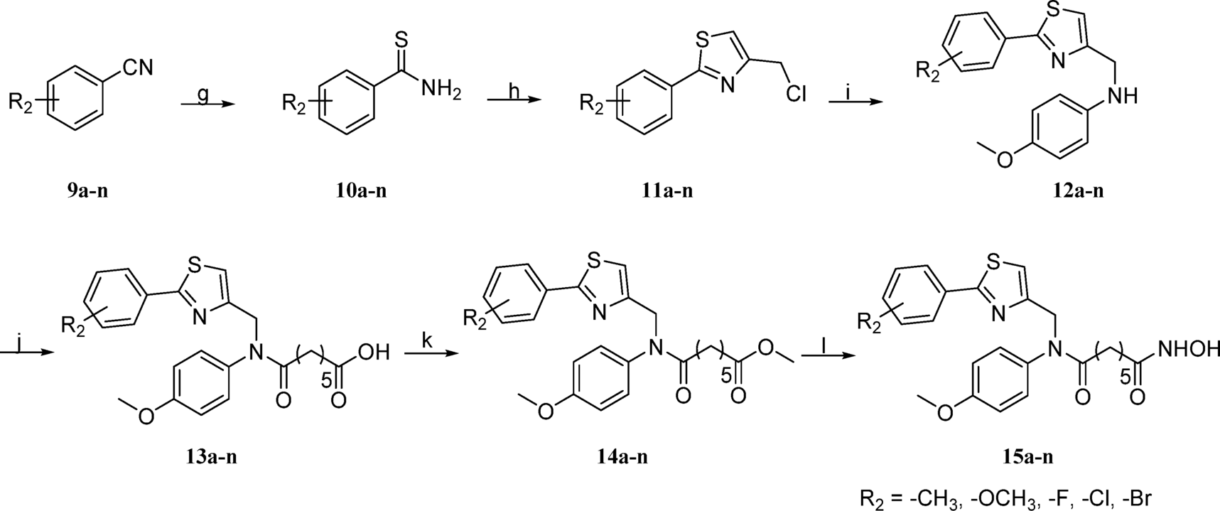
Scheme 2

Synthesis of Compounds 15a − n. Reagents and conditions: (g): Pyridine, (C2H5)3N, (NH4)2S5 (h): 1,3-Dichloroacetone, EtOH, reflux (i): K2CO3, DMF (j): Pimelic acid anhydride, 1,4-dioxane, reflux (k): MeOH, Cat. SOCl2, reflux (l): NH2OH·HCl, KOH, MeOH.