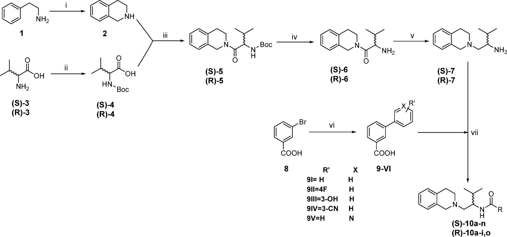
Scheme 1
From: Novel dual kappa/mu opioid ligands based on a tetrahydroisoquinoline-valine hybrid nucleus

Reagents and conditions: (i) HCOOH, paraformaldehyde, 50 °C, overnight; (ii) (Boc)2O, 1 M NaOH, THF, H2O, r.t., 12 h; (iii) HBTU, DIPEA, r.t., 16 h; (iv) TFA, DCM, 0 °C then r.t., 3 h., (v) LiAlH4:THF, anhydrous THF, 0 °C then 70 °C, 3 h; (vi) Aryl Boronic acids, Pd(PPh3)4, K2CO3, Toluene, MeOH, 95–105 °C, overnight ; (vii) Different carboxylic acids, EDCI, HOBt, DIPEA, r.t., 16 h.