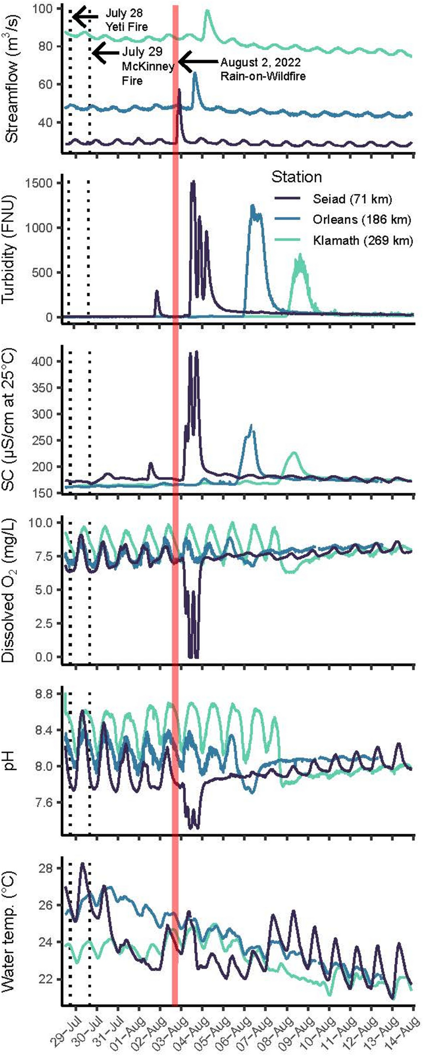
Fig. 3

Continuous 15 min streamflow and water-quality observations showing the longitudinal propagation of a flood wave, sediment pulse, and associated water-quality impairments captured at three downstream monitoring stations52,53,54 following the 2022 McKinney rain-on-wildfire event along the main-stem Klamath River, California. Time-series graphs show peaks in streamflow that preceded the arrival of turbidity pulses. Spikes in turbidity and specific conductance (SC), and sags in dissolved oxygen (O2) and pH were in sync with the arrival of the turbidity pulse at each station. The duration of the rain-on-wildfire event is shown in each panel by the shaded red area. Water-quality impairments were most pronounced upstream, closest to the sediment pulse source areas, and generally decreased with increasing distance downstream. Monitoring station locations are reported in parentheses as kilometers (km) downstream from Humbug Creek, a primary sediment source watershed. Station descriptions are shown in (Table 1), and station locations are shown in (Fig. 1).