Abstract
With global climate change and accelerating urbanization, urban flood is becoming more frequent worldwide. Understanding the urban vulnerability is crucial for making decisions on urban flood control. This study uses urban flood susceptibility (UFS) as an indicator, and comprehensively applies three machine learning models, XGBoost, CatBoost and LightGBM, in the Kangyi area of Ordos City. Combined with the Shapley Additive explanations method, the driving mechanism and spatial heterogeneity of flood susceptibility was explored in the study area. The results show: (1) Model performance comparison: All three models have high accuracy, with XGBoost performing well in overall classification (OA = 0.96) and CatBoost performing well in distinguishing flood/non-flood samples (AUC = 0.85). (2) Multi-model adaptability assessment: The proposed “model-factor-space” framework highlights the sensitivity of XGBoost to urbanization indicators, the ability of CatBoost to capture natural
geographical elements, and the efficiency of LightGBM in analyzing terrain thresholds. (3) Dynamic thresholds and synergies: Impervious surface density (ISD) is the most critical factor, and when ISD > 0.2, the risk of flooding will continue to increase by 60%. Comprehensive analysis with spatial heterogeneity shows that high-risk areas are mainly affected by ISD, road density (> 10,000 m/km2) and low altitude (< 1300m) in urban built-up areas, while low-to-medium risk areas are sensitive to vegetation coverage (> 7,000) and Dis2Water bodies (> 1,500m). (4) Hierarchical governance strategy: A three-level spatial governance strategy is proposed: in the core area, priority is given to ISD control (< 0.2) and pipe network upgrades; in the transitional area, slope interception and ecological restoration are combined; and in the potential risk area, a multi-scale monitoring and early warning system is established for multi-scale monitoring.
Introduction
Urban flooding is one of the most destructive natural disasters which poses a serious threat to human society. Due to global climate change and the impact of human activities. The frequency, intensity, and resulting damages of urban floods have increased significantly. According to the data from the World Meteorological Organization, between 1970 and 2019, events caused by climate and water-related disasters accounted for half of all natural disasters and caused about 74% of economic losses1. Almost half of these disasters are directly related to floods. Floods have a devastating impact on people’s lives and cause economic losses. According to the 2023 China Flood and Drought Disaster Prevention Bulletin, in 2023, a total of 5,278,930,000 people were affected by floods across the country, with a total of 130,000 houses collapsing and 4,633,290 hectares of farmland damaged. The direct economic loss reached 244.575 billion yuan, accounting for approximately 0.19% of the gross domestic product (GDP) that year2, 3. These figures not only reflect the direct impact of natural disasters on the economy and society, but also highlight the importance of urban flood prevention and control.
Currently, research on urban flooding focuses on hydrological-hydrodynamic modeling and machine learning models4. Hydrological-hydrodynamic modeling studies usually need to rely on hydrodynamic or empirical formulations using optimized parameters to accurately simulate urban runoff processes5. The field has witnessed significant advancements in hydrological-hydrodynamic modeling, with numerous established models now routinely used for urban flood risk assessment worldwide. Among them, InfoWorks ICM model and SWMM model show strong simulation ability in large return period rainfall events, which can effectively evaluate stormwater runoff simulation, drainage system performance assessment, and flood risk analysis under different rainfall conditions (Yu et al., 2014; Babaei et al., 2018; Cheng et al., 2017;6),Dedicated flood simulation models such as FloodArea enable numerical simulation of the flood formation process under different return period conditions, verifying the effectiveness of the models in flood depth prediction and spatial distribution analysis (Xue et al., 2016). Although the results simulated by many scholars using the hydrological hydrodynamic model are very effective, the model has the following limitations. The acquisition of urban flooding data during preliminary stages faces significant constraints, particularly regarding underground pipeline network locations and hydraulic parameters. Concurrently, prevailing methodologies exhibit limited capacity to capture nonlinear interactions among flooding drivers. Further compounding these challenges, high-resolution datasets remain largely inaccessible in observation-scarce regions due to sparse monitoring infrastructure. Finally, model uncertainties stemming from insufficient spatial heterogeneity representation and multi-source error propagation persist as critical limitations.
Machine learning, as a powerful data analysis tool, has been widely used in recent years for modeling and prediction of complex systems. Its core advantage lies in its ability to identify complex nonlinear relationships and spatial heterogeneity by mining the potential laws in the data; especially when dealing with high-dimensional, nonlinear data. Machine learning demonstrates predictive competencies unattainable through process-based hydrological models. In addition, machine learning has low requirements for data types, is highly applicable, and is able to provide reliable analytical results in the case of limited information. These characteristics make it an ideal tool for studying urban flood simulation and flood risk management5, 7,8,9,10,11. Flood susceptibility is an important indicator of the likelihood of flooding and its potential impacts in a given area, and it is crucial for understanding the flood formation mechanism, assessing the risk level, and formulating flood prevention and mitigation strategies2. However, the study of flood susceptibility is often limited by the complex nonlinear relationships among the influencing factors and significant spatial heterogeneity. Traditional statistical methods face many challenges in parsing these problems, and the introduction of machine learning provides new ideas to solve these problems. Among them, traditional machine learning models, such as logistic regression, are unable to handle complex nonlinear relationships, neural networks lack interpretability, and random forests are prone to overfitting in high-dimensional feature scenarios12,13,14. The gradient boosting integrated models represented by XGBoost, LightGBM and CatBoost, however, show unique advantages in urban flooding research through iterative optimization of multiple decision trees. In the study of flooding in Guangdong-Hong Kong-Macao Greater Bay Area (GBA) and Beijing, the gradient boosted tree (GBDT), XGBoost, CatBoost, and AdaBoost models are utilized to predict regional flooding vulnerability, and the spatial risk maps of flooding in GBA and Beijing are drawn8, 10. Among them, the gradient boosting integration model demonstrates advantages in flood susceptibility studies, i.e., the tree-based model automatically captures factor interactions without assuming linear relationships, can efficiently deal with nonlinear relationships, and has higher computational efficiency and generalizability page than other models. In this paper, based on the machine learning approach and combined with the flood susceptibility analysis, three gradient boosting integration models are constructed to comprehensively resolve the complex nonlinear relationships and spatial heterogeneity among flood factors. Spatial heterogeneity refers to the uneven distribution of flood susceptibility and its driving factors across space, encompassing two dimensions: natural geographical heterogeneity (e.g., topography, vegetation) and human activity heterogeneity (e.g., land use, infrastructure. Meanwhile, in order to enhance the interpretability of the models, the SHapley Additive exPlanations (SHAP) method is introduced to reveal the specific contributions of different flood factors to the model output11. Through this comprehensive framework, this paper aims to explore the driving mechanisms of flood susceptibility in depth and provide scientific basis and technical support for flood risk management.
Based on the above background, the objectives of this study are as follows: (1) To develop and validate three machine learning models for predicting, mapping, and analyzing spatial heterogeneity of flood susceptibility across the study area; (2) To analyze the impact of different flood factors on urban flood susceptibility and the spatial heterogeneity of the degree of influence of flood factors; (3) To provide site-specific quantitative decision support for flood control and disaster reduction based on the results of this article.
Study area and data
Study area
Ordos is located in the middle reaches of the Yellow River in northwestern China, with geographical coordinates ranging from longitude 106°27′ to 111°28′ and latitude 37°38′ to 40°52′ (Yang et al., 2016). It is surrounded by the Yellow River to the north, east and west, and borders the Loess Plateau to the south. The terrain is higher in the west than in the east, with a large difference in altitude across the region (Tang et al., 2014). The region has a semi-arid climate, with an annual average precipitation of about 396.8 mm, an annual average evaporation of about 1753.8 mm, and an average annual temperature of about 7.2 °C, with an average temperature of about 24 °C in July (Tian et al., 2021). The Dongkangyi urban agglomeration is located on the northeast side of Ordos City, with a total area of 580 square kilometers and a built-up area of about 174 square kilometers(Fig. 1). It covers three administrative districts: Dongsheng District, Kangbashi District, and Yiqi’azhen. The Kangyi area, which is composed of Kangbashi District and A Town, is the main research area. The average altitude of Ordos’s urban center is 1,400 m. Although it is located in an arid and rainless area, with annual rainfall of less than 400 mm, frequent heavy rainfall in short periods of time has led to an increase in the phenomenon of rapid changes between drought and flood. In addition, most of its soil is chestnut calcium soil, which is loose and can easily form surface runoff when it rains. However, the urban infrastructure in the study area, especially the drainage capacity, is still not perfect, which has caused serious local flooding many times. The region is densely populated, with a relatively developed economy and public services, and the damage caused by local flooding is huge.
Study area.
Data sources
The data used in this study include: (1) Flood points: obtained from the Ordos municipal government; (2) Drainage network data: provided by the Ordos Water Authority; (3) Population distribution: with a resolution of 100 m, from the Figshare database15, (4) Points of interest (POI): all point-based geographical entities in Ordos, from Amap (https://ditu.amap.com/); (5) Road network: obtained from the Ordos Municipal Government; (6) Digital elevation model (DEM): 30-m resolution, obtained from Geospatial Data Cloud (http://www.gscloud.cn); (7) Land use: 1-m resolution, obtained from Earth System Science Data16, (8) Building data: 10-m resolution, obtained from the Zenodo database17. (9) Normalized Difference Vegetation Index (NDVI): 30-m resolution, from the Chinese Academy of Sciences Center for Resources and Environmental Science and Data (http://www.resdc.cn) (Table 1).
Material and methods
Data variable selection and pre-processing
The essence of waterlogging formation is the imbalance of precipitation-runoff- infiltration. When the intensity of precipitation exceeds the infiltration capacity of the ground surface and the load on the drainage system, surface runoff accumulates, leading to a rise in the water table and the formation of waterlogging. The core equation of the water cycle can be expressed as:
where: P is Precipitation; R is Runoff; E is Evaporation; \(\Delta\) S is Storage Change; \(\Delta RS\) is the change in runoff caused by changes in the underlying surface. \(\theta\) is soil moisture content; \(k\) is soil infiltration rate; \(\alpha\) is surface vegetation cover; \(\beta\) is topographic slope.
Combined with the water cycle equation and the characteristics of the study area, the selection of influencing factors mainly focuses on \(\Delta\) S: (1) Impervious area ratio (ISD): directly affects the infiltration amount (I), the higher the ISD, the higher the degree of hardening of the ground surface, and the infiltration capacity decreases significantly, leading to a decrease in soil infiltration rate (k). (2) Digital Elevation Model (DEM): affects the flow rate and direction of the topographic slope (β). Areas with flat topography (low elevation and slope) are prone to runoff siltation, increasing the risk of flooding. (3) Road density (RD): roads are mostly impervious surfaces, which directly reduces soil infiltration rate (k); meanwhile, a high-density road network may divide natural catchment paths and impede drainage. (4) Distance from the water body (Dis2Water): affects the water body’s storage capacity, the closer to the water body, the faster the runoff theoretically sinks to the water body, but at the same time may also be affected by the water body’s water level rising back to the water body; (5) Building Density (BD) and Population Density (Population): higher building density means that the impervious surfaces (such as roofs, hardened floors) increase, and infiltration (I) decreases; population density means that impervious surfaces (such as roofs, hardened floors) increase, and infiltration (I) decreases; population density is also a factor. soil permeability (k) decreases; densely populated areas have a higher demand for drainage facilities and are prone to flooding if the network has insufficient capacity; (6) NDVI: Vegetation regulates the water cycle through the interception of precipitation and the degree of vegetative cover on the ground surface (α). The higher the NDVI, the better the water storage capacity; (7) Drainage: directly affects ∆S, insufficient density of the pipe network will lead to inefficient drainage and exacerbate the flooding disaster; (8) Terrain curvature and slope: Terrain curvature affects the direction of surface runoff, with concave terrain prone to forming flood inundation areas. Slope affects the speed of surface runoff; when the slope is gentle, runoff slows down, making it easier for flood inundation areas to form; (9) Point of interest density (POI) POI reflects the distribution of urban functional areas (e.g., transportation hubs, commercial areas, residential areas, etc.), and high-density POI areas are usually accompanied by high impermeable surfaces and population activities, which indirectly affects the permeability of the soil (k) and the need for drainage. All factors are selected around the precipitation-filtration-runoff balance of the water cycle and capture the key driving mechanisms of waterlogging by quantifying the impacts of physical geographic elements and human activities.
Among the above influence factors, the percentage of impervious area (ISD) in each raster data was calculated by clustering to 100m resolution based on the land use data; the distance to water body (Dis2water) was calculated by using the Euclidean distance method based on the water system data; the raster data were generated by kernel density counting for the POI and pipeline data; the curvature and slope were generated by performing curvature and slope operations on the DEM; finally, Considering the built-up area and drainage network density of Ordos City, a 100 m resolution grid was adopted as the basic analysis unit to balance data availability and urban flooding micro-topographic response. All the above variables were uniformly adjusted to 100m by resampling in the spatial processing software.
The following pre-processing is done for the original samples and flood point data: the ratio of flood samples to non-flood samples is 1:3 (1,200 total samples, 300 flood points, 900 non-flood points), and the core problem is: the categories are seriously unbalanced, and the traditional training may lead to the model being biased towards the majority category (non-flood samples), which is not enough to recognize the flood samples. Therefore, this study adopts oversampling treatment: flood samples are oversampled using SMOTE (Synthetic Minority Over-sampling Technique), which adjusts the ratio of the two classes to close to 1:1 to increase the representativeness of the minority class samples. Among them, XGBoost and LightGBM set the class weights via scale_pos_weight = number of majority class samples/number of minority class samples (i.e., 300/900 = 3) to make the model focus more on the minority class during training, while CatBoost sets the class weights via class_weights = [1, scale_pos_weight] directly specifies positive and negative sample weights to reinforce the learning of flooded samples.
To prevent the strategy of model bias towards the majority class, this study adopts a stratified sampling approach, i.e., stratify = y is used in the division of the training set and the test set to ensure that the two classes of samples are consistently distributed in the subset and to avoid assessment bias; as well as a multi-indicator assessment approach: in addition to the OA, we focus on the indicators that are more sensitive to the imbalance data, such as the ROC AUC and the F1-score coefficients, to avoid relying only on the accuracy leads to misjudgment.
Methodology
The research methodology of this study is schematically presented in Fig. 2, comprising three principal component: urban flood susceptibility (UFS) calculation, regression analysis, and spatial heterogeneity analysis.
Research framework.
First, we created a flood prediction dataset by combining flood points with 11 variables selected to be related to floods. In this case, the 12 variables were divided into a 7:3 training and test set after the above pre-processing in the spatial proscessing software; this dataset was then fed into three machine learning classifiers in order to train and identify the best-performing classifiers, which were subsequently used to calculate the UFS of the study area for each of the three classifiers (Fig. 3).
Model performance: ROC curves.
Next, in order to study the impact of different flood factors on UFS, this study used the method of SHAP models to plot overall SHAP plots and PDP plots, aiming to explore the degree of influence of different flood factors and the threshold of the degree of influence.
Finally, we calculated the SHAP values of each flood factor and plotted the distribution. The non-linear relationships and spatial heterogeneity of the urban floodplain were studied, with the aim of providing quantitative and site-specific decision support for urban flood governance in central Ordos.
Machine learning models
In this study, we built and compared three machine learning models (namely XGBoost, CatBoost, and LightGBM) and mapped the spatial distribution of flood susceptibility. The following is a brief introduction to the three machine learning models.
XGBoost
XGBoost (eXtreme Gradient Boosting) is a highly effective gradient boosting algorithm that is widely used for classification, regression and ranking tasks. XGBoost is an efficient implementation of gradient boosting decision trees (GBDT), which significantly improves model performance and generalization ability by introducing regularization and second-order derivative optimization of the objective function18. In particular, a regularization term (L1/L2 regularization) is added to the loss function of the traditional GBDT19 to control the complexity of the model and prevent overfitting. In addition, XGBoost uses a gradient boosting algorithm to optimize the objective function by gradient descent. In each iteration, it calculates the negative gradient (residual) of the loss function and fits a new tree to reduce the residual20. When constructing a decision tree, XGBoost uses a greedy algorithm to select the best split point and evaluates the effect of the split by maximizing the gain.
where \(L\left({y}_{i},\widehat{{y}_{i}}\right)\) is the loss function, which measures the difference between the predicted value \(\widehat{{y}_{i}}\) and the true value \({y}_{i}\); \(\Omega ({f}_{k})\) is the regularization term, which controls the complexity of the model and prevents overfitting; T is the number of leaf nodes; \({\upomega }_{j}\) is the weight of the leaf node; and \(\upgamma\) and \(\lambda\) are the regularization parameters.
CatBoost
CatBoost (Categorical Boosting) is a machine learning algorithm based on gradient boosting decision trees (GBDT). Its core advantages lie in its efficient handling of categorical features and its ability to resist overfitting21. CatBoost converts categorical features into numerical values through target encoding, avoiding the high-dimensional sparsity problem of traditional one-hot encoding22. Traditional GBDT has a gradient bias in gradient calculation, which means that the gradient of the current sample is affected by itself. CatBoost effectively reduces the bias and improves the generalization ability of the model by randomly permuting the sample order and calculating the gradient using only the previous sample information in each tree training23. In short, CatBoost solves the gradient deviation and overfitting problems of traditional GBDT, and excels in accuracy, efficiency and stability.
where \(L\left({y}_{i},\widehat{{y}_{i}}\right)\) is the loss function, which measures the difference between the predicted value \(\widehat{{y}_{i}}\) and the true value \({y}_{i}\); \(\Omega ({f}_{k})\) is the regularization term, which controls the complexity of the model and prevents overfitting; \({f}_{k}\left(x\right)\) is the predicted value of the input vector x at the k-th decision tree; \(\upomega\) is the weight of the leaf node; \(\lambda\) are the regularization parameters.
LightGBM
LightGBM is an efficient gradient boosting framework based on decision trees developed by researchers at Microsoft and Peking University. It is an integrated learning method designed to address the efficiency and scalability issues when using XGBoost in high-dimensional feature and large data set scenarios24. LightGBM significantly improves training speed and reduces memory usage by introducing two key technologies: Gradient-based One-Side Sampling (GOSS) and Exclusive Feature Bundling (EFB)25. GOSS refers to the sampling of samples with large gradients and the omission of samples with small gradients, thereby reducing the amount of computation without significantly affecting model performance. EFB refers to the bundling of mutually exclusive features together to reduce the number of features and lower memory consumption26. The objective function of LightGBM is the same as that of XGBoost (see Eqs. 1–2).
Model applicability and parameterization
XGBoost performs well in high-precision classification scenarios, and its regularization term (L1/L2 regular) can effectively control the model complexity and reduce overfitting, which is especially suitable for areas with high urbanization and significant hardening of the surface, such as Kangyi Area in Ordos City. CatBoost is better at analyzing the interaction of geographic elements, with its target coding of category features and gradient bias mechanism (randomly arranged samples) to improve the sensitivity to natural geographic factors, and it is suitable for analyzing the coupling risk of topography, water system and urban facilities; LightGBM is good at analyzing large-scale topographic data, and it is highly efficient in dealing with high-dimensional topographic data through the techniques of GOSS (Gradient Sampling) and EFB (Feature Bundling).
All three models adopt Grid Search, combined with fivefold StratifiedKFold for hyper-parameter optimization, with ROC AUC value as the main optimization target, while taking into account the overall accuracy (OA). The key parameters such as model complexity, learning rate, regularization, etc. are all considered in the tuning process. The specific parameters are shown in Table 2:
Results
Model performance
In the performance evaluation of machine learning models, metrics such as OA, ROC curve(receiver operating characteristic curve), and AUC(area under the ROC curve) are often used to comprehensively measure the performance of the model. In this study, a detailed performance evaluation of three tree-based machine learning models (CatBoost, XGBoost, and LightGBM) was conducted, and their predictive abilities were compared from multiple perspectives. Overall accuracy (OA) is one of the important indicators to measure the classification performance of a model, which reflects the proportion of samples that are correctly predicted by the model to the total number of samples. According to the experimental results, the XGBoost model showed the highest OA value, reaching 0.96, indicating that it performed best in the overall classification task; followed by the CatBoost model, with an OA value of 0.90; and the LightGBM model, with an OA value of 0.93. The OA values of all models were higher than 0.9, which indicates that these models all achieved a high accuracy rate in the flood susceptibility prediction task and had good classification performance. In addition to the OA, the AUC is a key indicator for evaluating the overall performance of the model and can more comprehensively reflect the model’s ability to distinguish between positive and negative samples. In this study, the prediction ability of each model was further verified by plotting the ROC curve and calculating the AUC value. The results show that the CatBoost model has the highest AUC value on the test set, reaching 0.85, indicating that it has relatively strong ability to distinguish between flood and non-flood samples; the XGBoost model and LightGBM model are closely followed, with an AUC value of 0.84. Considering the results of the two indicators OA and AUC, it can be found that all three models performed well in the flood susceptibility prediction task. Among them, the XGBoost model achieved the best results in the OA metric, while the CatBoost model performed best in the AUC metric. This shows that the advantages of different models in specific tasks may differ, and the specific choice needs to be weighed against actual needs. For example, if you are more concerned about the overall classification accuracy of the model, XGBoost may be a better choice; if you are more concerned about the model’s ability to distinguish between positive and negative samples, CatBoost is more advantageous.
Assessment result of urban flooding susceptibility
The flood susceptibility (UFS) of the study area was predicted using the three well-trained machine learning models described above. The well-trained ML(machine learning) models were used to predict the flood susceptibility of the town, and then interpolation analysis was used to obtain the spatial distribution of flood susceptibility. Figure 4 shows the spatial distribution of flood susceptibility obtained using XGBoost (Fig. 4a), CatBoost (Fig. 4b) and LightGBM (Fig. 4c). The UFS is the urban flood susceptibility, ranging from 0 to 1, which indicates the probability of flooding in the area. As shown in Fig. 4, the areas with higher and highest flood susceptibility are mainly concentrated in the central and surrounding areas of the study area, that is, the main urban area of Kangbashi and the urban area of Ejin Horo Banner. The UFS distributions of the three machine learning models do not differ much overall, and the areas with higher and highest flood susceptibility are consistent. However, there are significant differences in local areas with medium and low UFS, depending on the different simulation methods of the three models.
UFS obtained from ML models: (a) XGBoost ; (b) CatBoost; (c) LightGBM.
Influence of flooding factors on urban flooding susceptibility
Identification of key factors
The SHAP values of the three models (XGBoost, CatBoost and LightGBM) are displayed in Fig. 5, which provides a visual representation of the direction and importance of the impact on flood prediction. The SHAP value interval (-1.00 to 1.00) of the abscissa in the figure indicates the degree of positive or negative impact of the feature on the prediction result. The ordinate is arranged in descending order of feature importance, and the color shade corresponds to the feature value (dark color indicates a high value, light color indicates a low value). The results of the analysis of the three models are as follows: In the XGBoost model, the top three features in order of importance are ISD(impervious surface area), Building, and Population. The high values of ISD (dark areas) are concentrated in the interval where the SHAP value is above 0.5, indicating that this feature is strongly positively correlated with flood risk. This reflects the phenomenon that the drainage capacity of urbanized areas has decreased due to the hardening of the surface. The SHAP distributions of building and population density also show similar patterns, indicating the key influence of the urban built environment on flood risk. XGBoost effectively captures these obvious urbanization indicators through its regularization method. The CatBoost model has a different feature importance ranking, with the top three being ISD, Road Density, and Dis2Water(distance to water). Although ISD still maintains the strongest positive influence (SHAP value > 0.6), the positive effect of road density is relatively weak. It is worth noting that the Dis2Water bodies enters the top three, indicating the model’s sensitivity to natural geographical elements, which may be related to its advantage in handling categorical features. The LightGBM model shows a unique feature ranking, with ISD, road density and DEM in the top three. Among them, DEM’s performance is quite special, as high-value areas have both positive and negative effects, which may be due to its histogram algorithm’s ability to identify multiple thresholds for elevation data. Road density has regained its importance in this model, but its main influence is concentrated in the medium and high value intervals.
Summary plot of SHAP values: (a) XGBoost ; (b) CatBoost; (c) LightGBM.
A comparison shows that the three models agree that ISD is the most critical feature, but there are differences in the selection of secondary features: XGBoost focuses on the characteristics of the urban built environment, CatBoost focuses on the interaction between infrastructure and natural elements, and LightGBM can capture the combined effects of terrain and socioeconomic factors. These differences reflect the characteristics of different algorithms in dealing with feature relationships. XGBoost is suitable for explicit index analysis, CatBoost is good at dealing with complex system relationships, and LightGBM performs better in high-dimensional data.
Influence of flooding factors
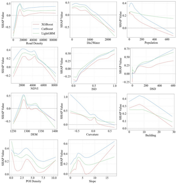
As demonstrated by Fig. 6, the marginal effects of the impact factors associated with flooding are displayed in the three machine learning models. The figure shows that the influence curves of the flood impact factors captured by the three machine learning models are not exactly the same. For factors that significantly affect UFS, such as ISD, DEM, DSD, and Road Density, the PDP plots of the three models show the same trend, but there is a high degree of inconsistency, depending on the calculation method of each model. In CatBoost and XGBoost, when ISD is lower than about 0.2, the ISD SHAP is negative, indicating a stable negative impact on UFS, i.e., a suppressive effect. When ISD exceeds 0.2, this effect weakens, with CatBoost and XGBoost both reaching a minimum around 0.3, and both becoming positive after 0.3, thus promoting UFS. In LightGBM, the critical value of the SHAP value of ISD is 0.2, which is smaller than that of the other models. In other words, in the LightGBM model, ISD has a stable and positive impact on UFS after 0.2. In CatBoost and XGBoost, the PDP of DEM shows that the SHAP values of DEM tend to be roughly the same, all having a positive impact on UFS at an altitude of 1280m to 1300m, and becoming negative after 1300m above sea level, thereby effectively reducing UFS; while in LightGBM, the SHAP value is also positive around 1280m above sea level, indicating a stable positive impact on UFS, until it reaches a minimum around 1340m, and then becomes negative after 1340m. The PDP of Road Density shows that road density between 0 and 10,000 has a suppressive effect on UFS, but road density greater than 10,000 begins to significantly promote flooding. However, only in XGBoost does road density not begin to have a significant positive effect on UFS until it exceeds 30,000. The PDP of population shows that in CatBoost and XGBoost, the impact of population on UFS is very small, and it starts to have a suppressive effect after more than 400. However, in LightGBM, population always has a promoting effect on UFS.
The partial dependence plots for all flooding factors across the three ML models. The red line represents XGBoost, the blue line represents CatBoost, and the green line represents LightGBM.
The PDP shows some differences for factors with less contribution. The PDP chart of DSD shows that the trend of the three machine learning models is exactly the same, all of them rising continuously. And in the three models, the SHAP value is always positive, indicating a stable positive trend on UFS. The PDP of NDVI shows that all show a unimodal trend. In CatBoost, NDVI needs to reach about 7000 before it starts to have a suppressive effect on UFS; however, in LightGBM and XGBoost, NDVI has a promoting effect on UFS from 1000 to 6500. The PDP of Dis2water shows a completely consistent trend in the three models, that is, a continuous decrease, until about 1000–1500, and then began to have a suppressive effect on UFS. The PDP of BD(building density) shows a similar trend in the three models, and in all three models, BD always promotes UFS. The PDP of slope shows a similar trend in the three models, but it is clear that in CatBoost, the effect of slope on UFS is significantly greater than in the other models. The PDP of slope shows a continuous downward trend in the three models, and it begins to suppress UFS around 0.2–0.4.
In summary, the influence curves of the influential factors ISD, Dis2Water, and road density are similar in the three machine learning models. That is, when ISD is lower than 0.2, ISD will effectively suppress UFS; when Dis2Water exceeds 1000m, it will have a negative impact on flooding; the positive impact on UFS is most significant when DEM reaches 1300m; and when road density is less than 10,000 m/km2, it can also suppress UFS.
Spatial heterogeneity of flooding factors
Figure 7 shows the results of the spatial autocorrelation analysis of the UFS distribution maps generated based on three machine learning models, evaluated using Moran’s I index. The analysis indicates that the Moran’s I value for the XGBoost model is I = 0.52 (p < 0.01), and there is a distinct “high-high” (HH) quadrant clustering phenomenon in the scatter plot. This suggests that flood susceptibility (UFS) exhibits significant positive spatial autocorrelation, meaning that high-value areas are adjacent to other high-value areas, and low-value areas are adjacent to other low-value areas; CatBoost: I = 0.72 (p < 0.01), with the strongest spatial autocorrelation, and a dense scatter near the 45-degree line, indicating that the spatial aggregation pattern of UFS is more pronounced, and the model has a stronger ability to capture spatial heterogeneity; LightGBM: I = 0.69 (p < 0.01), with a clear differentiation between high-high and low-low (LL) regions in the scatter plot. The above results indicate that UFS is not randomly distributed but is driven by the spatial dependence of geographic features, emphasizing the necessity of implementing explicit spatial flood management.
Moran Scatter Plot: (a) XGBoost ; (b) CatBoost; (c) LightGBM.
Further, to explore the spatial heterogeneity of the UFS distribution, the UFS distribution was partitioned into breakpoints using the natural breakpoint method, as shown in Fig. 8, where the high-risk areas of flooding are mainly located in the main urban areas of Kangyi district, which are characterized by relatively flat topography and at lower elevations (DEM < 1300 m), sparse vegetation, and impermeable surfaces (ISD > 0.3), Roads and buildings are densely populated (road density > 10,000 m/km2 ), and rapid urbanization has reduced surface permeability in these areas. Medium-to-low-risk areas are mainly located in hilly peripheries and vegetated areas (NDVI > 6500), at moderate elevations (1300–1340 m) and with low building density. These areas benefit from better natural drainage due to topographic slopes and vegetation-mediated infiltration. potential risk areas are scattered mainly in the transition zone between urban and rural areas, where unmodeled factors (e.g., soil permeability, unregulated land use) may exacerbate flood vulnerability under extreme rainfall scenarios.
UFS Partition Map: (a) XGBoost ; (b) CatBoost; (c) LightGBM.
Figure 9, on the other hand, shows the spatial distribution of the SHAP values of the flooding influencing factors in the three machine learning models. In order to facilitate the comparison of the three models with each other, the legend labels in the figure are uniformly shown as -1 to 1. Figure 9 shows that the spatial distribution patterns of the contributions of the different factors are similar, with most of the positive contributions (red areas) concentrated in the northern, western, and central parts of the study area. And among the three machine learning models, ISD, DEM, DSD, Road Density, and Dis2Water show a strong ability to influence the UFS, while the remaining flood impact factors do not show spatial differences. Differences were only in the magnitude of the contributions of various flood influences and the dominance of the influences under different spatial regions. The regional variability of the three models is more significant in the northern plains and western hilly areas, i.e., in the northern plains, the contribution of road density in XGBoost and CatBoost is higher than that in LightGBM; in the western hilly areas, the negative effect of DEM is stronger in LightGBM (SHAP value < -0.5), while XGBoost is less sensitive to this region.
Spatial distribution of SHAP values for the flood factor in the three models. Different colors indicate different contributions in the spatial background. Blue indicates stronger suppression of UFS, while red indicates stronger promotion of UFS.
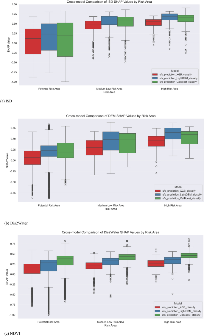
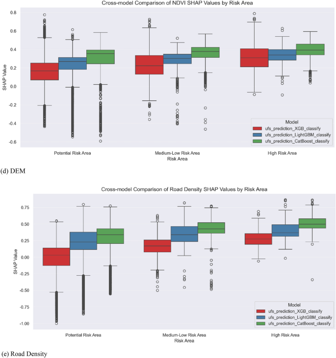
The factors with strong influence ability were selected and analyzed overlaid with the results after the natural breakpoint method mentioned above, as shown in Fig. 10, in which all three machine learning models showed that the SHAP values of ISD, road density, and DEM were all significantly positive (high) in HIGH-RISK AREAS, indicating that both urbanization indicators and topographic flatness are high influence factors in flood-prone areas. In medium-to-low-risk areas, the contribution of Dis2Water in CatBoost is significantly higher than that of other models, while the suppression effect of vegetation index (NDVI) in LightGBM is more obvious than that of other models, reflecting the differences in the spatial response of the models to natural elements. In the potential risk areas, the three machine learning models did not have much difference in selecting factors with strong influencing ability, indicating that unmodeled geographic covariates (e.g., soil permeability, land use type, etc.) should be identified in the potential risk areas in order to establish a multiscale monitoring and early warning system.
Cross-model Comparison of feature SHAP Values by Risk Area.
Discussion
Comparison and advantages of model performance
This study uses three tree-based ensemble models, XGBoost, CatBoost, and LightGBM, to predict urban flood susceptibility. The results show that XGBoost performs best in terms of overall accuracy (OA = 0.96), while CatBoost has an advantage in terms of AUC value (0.85). This difference may be related to the characteristics of the model structure: XGBoost controls model complexity through regularization terms (L1/L2), reducing the risk of overfitting and thus being more stable in classification tasks; while CatBoost processes categorical features through target encoding and random permutation of sample order, enhancing the model’s sensitivity to natural geographical elements (such as distance from water bodies), thus performing better in distinguishing between positive and negative samples. LightGBM is superior in terms of computational efficiency, its histogram algorithm may introduce local noise in the multi-threshold recognition ability of continuous variables such as elevation (DEM), resulting in differences in the direction of influence of some secondary factors (such as population density) compared to other models. Compared with the research of other scholars, the AUC value of all models in this study is higher than 0.84, indicating that tree-based models are universal in urban flood prediction in arid areas. However, model selection needs to balance accuracy and interpretability based on actual needs27,28,29.
Nonlinear effects of key factors and spatial heterogeneity
Analysis of the SHAP values shows that ISD is the most important influence in all three models. Its threshold effect (e.g., flood risk increases significantly at ISD > 0.2) is consistent with the ISD threshold (0.2) in the Guangzhou study7, suggesting that hardening of the ground surface due to urbanization is a common risk in different regions. It is worth noting that the ISD threshold (0.2) in the arid region of Erdos is comparable to that of the city in the humid region (0.3), but there is a difference in the mechanism—the region’s loose soils (chestnut calcareous soils) should have enhanced the infiltration capacity, but the surge of ISDs (e.g., ISD > 0.3 in the main city area of kangyi) caused by rapid urbanization directly breached the water-holding capacity of the soil capacity, resulting in the phenomenon of “droughts and floods”. Differences in secondary factors reflect the model’s ability to capture regional characteristics: while XGBoost pays more attention to built environment indicators such as building density and population distribution, CatBoost is more sensitive to road density and natural elements (e.g., Dis2Water), echoing the results of the analysis of the spatial effects of geographic coordinates on the contribution of the factors in the GeoXAI method7. The following table summarizes the spatial effects of the GeoXAI method on the contribution of factors. The results of the GeoXAI method are summarized in the table below. In addition, the unique chestnut soils of Ordos and the rapid changes in flooding and drought due to short-term heavy rainfall caused DEM and slope to show significant positive effects at low elevations (< 1300 m). This contrasts with the negative correlation between altitude and flood risk in the GBR study8, highlighting the specificity of topographic and hydrological conditions in arid regions.
Implications of spatial heterogeneity for flood control decisions
Based on the spatial heterogeneity of floods in the study area, combined with SHAP analysis and PDP threshold identification, the study area was divided into high-risk areas, medium–low-risk areas, and potential-risk areas. Among these, high-risk areas are primarily concentrated in the main urban area of Kangyi, with dominant factors including ISD, road density, and DEM. These areas feature high urbanization levels and flat terrain, with rapid runoff convergence; medium–low risk zones are distributed around the outskirts of hilly areas and vegetation-covered zones, with dominant factors being NDVI and Dis2Water, and good natural drainage conditions; potential risk zones are primarily located in urban–rural transition zones and may be influenced by unmodelled factors (such as soil permeability and unregulated land use). Therefore, in this study area, it is recommended to adopt a comprehensive spatial zoning approach for multi-perspective decision-making and management strategies. Within each sub-region, targeted interventions should be implemented based on the dominant factors, i.e., after fully considering feasibility and cost-effectiveness, the countermeasures in each sub-region should strictly correspond to the key factors and thresholds identified by the model.
The following are strategy recommendations related to flood management from different perspectives, for reference: (1) Engineering and infrastructure construction: For high-risk areas, priority should be given to the approach of ‘hard infrastructure upgrades & enhanced permeability.’ After fully assessing feasibility and cost-effectiveness, it is recommended that in areas with a comprehensive development intensity (ISD) > 0.2, priority be given to permeable pavement upgrades, such as using permeable surface materials like porous asphalt. Based on the road density threshold (> 10,000 m/km2) identified by the XGBoost model, for areas with high road network density, consider expanding the diameter of drainage pipelines and installing smart monitoring devices to enhance drainage capacity and real-time monitoring capabilities. For medium-to-low-risk areas, given the terrain threshold identified by the LightGBM model (elevation > 1,300 m), it is recommended to construct terraced diversion weirs in slope areas after fully considering feasibility and cost-effectiveness, leveraging the natural terrain’s elevation differences to guide runoff. For areas with a Normalized Difference Vegetation Index (NDVI) > 6,500, local drought-resistant vegetation can be used for ecological channel restoration, which not only enhances rainwater retention capacity but also reduces maintenance costs associated with introducing non-native species. For potential risk areas, after fully assessing feasibility and cost-effectiveness, it is recommended to prioritize improvements to basic drainage infrastructure. Based on the distance threshold from water bodies identified by the CatBoost model (Dis2Water > 1,500 m), in high-risk grid areas far from water bodies, temporary flood retention zones can be planned to use low-cost facilities such as movable dams to avoid the high costs of permanent engineering projects. (2) In terms of ecological and land use planning: In high-risk areas, the comprehensive development intensity (ISD) for new development zones should be strictly controlled at ≤ 0.2. To mitigate the negative impacts of impervious surfaces and avoid the high costs of large-scale demolition and reconstruction, ecological measures such as rooftop greening and vertical greening can be implemented to compensate for hardened surfaces through ecological means; in medium-to-low-risk areas, given the positive correlation between the Normalized Difference Vegetation Index (NDVI) and flood suppression (with significant suppression effects when NDVI > 7,000), it is recommended to establish vegetation protection buffer zones, prohibit the felling of natural vegetation, and fully leverage the role of natural vegetation in flood regulation; for potential risk areas, in conjunction with land use planning, for undeveloped plots, it may be worthwhile to establish a ‘assess first, then build’ mechanism, Prioritize the layout of low-impact development (LID) facilities to reduce redundant investment in subsequent renovations from the source. (3) In terms of management and monitoring system construction: In high-risk areas, considering the sensitivity of the XGBoost model to population density and building density, it is recommended to deploy mobile drainage equipment in densely populated areas to address potential drainage pressure. In medium- and low-risk areas, using the natural geographical features captured by the CatBoost model, rainfall sensors and runoff monitoring stations can be deployed in sensitive areas with a digital elevation model (DEM) threshold of 1,300–1,340 m, rainfall sensors and runoff monitoring stations can be deployed, with data integrated into the municipal smart platform to enable early risk warnings and avoid the high costs of deploying equipment across the entire area. For potential risk areas, due to uncertainties from unmodelled factors, it is recommended to establish a multi-scale monitoring system. This can be achieved by combining drone remote sensing with ground inspections to focus on monitoring land use changes and soil moisture content, while using low-cost IoT sensors such as soil moisture probes to achieve dynamic early warning, balancing monitoring accuracy with cost-effectiveness.
Innovativeness and limitations of methods
This study is the first integration of multiple tree models and SHAP interpretation methods in arid urban areas of the Inner Mongolia Plateau, revealing the contribution of nonlinear factors and the spatial heterogeneity of urban flooding. Compared with the simple use of hydrodynamic models, machine learning methods reduce the dependence on the integrity of underground pipe network data and can efficiently process multi-source heterogeneous data (such as POI and NDVI); Provides dynamic threshold decision-making: supports flexible control boundary setting through inter-model threshold comparison (e.g., ISD 0.2 vs. 0.1); analyzes the coupling of different geographical elements: reveals the spatial antagonistic effect of road density and topographic factors (For example, the risk of high-density roads in flat areas increases by 35%, while in hilly areas it increases by only 12%).
However, the research still has the following limitations: limited by the accuracy of existing data, the study only considered the impact of microtopography at the macro scale and did not consider the impact of microtopography at the block scale. Future studies could combine unmanned aerial vehicle remote sensing data or higher-precision data to conduct supplementary research on the impact of microtopography at the block scale; Limited by the static model construction method, the study only considered the evolution of rainfall patterns under climate change at the current climate conditions and did not consider the impact of their time series evolution. Subsequent studies could introduce time series models (such as LSTM) to optimize dynamic predictions of rainfall patterns. Additionally, the methodology of this study is applicable to arid and semi-arid regions and can provide guidance for similar regional studies, but its application under different climatic and geographical conditions still depends on the reasonable selection of influencing factors.
Recommendations for future research
Follow-up work can be further explored, (1) Model fusion: coupling the machine learning prediction results with the hydrodynamic model to improve the accuracy of the inundation depth simulation, and combined with land use change modeling to explore the effects of different impact factors on waterlogging under different land use scenarios30, (2) Quantification of social factors: integrating social media data analysis of residents’ risk perception on flood control behavior; (3) Cross-regional verification: The analysis of spatial heterogeneity in this study is based on factor contribution differences at the grid scale. Compared to Lyu and Yin 's study in the Guangdong-Hong Kong-Macao Greater Bay Area8, this study focuses more on the interactive effects of terrain and urbanization in arid regions but does not explore cross-scale heterogeneity. Future research could combine multi-resolution remote sensing data for deeper analysis.
In short, this study provides a data-driven analytical framework for flood risk management in arid urban areas. Its conclusions can provide a scientific basis for resilient urban planning in Ordos and serve as a reference for formulating disaster prevention and control strategies in similar regions.
Conclusions
Urban flood management is an important issue that needs to be urgently addressed in the context of global climate change. This study takes the Kangyi area of Ordos City as the research area. By constructing a machine learning evaluation system based on multi-model collaboration, this study systematically analyzes the driving mechanism and spatial differentiation law of urban flood susceptibility in arid areas, providing scientific support for differentiated governance strategies. The main conclusions are as follows.
-
(1)
Model performance comparison: The three models all showed high accuracy in the flood susceptibility prediction task. Among them, the XGBoost model performed best in terms of overall accuracy (OA = 0.96), while the CatBoost model had an advantage in terms of AUC value (0.85). This shows that different models have different emphases in terms of classification tasks and sample discrimination capabilities, and the specific choice needs to be weighed against actual needs.
-
(2)
Establishment of a multi-model adaptability evaluation system: In view of the characteristics of urban data in arid areas and governance needs, this study proposes a three-in-one evaluation framework of “model-factor-space”: XGBoost: suitable for high-precision classification scenarios. It is particularly sensitive to urbanization indicators (such as ISD and BD) (ISD contributes 35%), and is especially suitable for high-resolution risk assessment of urban built-up areas; CatBoost: suitable for interactive analysis of geographical elements, its outstanding ability to capture physical geographical factors (e.g., Dis2Water) (Dis2Water contribution of 18%), which can identify the potential risk of drainage facilities coupled with topography; LightGBM: is suitable for large-scale terrain data analysis. Its histogram algorithm supports multi-threshold segmentation of continuous variables (e.g., DEM) (e.g., 1340m is the inflection point of terrain impact), taking into account computational efficiency and complex terrain response analysis, and providing a low-cost assessment solution for suburban areas and transitional zones.
-
(3)
Dynamic thresholds and synergistic effects of driving factors: The quantitative coupling of the SHAP map and PDP reveals the nonlinear influence of key factors: Universal threshold of ISD: The three models all show that the flood risk suddenly increases when ISD > 0.2 (SHAP value continues to increase by > 60%), which verifies the regional common constraint of surface hardening rate; Spatial heterogeneity of factors: High-density urban areas (Kangbashi main city): ISD and RD (> 10,000 m/km2) and low altitude (< 1300m) synergistically dominate risk (SHAP value > 0.8), and priority should be given to upgrading the pipe network and surface infiltration facilities; transition zones and suburbs: CatBoost identifies Dis2Water > 1,500m as the risk suppression threshold, while LightGBM finds that NDVI > 7,000 has a slow-release effect on floods, and it is recommended to combine ecological restoration with interception projects.
-
(4)
A hierarchical governance strategy driven by spatial differentiation: This study employs a multi-model collaborative machine learning framework to uncover the spatial differentiation patterns of urban flood susceptibility in the Kangyi region of Ordos. It establishes a three-tier spatial governance strategy comprising ‘core zone – transition zone – potential zone’: in the core zone, the XGBoost model is used to assess sensitivity to urbanization indicators, strictly controlling impervious surface density (ISD ≤ 0.2) and upgrading drainage infrastructure; the transition zone leverages the natural geographic feature capture capabilities of CatBoost and LightGBM, combined with terrain-based runoff diversion and vegetation restoration to enhance ecological retention functions; the potential zone addresses uncertainties in unmodelled factors by establishing a multi-scale monitoring and early warning system. This strategy converts the dynamic thresholds derived from model analysis (e.g., ISD > 0.2) into actionable spatial governance boundaries, providing a precise governance paradigm for flood control in arid urban areas based on ‘data-driven—factor coupling—spatial adaptation.’ Its methodological framework can be extended to disaster risk management in regions with similar geographical conditions.
In summary, this study successfully constructed a machine learning evaluation system based on multi-model collaboration, analyzed the complex relationship between urban flood impact factors and their spatial heterogeneity in arid areas, provided a scientific basis for urban resilience planning in Ordos City, and provided a reference framework for formulating disaster prevention and control strategies in similar areas. Future research can further explore model fusion, quantification of social factors, and cross-regional verification to improve prediction accuracy and application value.
Data availability
Data will be made available on request, If anyone needs data from this study, please contact the first author of this article.
References
Wei, Q. et al. City scale urban flooding risk assessment using multi-source data and machine learning approach. J. Hydrol. 651, 132626. https://doi.org/10.1016/j.jhydrol.2024.132626 (2025).
Guan, X., 2021. Study on spatiotemporal distribution characteristics of flood and drought disaster impacts on agriculture in China. Int. J. Disaster Risk Reduct.
Kundzewicz, Z., 2019. Flood risk and its reduction in China.
Farahmand, H., Xu, Y. & Mostafavi, A. A spatial–temporal graph deep learning model for urban flood nowcasting leveraging heterogeneous community features. Sci. Rep. 13, 6768. https://doi.org/10.1038/s41598-023-32548-x (2023).
Chen, T., 2025. High-performance computing in urban flood modeling: A study on spatial partitioning techniques and parallel performance.
Onchi-Ramos, K., Rodríguez-Cuevas, C., Couder-Castañeda, C. & Padilla-Pérez, D.-A. Flood risk assessment of the Garita River in the urban zone of San Luis Potosí City, by hydrodynamic modeling. Sci. Rep. 14, 15891. https://doi.org/10.1038/s41598-024-66743-1 (2024).
Ke, E., Zhao, J. & Zhao, Y. Investigating the influence of nonlinear spatial heterogeneity in urban flooding factors using geographic explainable artificial intelligence. J. Hydrol. 648, 132398. https://doi.org/10.1016/j.jhydrol.2024.132398 (2025).
Lyu, H.-M. & Yin, Z.-Y. Flood susceptibility prediction using tree-based machine learning models in the GBA. Sustain. Cities Soc. 97, 104744. https://doi.org/10.1016/j.scs.2023.104744 (2023).
Ma, C. et al. Prediction of summer precipitation via machine learning with key climate variables: A case study in Xinjiang. China. J. Hydrol. Reg. Stud. 56, 101964. https://doi.org/10.1016/j.ejrh.2024.101964 (2024).
Yan, M. et al. Urban waterlogging susceptibility assessment based on hybrid ensemble machine learning models: A case study in the metropolitan area in Beijing. China. J. Hydrol. 630, 130695. https://doi.org/10.1016/j.jhydrol.2024.130695 (2024).
Zhang, W. et al. Assessing the influence of green space morphological spatial pattern on urban waterlogging: A case study of a highly-urbanized city. Environ. Res. 266, 120561. https://doi.org/10.1016/j.envres.2024.120561 (2025).
Guan, X., Yu, F., Xu, H., Li, C. & Guan, Y. Flood risk assessment of urban metro system using random forest algorithm and triangular fuzzy number based analytical hierarchy process approach. Sustain. Cities Soc. 109, 105546. https://doi.org/10.1016/j.scs.2024.105546 (2024).
Qin, H., Liang, Q., Chen, H., De Silva, V., 2024. A High‐Performance Coupled Human And Natural Systems (CHANS) Model for Flood Risk Assessment and Reduction. Water Resour. Res. 60, e2023WR036269. https://doi.org/10.1029/2023WR036269
Zhu, Z. & Zhang, Y. Flood disaster risk assessment based on random forest algorithm. Neural Comput. Appl. 34, 3443–3455. https://doi.org/10.1007/s00521-021-05757-6 (2022).
Chen, Y., Xu, C., Ge, Y., Zhang, X. & Zhou, Y. A 100 m gridded population dataset of China’s seventh census using ensemble learning and big geospatial data. Earth Syst. Sci. Data 16, 3705–3718. https://doi.org/10.5194/essd-16-3705-2024 (2024).
Li, Z. et al. SinoLC-1: the first 1 m resolution national-scale land-cover map of China created with a deep learning framework and open-access data. Earth Syst. Sci. Data 15, 4749–4780. https://doi.org/10.5194/essd-15-4749-2023 (2023).
Wu, W.-B. et al. A first Chinese building height estimate at 10 m resolution (CNBH-10 m) using multi-source earth observations and machine learning. Remote Sens. Environ. 291, 113578. https://doi.org/10.1016/j.rse.2023.113578 (2023).
Ma, M. et al. XGBoost-based method for flash flood risk assessment. J. Hydrol. 598, 126382. https://doi.org/10.1016/j.jhydrol.2021.126382 (2021).
Qiu, Y. et al. Performance evaluation of hybrid WOA-XGBoost, GWO-XGBoost and BO-XGBoost models to predict blast-induced ground vibration. Eng. Comput. 38, 4145–4162. https://doi.org/10.1007/s00366-021-01393-9 (2022).
Li, J. et al. Application of XGBoost algorithm in the optimization of pollutant concentration. Atmospheric Res. 276, 106238. https://doi.org/10.1016/j.atmosres.2022.106238 (2022).
Huang, G. et al. Evaluation of CatBoost method for prediction of reference evapotranspiration in humid regions. J. Hydrol. 574, 1029–1041. https://doi.org/10.1016/j.jhydrol.2019.04.085 (2019).
Yu, J. et al. TPE-CatBoost: An adaptive model for soil moisture spatial estimation in the main maize-producing areas of China with multiple environment covariates. J. Hydrol. 613, 128465. https://doi.org/10.1016/j.jhydrol.2022.128465 (2022).
Cai, Y., Yuan, Y. & Zhou, A. Predictive slope stability early warning model based on CatBoost. Sci. Rep. 14, 25727. https://doi.org/10.1038/s41598-024-77058-6 (2024).
Lin, K. et al. Exploring an intelligent adaptation method of hydrological model parameters for flood simulations based on the light gradient-boosting machine. J. Hydrol. 626, 130340. https://doi.org/10.1016/j.jhydrol.2023.130340 (2023).
Guo, X. et al. Critical role of climate factors for groundwater potential mapping in arid regions: Insights from random forest, XGBoost, and LightGBM algorithms. J. Hydrol. 621, 129599. https://doi.org/10.1016/j.jhydrol.2023.129599 (2023).
Pan, Z., Lu, W. & Bai, Y. Groundwater contaminated source estimation based on adaptive correction iterative ensemble smoother with an auto lightgbm surrogate. J. Hydrol. 620, 129502. https://doi.org/10.1016/j.jhydrol.2023.129502 (2023).
Kaiser, M., Günnemann, S. & Disse, M. Regional-scale prediction of pluvial and flash flood susceptible areas using tree-based classifiers. J. Hydrol. 612, 128088. https://doi.org/10.1016/j.jhydrol.2022.128088 (2022).
Plataridis, K. & Mallios, Z. Flood susceptibility mapping using hybrid models optimized with Artificial Bee Colony. J. Hydrol. 624, 129961. https://doi.org/10.1016/j.jhydrol.2023.129961 (2023).
Vahid Razavi-Termeh, S., Sadeghi-Niaraki, A., Ali, F., Ali Naqvi, R. & Choi, S.-M. Cutting-edge strategies for absence data identification in natural hazards: Leveraging Voronoi-Entropy in flood susceptibility mapping with advanced AI techniques. J. Hydrol. 648, 132337. https://doi.org/10.1016/j.jhydrol.2024.132337 (2025).
Chen, Y., Zhang, F. & Lin, J. Projecting Future Land Use Evolution and Its Effect on Spatiotemporal Patterns of Habitat Quality in China. Appl. Sci. 15, 1042. https://doi.org/10.3390/app15031042 (2025).
Gu, T. et al. Attribution analysis of urban social resilience differences under rainstorm disaster impact: Insights from interpretable spatial machine learning framework. Sustain. Cities Soc. 118, 106029. https://doi.org/10.1016/j.scs.2024.106029 (2025).
Acknowledgements
This work was supported by the Inner Mongolia Autonomous Region Yellow River Basin Water Resources Conservation and Intensive Utilization Science and Technology Innovation Major Demonstration Project (2023JBGS0007) and the National Natural Science Foundation of China (52192671).
Author information
Authors and Affiliations
Contributions
Q wrote the body of the manuscript, modeled it, and drew all the figures. Y was primarily responsible for funding. All authors reviewed the manuscript.
Corresponding author
Ethics declarations
Competing interests
The authors declare that they have no known competing financial interests or personal relationships that could have appeared to influence the work reported in this paper.
Additional information
Publisher’s note
Springer Nature remains neutral with regard to jurisdictional claims in published maps and institutional affiliations.
Rights and permissions
Open Access This article is licensed under a Creative Commons Attribution-NonCommercial-NoDerivatives 4.0 International License, which permits any non-commercial use, sharing, distribution and reproduction in any medium or format, as long as you give appropriate credit to the original author(s) and the source, provide a link to the Creative Commons licence, and indicate if you modified the licensed material. You do not have permission under this licence to share adapted material derived from this article or parts of it. The images or other third party material in this article are included in the article’s Creative Commons licence, unless indicated otherwise in a credit line to the material. If material is not included in the article’s Creative Commons licence and your intended use is not permitted by statutory regulation or exceeds the permitted use, you will need to obtain permission directly from the copyright holder. To view a copy of this licence, visit http://creativecommons.org/licenses/by-nc-nd/4.0/.
About this article
Cite this article
Qin, Y., Yu, Y., Liu, J. et al. Machine learning-based identification of key factors and spatial heterogeneity analysis of urban flooding: a case study of the central urban area of Ordos. Sci Rep 15, 24749 (2025). https://doi.org/10.1038/s41598-025-08162-4
Received:
Accepted:
Published:
Version of record:
DOI: https://doi.org/10.1038/s41598-025-08162-4










