Abstract
High precision is required during the precise matching construction of steel box girder cable-stayed bridge segment suspension assembly. Due to temperature differences, sunlight, and other factors, the bridge shape changes dramatically during the day, so the precise matching of steel box girder cable-stayed bridges is generally carried out at night when the temperature is stable. However, nighttime construction restricts the progress of the project and poses certain safety hazards. This article proposes a precise matching construction method for steel beams during the dynamic changes in bridge line shape during the daytime through theoretical calculations and numerical analysis. After one measurement, two retests, and three calculations, and considering the influence of process and environmental factors, dynamic measurement, real-time calculation, and real-time control were applied to Yangmeizhou Bridge to achieve all-weather dynamic precise matching construction of steel box girders, verifying the feasibility of this method.
Similar content being viewed by others
Introduction
The steel box girder structure, owing to its lightweight and high load-bearing capacity, has been extensively utilized in cable-stayed bridges, suspension bridges, and long-span continuous beam bridges1,2. During the cantilever assembly process of steel box girders, precise alignment and positioning of the steel girders are typically conducted according to geometric methods. For cable-stayed bridge structures, the bridge alignment is significantly influenced by environmental conditions such as sunlight and temperature variations3,4,5,6,7,8. To ensure the accuracy of the steel girder alignment, measurements and precise alignment construction are usually carried out during the night when the temperature is relatively stable. For instance, the Zhongshan Bridge of the Shenzhen-Zhongshan Link9, the Danjiangkou Reservoir Bridge10, and the Xijiang Bridge11 all underwent precise alignment construction at night. During the construction of the Sutong Bridge, it was also considered that matching the girder segments two hours after sunset could essentially eliminate the adverse effects of temperature on the local alignment12,13.
According to the specification “Technical Specifications for Construction Monitoring and Control of Highway Bridges”, the elevation of the main girder is quite sensitive to changes in the temperature field, and measurements are generally taken during periods when the temperature field is relatively stable14. However, this approach affects the construction schedule to some extent and increases construction risks. Moreover, even during nighttime construction, the temperature of the steel girders continues to change15, and the elevation of the bridge is constantly fluctuating, leading to errors in positioning when using static data16,17. The assessment and prediction of dynamic deflection are crucial for the precise positioning of steel box girders18.
The Yangmeizhou Bridge is located in Xiangtan, Hunan, China(Fig. 1). It is a double tower double cable plane cable-stayed bridge with a main span of 658 m and a total construction cost of 1.376 billion yuan (Fig. 2). The main girder adopts a steel box girder structure, with standard segment lengths of 15 m, a width of 51.85 m (Fig. 3), and a mass of 340 tons. It employs the cantilever lifting construction method using deck cranes. The total cost of the bridge is 1.376 billion RMB. This paper, through the analysis of steel girder alignment measurement data, proposes a construction control method for the dynamic precise alignment of steel box girders in cable-stayed bridges. This method involves the use of dynamic data for the measurement, positioning, and re-measurement of steel girders, enabling the precise alignment construction of steel box girders to be carried out during the daytime.
Location Map of Yangmeizhou Bridge. Base map data from MapCarta (https://mapcarta.com), available under the Open Database License (ODbL). Data accessed: May 20, 2025.
Elevation of Yangmeizhou Bridge.
Cross-sectional of Yangmeizhou Bridge.
Method
Dynamic precision alignment construction technique
The Yangmeizhou Bridge was constructed using the method described in this article, and its main process is as follows:
The steel beam was lifted into place by the bridge deck; The positioning bolts for the outer web plate position were installed and the steel beam was preliminarily positioned; The elevation of adjacent steel box girders was measured for the first time. Based on geometric relationships and error correction, the precise positioning elevation of the installed steel beams was calculated and adjusted; The positioning steel plate at the belly plate was welded, and the elevation of the adjacent two steel beams and the installed steel beams was measured for the second time. The precise positioning error was calculated and adjusted using the algorithm in this article; If there was an error, a jack was used to adjust the height difference between the top and bottom plates of the steel beams on both sides of the weld to be level, and the top plate of the steel beam was welded; The elevation of the adjacent two steel beams and the installed steel beams was measured for the third time, and the error was calculated according to the algorithm in this article as the construction process error of this section of the beam, providing a basis for error correction for subsequent construction. (Fig. 4)
The steel beam was installed using a bridge deck crane, and the main lifting equipment was two 350 t continuous hydraulic jacks. The elevation of the steel beam was controlled by a hydraulic system with a precision of 1 mm.
Construction process of dynamic precision matching.
Precise alignment positioning algorithm
Fine matching positioning is actually the process of restoring the manufacturing line shape of steel beams. The manufacturing pre camber can be calculated using finite element software and controlled during steel beam manufacturing19.
Measure the installed segments before precise matching, and calculate the accurate position of the segment to be installed based on the relative position of the manufacturing line type.
The process of precise alignment positioning is essentially the restoration of the steel girder’s manufacturing shape. The manufacturing camber can be calculated using finite element software and controlled during the fabrication of the steel girder.
Prior to precise alignment, the already installed segments are measured. Based on the relative position of the manufacturing shape, the accurate position of the segment to be installed is calculated. Figure 5 shows the theoretical position of the steel beam segment considering pre-camber, Fig. 6 shows the actual position of the steel beam segment during construction, L1 represents the installed segment, and L2 represents the beam segment to be installed.
Manufactured line type.
Assembled line type.
The control elevation for the on-site assembly segments can be derived from the manufacturing shape.
\(\normalsize {\theta _1}{\text{=}}arcsin \frac{{{y_2} - {y_1}}}{{{L_1}}}\)\(\normalsize {\theta _2}{\text{=}}arcsin \frac{{{{y^{\prime}}_2} - {{y^{\prime}}_1}}}{{{L_1}}}\)\(\normalsize {\theta _3}{\text{=}}arcsin \frac{{{y_3} - {y_1}}}{{{L_3}}}\)
\({y^{\prime}_3}={y^{\prime}_1}+{L_3}\sin ({\theta _3}+{\theta _2} - {\theta _1})\)
\({L_3}=\sqrt {L_{1}^{2}+L_{2}^{2} - 2{L_1}{L_2}\cos \alpha }\)
Since\(\alpha\rightarrow180^{\circ},\cos\alpha\rightarrow-1\), therefore\({L_3} \approx {L_1}+{L_2}\)
Where:
\({L_1}\)—Length of installed segments
\({L_2}\)—Length of segment to be installed
\({y_1}\)、\({y_2}\)、\({y_3}\)—The theoretical elevation considering manufacturing pre-camber
\({y^{\prime}_1}\)、\({y^{\prime}_2}\)、\({y^{\prime}_3}\)—Actual installation elevation
Based on the above analysis, the theoretical spatial relative position of the steel girder is fixed. Although the measured elevation of the steel girder continuously changes due to environmental influences, as long as the immediate measurement data is used for calculation at the moment of precise alignment, and the assembly elevation is calculated, adjusted, and locked in real time, followed by timely re-measurement and correction, the goal of achieving precise alignment construction of the steel box girder at any time can be realized.
Error calculation
During construction, errors are inevitable, and thus, error correction is necessary during the precision alignment installation. The error factors that need to be considered mainly include process errors, tangent assembly errors, and measurement timing errors, as well as the influence of cross-sectional deformation.
Process errors
For full section welded steel structures, the width of the weld seam is generally the same, and the shrinkage of the weld seam is also basically the same. For composite beam structures, the upper part is a concrete beam and the lower part is a steel beam. When welding the lower steel beam, there will be some shrinkage, while the connection part of the upper concrete structure is cast-in-place, which causes the steel beam to rotate downward. This error should be obtained through experimental measurement.
By analyzing the measured data from the already assembled beam segments, the error caused by the influence of the construction process can be calculated.
After the precision alignment is completed and before welding, the elevation of the beam segment before welding is\({y_{21}}\)、\({y_{22}}\)、\({y_{23}}\), and the elevation of the beam segment after welding is\({y^{\prime}_{21}}\)、\({y^{\prime}_{22}}\)、\({y^{\prime}_{23}}\). In theory, the spatial relationship between the three should be consistent. However, due to errors caused by welding deformation and other construction process reasons, the spatial posture changes. The calculation formula for the process error is:
Where: \({\theta _1}{\text{=}}arcsin \frac{{{y_{22}} - {y_{21}}}}{{{L_1}}}\) \({\theta _2}{\text{=}}arcsin \frac{{{{y^{\prime}}_{22}} - {{y^{\prime}}_{21}}}}{{{L_1}}}\) \({\theta _3}{\text{=}}arcsin \frac{{{y_{23}} - {y_{21}}}}{{{L_3}}}\)
Tangent assembly errors
The currently installed beam segments have already developed vertical errors. Continuing to assemble the subsequent beam segments according to the manufacturing shape will lead to an amplification of these errors, so correction must be made during the positioning of the beam segments. (Fig. 7)
Tangent installation error.
Based on the measurement data, the errors of the installed beam segments are calculated to be △1 and △2, and the lengths of the beam segments are L1 and L2、L3. The error of the beam segment to be installed is:
It is necessary to perform error correction on the elevation of the L3 beam segment to ensure that the line type error does not infinitely amplify.
Measurement timing errors
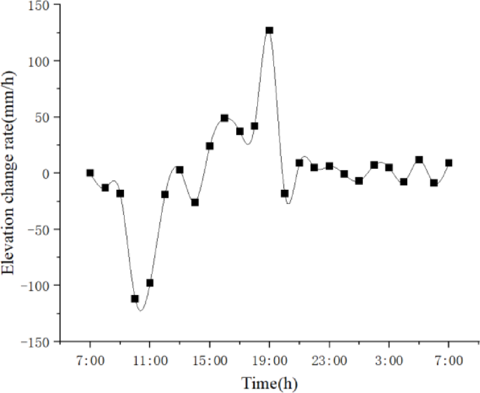
We use Topcon DL-501 digital level to measure elevation, with a measurement accuracy of 0.2 mm. Nonetheless, due to the time interval between the elevation measurement and the precision alignment of the elevation, the elevation of the beam segments may also change during this interval. This error value is calculated based on the dynamic variation pattern of the elevations of adjacent beam segments. Analysis of the measurement data shows (Figs. 8 and 9) that between 9:00 and 11:00, and 17:00 and 19:00, the elevation change rate of the beam to be assembled is relatively high, while the change rate during other time periods is lower. Therefore, the precision alignment should avoid these time periods. Additionally, this data is significantly affected by weather conditions, and different measurement data should be selected for calculations based on varying weather conditions.
Elevation variation curve of adjacent segments.
Elevation change rate of the beam segment to be installed.
Measurement timing errors can be calculated by formula (4):
Where:
-
\(\Delta {h_t}\)- rate of elevation change of the beam segment to be assembled;
-
T- time interval.
Cross-sectional deformation
The standard cross-section of the steel box girder has a 2% cross slope on both sides and is installed using a bridge deck crane (Fig. 10).
Lifting of steel beam segments.
To simulate the lateral deformation of steel beam segments, a finite element model was established using Midas FEA NX (Version 2022R1, available at: https://product.midasit.cn/index/). The material used in the model is Q345, vertical constraints were set at the anchor points of the stay cables and the vertical suspension points. The maximum stress of the steel beam to be installed was 108.4 MPa, and the maximum stress of the installed beam was 180.8 MPa, both of which were less than the steel stress design value of 275 MPa.
After the installation of the steel beams, lateral deformation will occur due to the loads from the cables on both sides and the crane loads20,21,22,23 (Figs. 11 and 12). Therefore, when evaluating the structural alignment, the impact of lateral deformation should be considered. For steel beams lifted by the crane, the elevation of the lifting points may be slightly higher (Fig. 13). The stay cables are located at the outer web of the steel beam, while the crane is positioned at the midsection of the steel box beam. Once the stay cables are tensioned, upward warping deformation will occur on both sides of the steel box beam. The lateral deformation of the cross-section should be calculated before construction, and actual measurements should be taken during the construction process to allow for elevation adjustments. Since the outer web is the primary load-bearing component, when matching the beam segments, the elevation of the outer web is matched first, followed by the adjustment of the relative height differences at other positions. Alternatively, the cross-sectional matching height difference can be reduced by pre-tensioning the stay cables to transfer the lifting weight24.
Deformation of segment to be installed.
Deformation of installed segment.
Transverse deformation curve of steel beam.
Result
According to the method described in this article, daytime dynamic precision alignment was performed on the WM7-WM21 and EM7-EM21 beam segments, covering a time span from November 2023 to May 2024, experiencing extreme weather conditions in winter and summer, with temperature changes ranging from − 5 ℃ to 30 ℃. The precision alignment error value calculated from the elevation measurement data under stable temperature conditions before the installation of the stay cables after the completion of the steel beam welding is shown in Fig. 14. As shown in the data in the figure, including welding deformation, precision adjustment errors and process errors, the dynamic precision matching error range of the steel beam is between − 9 mm and 9 mm, meeting the requirement of assembly error less than 20 mm in the specification.
Result of dynamic precise alignment.
Discussing
We measured the elevation of WM20 and EM20 beam segments from 7:00 am on May 7, 2024 to 7:00 am on May 8, 2024, and their elevations are shown in Figs. 15 and 16. The “lateral position” axis represents the position of the measuring point in the transverse direction of the bridge, and the “time” axis represents the measurement time with a time interval of 1 h. it can be found that:
(1) The elevation of the main beam is affected by environmental factors such as sunlight and temperature, and varies greatly between day and night, with a maximum variation of 21.9 cm. The elevation reaches its lowest value at 13:00 during the day and its maximum value at 5:00 in the morning.
(2) During the period of 7:00–19:00, the elevation changes dramatically, with an average rate of change reaching 36.5 mm/h. The elevation changes relatively smoothly from 00:00 to 7:00, with an average rate of change of 3.3 mm/h.
(3) The elevation of the left and right sides is affected by uneven sunlight, and there are differences in elevation. The maximum deviation between the left and right sides reaches 37 mm.
Elevation of segment WM20.
Elevation of segment EM20.
The precise alignment and positioning of the WM20 beam segment were carried out under this temperature condition. According to the calculation results, the precise alignment construction was carried out based on the measurement data at 22:00. By 7:00 the next morning, According to the algorithm above, the actual theoretical precise alignment elevation had changed from 55.961 m to 55.986 m, with a variation amplitude of 25 mm (Fig. 17). Therefore, under the condition of drastic changes in elevation, traditional precise alignment cannot meet the requirements of construction control. Even during periods of relatively stable nighttime temperatures, the precise alignment elevation will undergo significant changes.
Static precise matching elevation at different times at night.
Conclusion
The precision requirements for the precise alignment construction of steel box girders are high. By establishing a rapid precise alignment positioning algorithm, three measurements are taken to calculate the respective precise positioning elevations, which are used to position and adjust the posture of the steel box girder. The first measurement is used for welding the web cleats, achieving initial fixation; the second measurement is used to verify the relative positional accuracy after the web cleats have been welded and to further adjust the elevation. The third measurement is used to assess the process error, serving as the basis for precise alignment calculations. Following the method described in this paper for the precise alignment construction of steel box girders, the precision can meet the requirements of construction specifications.
(1) The method presented in this paper breaks through the traditional regulation that precise alignment construction can only be measured and carried out at night, allowing for the precise alignment construction of steel girders to be conducted during the day. This avoids the risks associated with nighttime construction safety and welding quality, and can also accelerate the construction schedule to some extent.
(2) Nighttime temperatures are not absolutely stable, and the elevation of steel girders can also undergo minor changes. Using traditional precise alignment methods, the influence of this error still cannot be excluded. The method in this paper can comprehensively consider the dynamic deformation of the bridge and process errors at any time, thereby circumventing the impact of this error and improving the control precision of precise alignment.
(3) Due to the fact that the method proposed in this article is based on rapid measurement and calculation, there is a high demand for efficiency in measurement and calculation during construction.
(4)Further research is needed on how to quickly adjust the elevation of steel girders during precise matching of steel box girders and reduce the changes in steel girders elevation during the adjustment period.
Data availability
The datasets generated and analyzed during the current study are available from the corresponding author on reasonable request. Data supporting the findings of this study are also included within supplementary materials.
References
Oliveira Pedro, J. J. & Reis, A. J. Composite cable-stayed bridges:State of the art. J. Bridge Eng. 169(1), 13–38 (2016).
Martin, L. A. et al. Planning and design of the Gordie Howe international bridge, North America. J. Bridge Eng. 176(4), 233–249 (2023).
Kim, S. H. et al. Temperature variation in steel box girders of cable-stayed bridges during construction. J. Constr. Steel Res. 112, 80–92 (2015).
Watson, C. et al. Structural monitoring of cable-stayed bridge: analysis of GPS versus modeled deflections. J. Assess. Rehabilit. Civil Struct. 133, 23–28 (2007).
Suangga, M. et al. Temperature effect on tension force of stay cable of cable-stayed Bridge. J. Int. J. Eng. Adv. Technol. 9(1), 2251–2257 (2019).
Zhu, J. et al. Thermal effect analysis of a steel truss cable-stayed bridge with two-layer decks under sunlight. J. Adv. Struct. Eng. 1, 119–133 (2024).
Shan, Y. et al. Temperature behavior of cable-stayed bridges. Part I — Global 3D temperature distribution by integrating heat-transfer analysis and field monitoring data. J. Adv. Struct. Eng. 9, 1579–1599 (2023).
Bo, Y., Xiaolei, W. & Benhui, Z. Deformation analysis of cantilever assembly section of flat steel box girder for long-span cable-stayed Bridge. J. Highw. Transp. Res. Dev. 10, 195–199 (2019).
Yu, Z. Transverse deformation and countermeasures of cantilever assembly of super‑wide steel box girder of Zhongshan bridge over Shenzhen‑Zhongshan link. J. China Foreign Highw. 44(4), 197–202 (2024).
Zhaohui, L., Fanwu, Z. & Dean, Y. Key construction techniques of axial Force-Free connectors at midspan of Danjiangkou reservoir Bridge. J. World Bridges 52(3), 36–41 (2024).
Xingguo, X. Key technology for erecting steel box girders of hybrid girder Cable-stayed Bridge over Xijiang river. J. Railw. Constr. Technol. 7, 93–96 (2021).
Qihe, W., Ming, C. & Chenbin, L. Research on matching technology of standard steel box beam for Sutong Bridge. J. China Foreign Highw. 28(5), 124–129 (2008).
Ming, C., Zhaohui, H. & Peng, L. Lifting and matching technology of Sutong Bridge width and heavy standard beam. J. Highw. Transp. Res. Dev. 5, 144–146 (2009).
JTG/T 3650-01-2022.Technical specifications for construction monitoring and control of highway bridges.
Wenshuo, L. et al. Temperature mode of steel box girder of long span cable-stayed bridge of high-speed railway. J. Railw. Sci. Eng. 20(11), 4032–4038 (2023).
Yujing, L. et al. Analysis of measured temperature and temperature induced displacement effect of Kilometer level cable-stayed Bridge steel box girder. J. Highway 4, 157–161 (2024).
Zhilun, L., Changsong, C. & Guoliang, Z. Analysis of temperature effects during the construction process of large span hybrid beam cable stayed bridges. J. China Foreign Highw. 41(5), 164–168 (2021).
Yi-Fan, L. et al. Dynamic deflection monitoring method for long-span cable-stayed bridge based on bi-directional long short-term memory neural network. J. Smart Struct. Syst. 5, 297–308 (2023).
Li-feng, L. et al. Calculation of manufacturing dimensions of steel box girders based on geometric control method. J. Zhejiang Univ. 57, 1697–1703 (2023).
Shenyou, S. et al. Hoisting and matching techniques for large steel box girder segments of main Bridge of Zhongshan Bridge of Shenzhen-Zhongshan link. J. Bridge Constr. 54(1), 8–15 (2024).
Yan-biao, C. et al. Study of main girder deformation and load bearing behavior of Cable-Stayed Bridge during cantilever assembly of steel Box-Concrete composite girder. J. World Bridges 50(6), 86–93 (2022).
Jing, Z., Quancheng, Z. & Yuan, Q. TransVerse alignment matching techniques for CantileVer—Assembled wide steel box girders of Wuhan Qingshan Chanjiang river highway bridge. J. Bridge Constr. 54, 139–144 (2024).
Hongbo, L., Hongchang, R. & Yuxiang, F. Optimization analysis of hoisting for large-span split type steel box girder cable-stayed Bridge. J. Highw. 3, 176–181 (2024).
Li, Z., Zhenlong, N. & Jun, W. Study of using girder weight transfer technique to erect steel box girders of Pailou Changjiang river highway Bridge. J. World Bridges 48(4), 21–24 (2020).
Author information
Authors and Affiliations
Contributions
Wang Laifa and Zhou Sicheng wrote the main manuscript text, Li Yexun and Zou Ci prepared the figures. All authors reviewed the manuscript.
Corresponding author
Ethics declarations
Competing interests
The authors declare no competing interests.
Additional information
Publisher’s note
Springer Nature remains neutral with regard to jurisdictional claims in published maps and institutional affiliations.
Electronic supplementary material
Below is the link to the electronic supplementary material.
Rights and permissions
Open Access This article is licensed under a Creative Commons Attribution 4.0 International License, which permits use, sharing, adaptation, distribution and reproduction in any medium or format, as long as you give appropriate credit to the original author(s) and the source, provide a link to the Creative Commons licence, and indicate if changes were made. The images or other third party material in this article are included in the article’s Creative Commons licence, unless indicated otherwise in a credit line to the material. If material is not included in the article’s Creative Commons licence and your intended use is not permitted by statutory regulation or exceeds the permitted use, you will need to obtain permission directly from the copyright holder. To view a copy of this licence, visit http://creativecommons.org/licenses/by/4.0/.
About this article
Cite this article
Laifa, W., Yexun, L., Ci, Z. et al. All-weather precision alignment technology for ultra-wide steel box girders in cable-stayed bridges. Sci Rep 15, 25062 (2025). https://doi.org/10.1038/s41598-025-08562-6
Received:
Accepted:
Published:
Version of record:
DOI: https://doi.org/10.1038/s41598-025-08562-6



















