factors across the three ML models. The red line represents XGBoost, the blue line represents CatBoost, and the green line represents LightGBM.

The partial dependence plots for all flooding factors across the three ML models. The red line represents XGBoost, the blue line represents CatBoost, and the green line represents LightGBM.