Abstract
This study aimed to examine the roles that the index finger and thumb play in tip pinch force sense at different force levels in both males and females. Forty-two healthy participants (21 females and 21 males) underwent an ipsilateral force reproduction assessment employing three different fingers (thumb, index finger, and tip pinch) at 3 distinct forces of 5, 10, and 20% of maximal voluntary isometric contraction (MVIC). The findings revealed no significant between incorrect (absolute error) or consistent (variable error) force sense errors among the pinch, thumb, and index finger. The results further revealed significant correlations between the pinch and index finger of a constant error at 5%, 10%, and 20% MVIC (r = 0.460, P = 0.036; r = 0.735, P < 0.001; r = 0.839, P < 0.001, respectively) in males. Significant correlations were also observed in females between the pinch and thumb of a constant error at 5%, 10%, and 20% MVIC (r = 0.436, P = 0.048; r = 0.464, P = 0.034; r = 0.565, P = 0.008, respectively). These findings demonstrated that when the thumb and index finger are employed simultaneously (tip pinch), females rely more on the thumb, while males rely more on the index finger for accurate pinching forces. A higher force level led to a higher contribution of the individual finger (thumb for females and index finger for males) to the pinch force sense.
Similar content being viewed by others
Introduction
Proprioception, the sense of body position, movement, and effort, is essential for individuals to move with accuracy, precision, and coordination. This complex sensory system arises from the integration of information from various sensory receptors located in muscles, tendons, joints, and skin. These receptors relay feedback to the central nervous system (CNS) about limb position, movement velocity, muscle length, tension, and the forces acting on the body. The CNS processes this information to plan and execute movements, maintain balance, and effectively interact with the environment1,2. Importantly, proprioception is not a singular entity but encompasses several submodalities, including kinesthesia (the sense of movement), joint position sense (awareness of joint angles), and force sense (the ability to perceive and discriminate forces). These conscious proprioceptive sensations are fundamental to neuromuscular control, with force sense playing a particularly significant role in fine motor tasks and object manipulation3. Specifically, force sense refers to the ability to accurately detect, interpret, and respond to external or internal forces acting on or generated within a specific joint4,5.
The importance of force sense extends beyond the simple awareness of force magnitude. It is crucial for a wide range of activities, from gross motor tasks like walking and maintaining posture to fine motor skills requiring precise hand and finger movements. Activities such as lifting and gripping fragile objects, performing delicate surgical procedures, using control interfaces like joysticks, applying sealants, and even everyday tasks like writing or buttoning a shirt rely heavily on accurate force sense and control6. Many of these actions require a precise pinch grasp, typically involving the coordinated action of the thumb and index finger pulps7. While considerable research has explored various aspects of precision pinching, such as the biomechanics of force production, neural control of finger movements, and the effects of fatigue and aging, the specific roles of the thumb and index finger in force sense during tip pinch grip remain incompletely understood8.
This gap is particularly intriguing given the distinct anatomical and neurophysiological differences between the thumb and index finger. These digits vary in anthropometry (shape, size, and length), anatomy (muscle attachments, tendon arrangements, joint structures, and bone morphology), and neurophysiology (cortical motor representations and nerve innervation patterns). Such differences suggest that the thumb and index finger might contribute differently to the overall perception of pinch force. Understanding how the CNS integrates sensory information from these two distinct digits during precision pinching is critical for advancing our knowledge of fine motor control.
To efficiently interact with objects, the CNS integrates afferent information from multiple sources, primarily Golgi tendon organs (GTOs) in the musculotendinous junction and tactile receptors in the skin of the fingertips. GTOs are highly sensitive to changes in muscle tension and provide feedback about the force generated by a muscle. Tactile receptors, in contrast, supply information about contact forces, pressure distribution, and skin deformation. Bayesian decision theory offers a framework for understanding how the CNS combines these sensory inputs, weighting each channel based on its reliability and accuracy9,10,11. In terms of pinch force sense, this implies that the CNS integrates sensory information from both the thumb and index finger, accounting for the relative precision and reliability of the signals from each digit.
Previous studies exploring the individual contributions of the fingers to pinch force have yielded conflicting results, often focusing on force production rather than force sense. Some studies suggest that the thumb plays a dominant role, particularly in tasks requiring fine force adjustments or directional control. For example, Li highlighted the thumb’s greater number of intrinsic muscles, which contribute to enhanced strength and dexterity8. Hasegawa demonstrated that thumb sensation improves force accuracy12, while Maier and Hepp-Reymond emphasized the thumb’s role in fine-tuning force during precision grip13. In contrast, other studies have indicated a greater role for the index finger, especially in tasks demanding high precision. For instance, Visser found that precision demands influenced the relative contributions of the index and middle fingers, with the index finger playing a more significant role under settings requiring accuracy6. Li et al. even reported that the index finger produced greater force than the thumb during submaximal precision pinching14. These discrepancies underscore the complexity of finger coordination and the need for more targeted research on the perceptual aspects of pinch force control.
Additionally, prior research has shown that force sense is non-linear across the range of possible force outputs. Lower forces tend to be overestimated, higher forces underestimated, and the most accurate force estimation typically occurs at mid-range forces (approximately 20–50% of maximal voluntary isometric contraction, MVIC)15,16,17,18,19,20. This non-linearity suggests that the relative contributions of the thumb and index finger to pinch force sense may vary depending on the force level. Coordinating the two fingers becomes increasingly challenging as force levels rise21,22, and task demands may lead to a preference for one digit over the other6. Consequently, it is reasonable to hypothesize that the relative contribution of either the thumb or index finger to pinch force sense becomes more pronounced at higher force levels.
Sex differences in regulating submaximal forces during force reproduction or matching tasks have shown inconsistent results. For instance, Bao found no significant influence of sex on force replication accuracy when comparing anticipated force to actual palmar pinch force23. However, Herring-Marler observed that sex impacted finger accuracy in controlling submaximal ramping force, with males making more errors than females and showing significant differences in target force-matching ability24. Similarly, Herring-Marler et al. reported that males displayed greater variability in ramp force generation using the four fingers (middle, ring, index, and little fingers)25. At higher force levels (90–130 N), studies on handgrip force sensitivity found that women replicated forces more accurately than men26. Conversely, other research demonstrated that women made significantly larger force-matching errors than men when performing tasks involving 70° knee joint extension27.
Females also exhibit distinct muscular characteristics compared to males. In addition to having less muscle strength23,24,28, females show a longer half-relaxation time29 and reduced whole-muscle twitch force30. Male and female adults also differ in body size, which may contribute to males’ greater efficiency in gross motor tasks. However, fine motor tasks rely not only on strength but also on sensory qualities. Women tend to perform better in tasks requiring sensory discrimination24. Furthermore, women may activate a greater number of motor units at lower forces due to their higher proportion of type-I muscle fibers31, making them more effective at regulating fine motor forces24.
Given these differences, it is reasonable to expect an interaction between sex and the contributions of individual fingers to pinch force estimation. However, it remains unclear if the roles of the thumb and index finger in tip pinch force sensation are consistent across different force levels and between sexes. Therefore, this study aimed to investigate how the thumb and index finger contribute to tip pinch force sensation in males and females across varying force levels.
Methods
Participants
The present research work recruited 42 healthy individuals (21 males and 21 females, all right-handed) having an average age of 20.3 ± 1.3 years, a weight of 63.5 ± 13.8 kg, and a height of 170.0 ± 6.9 cm. The individuals’ hand domination was established by which hand was utilized to write. Exclusion criteria included any history of hand or wrist surgery, or any current hand pathology or pain. The adults were unfamiliar with the assignment and showed no signs of neuromuscular problems. Informed consent was given in writing by each adult. The present research work was approved by Langfang Normal University’s Ethics Review Board (Ref # 2024038). The Helsinki Declaration was followed in the completion of this study. To evaluate the adequacy of the sample size, a post-hoc power analysis was conducted using G*Power (v3.1.9.6) based on the observed correlation coefficients.
Instruments
Four electronic digital force dynamometers (finger analyzer; Kjyl Technologies, Beijing, China, range of measurement: 0-150N, accuracy: 0.1%) were used for all strength and force reproduction analysis. Among the four, the two (A and B) were fixed at the same height on either side of a vertical metal plate (Fig. 1) while the other two (C and D) were linked together at the bottom and hung at the same height as dynamometers A and B by rubber bands. The electronic digital force dynamometers A, B, and C (data from dynamometer C, not D, were used to calculate the pinch force) measured the thumb, index finger, and tip pinch force. The gadget was inspected before use, and the manufacturer’s calibration settings were employed. Prior to each testing session, a zero-calibration was performed on each dynamometer. The gadgets possessed a pinch span of 4.0 cm (the distance between the pressure plates of dynamometers A and B, or C and D), and the sampling frequency was set to 100 Hz. The finger analyzer was employed to develop a method for quantifying finger force sensation. The output from the dynamometers was digitized using an A/D converter (Model: AD7190, ADInstruments, Bella Vista, NSW, Australia) and low-pass filtered at 10 Hz (Butterworth, fourth-order, zero-phase lag).
Protocol
The investigation was carried out in a silent setting with consistent room lighting and temperature (approximately 22 °C) for reducing auditory and environmental distractions32,33. The participants took a whole-body position in a line, with the forearm on a horizontal padded structure, the wrist and forearm in neutral positions, and the upper arm next to the body, after sitting in a chair that was approximately 80 cm in front of a 14-inch computer display (Fig. 2a). Isometric thumb, index finger, and pinching tasks with the thumb (Fig. 2b), index finger (Fig. 2c), and tip pinch (Fig. 2d) were performed by the participants. The tip pinch is achieved by pressing the tip of the thumb to the tip of the index finger. The remaining 3 fingers (middle finger, ring finger, and pinky finger) grasped a vertical rod to stabilize the wrist and hand34. The computer screen displayed the finger force output of the subjects, who were taught to uphold this posture during the evaluation. A computer, a modified MVIC test program, and a force reproduction task program (Kjyl Technologies, Beijing, China) were employed for collecting data.
MVIC test
The individuals participated in a warm-up session before the test consisting of three submaximal contractions of each finger/pinch type. Participants were verbally encouraged to exert maximal effort. They were then advised to employ a thumb, index finger, and pinch grasp on the dynamometer and exert maximum finger force for 5 s, reaching the maximum within 1 s, maintaining it for 3 s, and relaxing within 1 s. The highest value achieved across the two trials was measured as the finger strength after the test was conducted twice23. For decreasing the effect of fatigue on the study findings, participants were given two minutes to relax in between tasks.
Force reproduction task
Force sense was ascertained by employing the participants’ ability to recreate a target force precisely. The participants were initially shown a video that described the task. The participants were then presented with a black circle depicting the target force in a particular trial using custom C++ software. A gray dot represented the instantaneous finger force on the same screen (Fig. 3). The respondents were asked to apply a target force, T, for 3 s and to memorize the amount of force they applied. To replicate the same force devoid of any indications of sight, the subjects were next told to close their eyes and rest for three seconds. When the participants thought they had effectively recreated the previous force, they were given the task of pulling a trigger with their other hand. The trigger was a handheld button. The computer measured the applied force (R). The recorded force (R) was the average force exerted during a 0.1-s window immediately preceding the trigger press. Following that, the respondents were instructed to rest once more. This assignment was performed until the individual understood and felt confident with the method.
The participant replicated three distinct fingers (thumb, index finger, and tip pinch) and force levels with 5, 10, and 20% MVIC, executing three reproduction contractions at each level of the force. The order of the target forces was randomized. The subjects were instructed to relax for 30 s after each test to reduce weariness, and they were also permitted to rest for 2 min after completing 5 trials to ensure their ongoing focus35.
Statistical analysis
The force reproduction errors were determined by (1). Absolute error (AE), which corresponds to the total error. (2). Variable error (VE, for precision), relating to the variation in the error levels across trials. (3). Constant error (CE), relating to the error directionality (under- or overestimation). AE was determined with the error adjusted to the MVIC for acquiring the normalized absolute error (NAE), which was used to evaluate error as a % of MVIC independent of the amount of the target force36. The given equations were employed for determining these values:
Here, Ri represents the force reproduced during the ith trial. T indicates the target force. \(\overline{R}\) indicates the average of the force reproduced in three trials.
The contribution of the fingers (thumb, index finger, and tip pinch) and sex (female or male) to MVIC were studied using two-way mixed-model ANOVAs; here, sex was observed as a between-participants part, whereas the fingers were considered a within-participant variable. Moreover, two-way mixed-model ANOVAs were employed for exploring the effects of the fingers (thumb, index finger, and tip pinch), force levels (5, 10, and 20% MVIC), and sex (male or female) on NAE, VE, AE, and sex was considered a between-participants variable. In contrast, the degree of force was regarded as a within-participants factor in this model. The found interactions were subjected to simple-effects analysis, while the primary effects that did not involve an interaction were compared pairwise37,38.
The simple effects were estimated employing a Bonferroni correction for several evaluations when a significant interaction was observed38. The Bonferroni method with post-hoc comparisons was used to make modifications when significant main effects were reexamined employing various comparisons39. Further, one-sample t-tests were applied for evaluating whether the participants produced an adequate amount of force or an excessive amount by comparing the CE values for each force level to zero. Data were checked for normality using the Shapiro–Wilk test. The statistical analysis was executed employing SPSS 22.0 (IBM, Armonk, NY, USA). The findings are all presented with an average and a standard deviation (± SD), and P value of < 0.05 was considered statistically significant.
Results
MVIC testing
The mixed-model ANOVA employed for determining MVIC showed no considerable association between fingers, and sex with F(2, 80) = 3.08 and a P = 0.052. There was a significantly higher MVIC in the males (66.1 ± 20.5 N) than in the females (46.3 ± 16.2 N), F(1, 40) = 45.48, P < 0.001. The females’ s MVIC was 42.8% lower than that of the males. It was determined that the major effect for fingers was significant (F(2, 80) = 73.58, P < 0.001). The findings demonstrated considerably greater MVIC values of the thumb (72.8 ± 23.4 N) than of the pinch (53.2 ± 11.9 N, P < 0.001) and index finger (42.6 ± 12.5 N, P < 0.001). Compared to that of the index finger, the pinch had considerably higher MVIC values (P < 0.001). The MVIC of the pinch was 36.8% lower than that of the thumb and 24.9% higher than that of the index finger (Fig. 4).
Absolute error (AE)
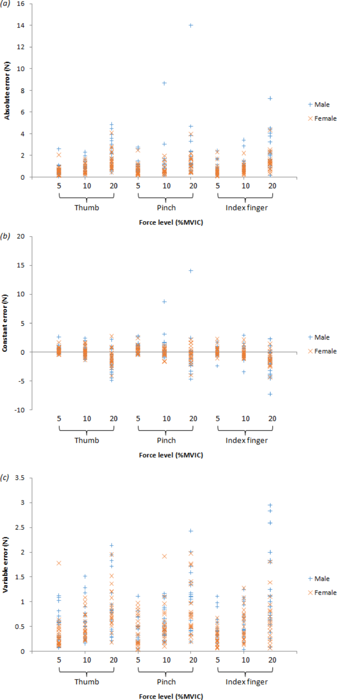
Figure 5 shows the individual data for absolute, constant, and variable errors. Mixed-model ANOVA was employed for calculating the AE, showing no considerable association between fingers, sex, and force levels, F(4, 160) = 0.22, P = 0.928. Interestingly, a considerable association between force levels, and sex was observed F(2, 80) = 3.91, P = 0.024, but not between fingers, and sex F(2, 80) = 0.34, P = 0.710, or fingers and force levels, F(4, 160) = 0.47, P = 0.755. Following that, sex-based follow-up simple effects studies for the force levels showed that males had markedly greater AE values (2.35 ± 2.03 N) than in females (1.47 ± 0.83 N) at 20% MVIC (P < 0.001) but not at 5% MVIC (P = 0.334) or 10% MVIC (P = 0.055).
Individual accuracy (a: Absolute Error, AE), direction (b: Constant Error, CE), and precision (c: Variable Error, VE) values as a function of subject sex (males and females) and force production level (5%, 10%, and 20% MVIC). The y-axis represents the error values (in Newtons, N), and the x-axis represents the force levels. Statistical significance is marked with * for P < 0.05 and ** for P < 0.01.
Follow-up simple effects studies for sex relied on force levels displayed considerably greater AE at 20% MVIC (men: 2.35 ± 2.03 N, females: 1.47 ± 0.83 N) compared with 5% MVIC (men: 0.78 ± 0.59 N, females: 0.60 ± 0.50 N) and 10% MVIC (men: 1.13 ± 1.15 N, females: 0.77 ± 0.46 N) in both males and females (all P < 0.001). For absolute error, the fingers had no noticeable considerable impact (pinch: 1.11 ± 0.94 N, thumb: 1.23 ± 1.56 N, index finger: 1.21 ± 1.09 N, F(2, 80) = 0.25, P = 0.782; Fig. 6).
Absolute Error (AE) values for force reproduction as a function of sex (males and females), fingers (thumb, index finger, and pinch), and force levels (5%, 10%, and 20% MVIC). The y-axis represents the AE values (in Newtons, N), while the x-axis represents the force levels. Statistical significance is marked with ** for P < 0.01.
Variable error (VE)
Mixed-model sex, fingers, and force levels, F(4, 160) = 1.50, P = 0.204; sex and fingers, F(2, 80) = 2.34, P = 0.103; sex along with force levels, F(2, 80) = 2.14, P = 0.125; and finger and force levels, F(4, 160) = 0.26, P = 0.902, were found to have no substantial correlation. For VE, sex (F(1, 40) = 4.84, P = 0.034) and force levels (F(2, 80) = 59.09, P < 0.001) displayed greatly considerable effects, however, not the fingers (F(2, 80) = 0.61, P = 0.546). These findings demonstrated significantly higher VE values for males (0.70 ± 0.53 N) than females (0.56 ± 0.40 N, P = 0.034). These results also revealed considerably greater VE values at 20% MVIC (0.91 ± 0.59 N) compared with 5% MVIC (0.41 ± 0.29 N) and 10% MVIC (0.55 ± 0.34 N, all P < 0.001). VE values were considerably greater at 10% MVIC in comparison to at 5% MVIC (P < 0.001). Moreover, no considerably different VE was found among pinch (0.60 ± 0.44 N), thumb (0.65 ± 0.47 N), and index finger (0.63 ± 0.51 N; Fig. 7).
Variable Error (VE) values across multiple trials as a function of sex (males and females), fingers (thumb, index finger, and pinch), and force levels (5%, 10%, and 20% MVIC). The y-axis represents the VE values (in Newtons, N), and the x-axis represents the force levels. Statistical significance is denoted by * for P < 0.05 and ** for P < 0.01.
Normalized absolute error (NAE)
Mixed-model ANOVA was employed for calculating the NAE, which showed that there was no considerable correlation between sex, fingers, and levels of force, F(4, 160) = 0.13, P = 0.970, sex and fingers, F(2, 80) = 0.57, P = 0.567, sex and force levels, F(2, 80) = 0.33, P = 0.718, and fingers and force levels, F(4, 160) = 1.24, P = 0.297. Further, a substantial variance in the NAE was observed between force levels, F(2, 80) = 11.50, P < 0.001, but not sex (men: 21.01 ± 18.5% MVIC and females: 19.98 ± 22.8% MVIC), F(1, 40) = 0.21, P = 0.651, and fingers (pinch: 19.03 ± 13.47% MVIC, thumb: 22.16 ± 22.18% MVIC, and index finger: 20.30 ± 13.35% MVIC), F(2, 80) = 0.59, P = 0.558. Moreover, considerably lower NAE values of 10% MVIC (17.95 ± 16.08% MVIC) and 20% MVIC (17.82 ± 13.66% MVIC) were obtained in comparison to 5% MVIC (25.72 ± 19.24% MVIC), all P < 0.001; Fig. 8).
Normalized Absolute Error (NAE) values as a function of sex (males and females), fingers (thumb, index finger, and pinch), and force levels (5%, 10%, and 20% MVIC). The y-axis represents the NAE (percentage of MVIC), while the x-axis represents the force levels. Statistical significance is marked with ** for P < 0.01.
Constant error (CE)
Considerably greater CE values were acquired at force levels at 5% MVIC of thumb in males (t (39) = 3.36, P = 0.003) and females (t (39) = 2.98, P = 0.007) and pinch just in males (t (39) = 2.38, P = 0.027), whereas considerably lower CE values were acquired for force levels at 20% MVIC of pinch and index finger in males (pinch: t (39) = -3.96, P < 0.001; index finger: t (39) = -4.22, P < 0.001) and females (pinch: t (39) = -2.80, P = 0.011; index finger: t (39) = -4.56, P < 0.001). Further, approximations were most correct for force levels at 5% and 10% MVIC of index finger, 10% and 20% MVIC of thumb, and 5% (just for females) and 10% MVIC of pinch in males and females (t (39) = -1.29 to 1.92, all P > 0.05; Fig. 9).
Constant Error (CE) values indicating reproduction force directionality of error as a function of sex (males and females), fingers (thumb, index finger, and pinch), and force levels (5%, 10%, and 20% MVIC). The y-axis represents the CE values (in Newtons, N), and the x-axis represents the force levels. Statistical significance is denoted by * for P < 0.05 and ** for P < 0.01.
Correlations between the different fingers of CE
Significant correlations were found between the pinch and index finger of constant error at 5% MVIC (r = 0.460, 95% CI [0.035, 0.744], P = 0.036), 10% MVIC (r = 0.735, 95% CI [0.444, 0.886], P < 0.001), and 20% MVIC (r = 0.839, 95% CI [0.639, 0.933], P < 0.001) in males. Moreover, considerable relationships were observed between the pinch and index finger of constant error at 5% MVIC (r = 0.434, 95% CI [0.003, 0.729], P = 0.049), the pinch and thumb of constant error at 5% MVIC (r = 0.436, 95% CI [0.005, 0.730], P = 0.048), 10% MVIC (r = 0.464, 95% CI [0.040, 0.746], P = 0.034) and 20% MVIC (r = 0.565, 95% CI [0.176, 0.801], P = 0.008) in females (Table 1).
Discussion
Force sense of pinch, thumb, and index finger
This study found no significant differences in absolute and variable force sense errors between the pinch, thumb, and index finger. Previous studies have shown that information about muscle forces and interactions can be detected through tactile sensors in the skin and Golgi tendon organs (GTOs) within the muscles. Thumb muscles (e.g., flexor pollicis longus) and index finger muscles (e.g., flexor digitorum profundus) share several biomechanical similarities, such as the ratio of muscle cross-sectional area to tendon cross-sectional area and the ratio of muscle fiber length to total muscle length40,41. These similarities suggest that the amount of muscle shortening, which activates GTO afferents, is likely comparable between the thumb and index finger42. Furthermore, tactile sensitivity tests have revealed no significant differences in cutaneous perception between the thumb and index finger pads. Hence, it is reasonable to conclude that the force sense between the pinch, thumb, and index finger does not significantly differ.
Our results showed that force estimations were most accurate at 5% and 10% MVIC for the index finger and at 10% and 20% MVIC for the thumb across both sexes. The thumb exhibited a 70.9% higher MVIC compared with the index finger. Consequently, the absolute target force for the index finger (e.g., 20% MVIC) was relatively lower than that for the thumb (approximately equivalent to 11.7% of the thumb’s MVIC). Prior research supports the notion that forces are perceived proportionally to their working range and scaled accordingly42,43,44. Thus, force estimations were most accurate at lower force levels (5% and 10% MVIC) for the index finger and higher force levels (10% and 20% MVIC for the index finger, corresponding to approximately 5.9% and 11.7% MVIC of the thumb) for the thumb.
The contributions of individual fingers to pinch force estimation
This study focused on the relationships between force levels, sex, and the contributions of the index finger and thumb to pinch force estimation. Our findings revealed significant correlations between the pinch and index finger constant error at 5% MVIC, 10% MVIC, and 20% MVIC in males. Similarly, significant correlations were observed between the pinch and thumb constant error at 5% MVIC, 10% MVIC, and 20% MVIC in females. For successful object interactions, the central nervous system (CNS) integrates sensory input from Golgi tendon organs (GTOs) and tactile sensors in the index finger and thumb. Based on Bayesian decision theory, the CNS combines these inputs to provide a more accurate final state assessment by weighting sensory channels according to their reliability9,10,11.
Our results showed no significant differences in absolute (accurate) or variable (consistent) force sense errors between the index finger and thumb. According to Bayesian decision theory, the CNS should process approximately equal amounts of information from both the thumb and index finger to reach an optimal final state estimation.
However, the findings of this study indicated that the pinch force sense was primarily driven by the index finger in males and by both the thumb and index finger in females at lower force levels. As force levels increased, the contribution of the index finger became more pronounced in males, while the thumb’s contribution increased in females. This reflects broader patterns of sex-based differences in force control and motor behavior. In ancient Chinese society, for instance, men were typically engaged in physically demanding labor, such as farming, construction, and blacksmithing, due to their greater physical strength. Conversely, women often engaged in skill-based tasks such as weaving, which required precise pinch control involving the thumb45,46.
The thumb’s structural variability in force output was found to be greater than that of the index finger47. Previous studies have suggested that greater structural variability in motor outputs reflects a higher dynamic degree of freedom in the motor system, enabling more adaptable movements48. As a result, the thumb surpasses the index finger in force-control flexibility49. The thumb is particularly critical for force direction and flexibility49, while the index finger plays a major role in joint stabilization8,50. When used together in a tip pinch, females may rely more on the thumb for its force-control flexibility, whereas males may emphasize the index finger for its force-control stability.
These findings align with the hypothesis that higher force levels lead to a greater contribution from a specific finger (the thumb for females and the index finger for males) to the overall pinch force sense. This study primarily investigated the accuracy of pinch force approximation at different force levels, emphasizing the distinct roles of the thumb and index finger. We observed that, as force levels increased, males showed greater reliance on the index finger, while females depended more on the thumb.
Notably, our results revealed that synchronizing pinch force at higher force levels was particularly challenging. Participants often struggled to maintain force levels above 50% MVIC during the pinch force tests. Previous research on submaximal force exertion by the fingers has indicated that poor digit synchronization may contribute to increased error rates51. Likewise, studies on isometric force generation by the fingers have shown that even healthy individuals tend to exert only 39% of their MVIC when performing tasks described as “very hard”52. The difficulty of achieving synchronization at higher force levels may lead to greater inaccuracy and variability53. Furthermore, larger motor orders at higher force levels are associated with increased motor noise, which can exacerbate error rates54. This heightened motor noise likely results in greater output variability, which interferes with sensory feedback processing and contributes to sensory variability.
Research on grasping tasks supports the idea that the neural system employs simplifying mechanisms as pinch force increases, tailoring motor output to the specific task requirements55,56. The CNS has the ability to segregate and transmit descending motor commands to individual fingers57,58. Force sense may influence the preference for using fingers with greater flexibility (e.g., the thumb) or greater stability (e.g., the index finger) in multifinger activities. As pinch force increases, there may be a sex-specific tendency for females to rely more on the thumb and males to rely more on the index finger for precise control of pinching forces.
Force sense of different sexes
Our findings reveal a complex interplay of factors contributing to the observed trend of females exhibiting superior pinch force reproduction accuracy at higher absolute force levels, a trend that diminishes or disappears when results are normalized for individual strength (MVIC). It is not a simple dichotomy of women possessing inherently “better” force sensing capabilities. Instead, the conditions under which force is sensed, and the specific mechanisms relied upon, appear to differ significantly between the sexes. We propose that the core of this difference lies in the differential activation and sensitivity of proprioceptive receptors, most notably Golgi Tendon Organs (GTOs) and tactile cutaneous receptors.
GTOs, located within the musculotendinous junction, are exquisitely sensitive to changes in muscle tension, functioning as biological force transducers59,60,61,62. Critically, their sensitivity is not uniform; it is a non-linear function of force level63. GTOs exhibit increasing responsiveness, and provide the central nervous system with a more precise neural signal, as the exerted force approaches a larger percentage of an individual’s maximum capacity. This is where the fundamental difference in MVIC between men and women becomes paramount. Because men, on average, possess greater absolute strength and, consequently, a higher MVIC, a given absolute force (e.g., 20 Newtons) will represent a smaller fraction of their maximum voluntary contraction. Conversely, a woman, with a typically lower MVIC, will be operating at a higher percentage of her maximum for that same 20N force. This higher relative intensity in women directly translates into greater GTO activation. The resulting increase in GTO firing rate provides a more refined and accurate representation of the applied force, potentially explaining the improved performance we observed in women at these higher absolute force levels. The key is not superior inherent sensitivity, but rather operation within a range where the primary sensory mechanism, the GTO, is functioning at its peak effectiveness.
We further propose a potentially significant, and nuanced, contributing factor: a sex-based difference in the relative contribution of individual fingers during pinch force tasks. Our hypothesis is that women may preferentially recruit the thumb to a greater extent during pinching, while men may rely more heavily on the index finger. This is not a trivial distinction; it has profound implications for the entire sensory feedback loop. If the thumb and index finger differ in their distributions or densities of GTOs, or if their afferent pathways to the brain exhibit different processing characteristics, then a shift in the relative contribution of each finger would fundamentally alter the overall sensory input. Our data indicate that estimations were most accurate when thumb force was higher, and index finger force was lower. This suggests, though further research is needed for definitive confirmation, that the neural pathways associated with thumb proprioception might be optimized for force reproduction accuracy, at least under the conditions of our study. This difference in digital strategy could stem from a combination of factors. Anatomical variations in hand size, muscle fiber type distribution, and tendon insertion points could lead to biomechanically distinct approaches to generating pinch force. Moreover, learned motor patterns, developed and refined through years of differing hand usage in daily life and potentially occupational tasks, could reinforce these differences.
The role of tactile information must also be considered. While our primary focus here is on GTOs, the contribution of cutaneous receptors is undeniable. While perhaps less critical at the higher force levels emphasized in this analysis, these receptors provide essential information about contact, pressure, and texture. Although prior studies have not demonstrated significant differences in basic tactile sensitivity between men and women’s hand pads, this does not preclude more subtle differences in how tactile information is integrated with proprioceptive input from muscles and tendons. We posit that the central nervous system may weight or interpret tactile cues differently in men and women, potentially in conjunction with the hypothesized differences in finger usage. For instance, if women do indeed rely more on the thumb, and the thumb possesses a different distribution of cutaneous mechanoreceptors compared to the index finger, this could contribute to differences in overall force sense, even if the raw sensitivity of individual receptors is comparable.
In conclusion, the sex differences we observed in force sense are unlikely to be attributable to a single, isolated cause. Rather, they appear to arise from a complex interaction of strength differences (MVIC), the non-linear sensitivity of GTOs, potential variations in the relative contribution of individual fingers, and the intricate way in which the central nervous system integrates proprioceptive and tactile information. The “strain gauge” analogy remains relevant: the same absolute force applied to a stronger muscle (higher MVIC) will result in a smaller relative deformation and a comparatively weaker GTO signal, even if the “strain gauge” itself is equally sensitive in both cases. Further research, ideally incorporating direct measurement of neural activity and detailed biomechanical analysis of finger contributions, is crucial to fully elucidate these interacting factors and their relative contributions to sex-based differences in force sense.
Practical implications for tool and device design
The findings of this study concerning the differential contributions of the thumb and index finger to pinch force sense provide valuable guidance for the design of tools and devices that require precise pinch force application. Specifically, the observation that females rely more on the thumb for force-control flexibility, while males rely more on the index finger for force-control stability, highlights the importance of considering sex-based differences in motor strategies when designing ergonomic tools.
For tools that require precise and sustained pinch forces, such as surgical instruments, dental tools, or assembly line equipment, the design should account for the dominant role of the thumb in females and the index finger in males. For example, tools could be designed with adjustable pinch spans or customizable grip configurations that optimize the biomechanical advantages of the thumb for females and the index finger for males. This could improve comfort, reduce fatigue, and enhance precision during prolonged use.
Moreover, the study’s finding that higher force levels lead to greater reliance on the dominant digit (thumb for females and index finger for males) suggests that tools requiring high pinch forces should provide adequate support and mechanical assistance to the dominant digit. For instance, thumb support pads or index finger stabilizers could be integrated into the design of these tools to aid in the distribution of force and minimize strain.
Additionally, the observed accuracy differences at varying force levels (e.g., females performing better at higher force levels) could inform force feedback or haptic systems in digital interfaces or robotic devices. For example, haptic systems could be tailored to provide force feedback that aligns with the sensory preferences and capabilities of each sex, thereby improving control and reducing errors in tasks requiring fine motor precision.
Finally, the lack of significant differences in normalized absolute error (NAE) between sexes suggests that tools designed for general use should prioritize adaptability rather than assuming one-size-fits-all solutions. Incorporating adjustable features, such as customizable pinch spans or grip angles, could accommodate a broader range of users, enhancing usability across diverse populations.
These practical implications underscore the importance of applying the findings of this study to real-world settings, particularly in industries where precise pinch force control is critical. By integrating sex-specific motor strategies and force preferences into design considerations, tools and devices can be optimized to improve performance, comfort, and safety for all users.
Limitations
Our study has some limitations. Only healthy young participants with a mean age of 20.3 years were enrolled. Therefore, the conclusions may be valid only for populations with similar age and health status. Future studies are warranted to examine these relationships across a broader age range and among individuals with different functional conditions.
Additionally, although the overall sample size was modest (n = 42), a post-hoc power analysis based on the observed correlation coefficients demonstrated that the statistical power exceeded 0.99 in all cases. This suggests that the sample size was adequate to detect the reported effects with high reliability.
Although minor differences in finger posture were unavoidable across tasks due to anatomical and functional constraints, these were considered unlikely to affect the main outcomes, given the strict standardization of overall posture and control of task variables.
Conclusion
This study found no significant differences in absolute or variable force sense errors between the pinch, thumb, and index finger. Females relied more on the thumb for force-control flexibility, while males relied more on the index finger for force-control stability. At higher force levels, the primary contributing digit shifted to the thumb in females and the index finger in males. These findings provide insights into sex-based differences in pinch force sensing and have practical implications for tool design and motor control research.
Data availability
The datasets used and/or analyzed during the current study are available from the corresponding author on reasonable request.
References
Lv, Y., Wei, N. & Li, K. Directed connectivity in large-scale brain networks for precision grip force control. In Annual International Conference of the IEEE Engineering in Medicine and Biology Society 2985–2989. https://doi.org/10.1109/EMBC.2019.8856735 (2019).
Schneider, T. R., Buckingham, G. & Hermsdorfer, J. Torque-planning errors affect the perception of object properties and sensorimotor memories during object manipulation in uncertain grasp situations. J. Neurophysiol. 121, 1289–1299. https://doi.org/10.1152/jn.00710.2018 (2019).
Riemann, B. L. & Lephart, S. M. The sensorimotor system, part I: The physiologic basis of functional joint stability. J. Athl Train. 37, 71–79 (2002).
Proske, U. & Allen, T. The neural basis of the senses of effort, force and heaviness. Exp. Brain Res. 237, 589–599. https://doi.org/10.1007/s00221-018-5460-7 (2019).
Dance, A. Feel the force. Nature 577, 158–160. https://doi.org/10.1038/d41586-019-03955-w (2020).
Visser, B. et al. The effects of precision demands during a low intensity pinching task on muscle activation and load sharing of the fingers. J. Electromyogr. Kinesiol. 13, 149–157 (2003).
Dong, H. et al. The effects of periodontal instrument handle design on hand muscle load and pinch force. J. Am. Dent. Assoc. 137, 1123–1130. https://doi.org/10.14219/jada.archive.2006.0352 (2006).
Li, K., Nataraj, R., Marquardt, T. L. & Li, Z. M. Directional coordination of thumb and finger forces during precision pinch. PLoS ONE 8, e79400. https://doi.org/10.1371/journal.pone.0079400 (2013).
Kording, K. P. & Wolpert, D. M. Bayesian decision theory in sensorimotor control. Trends Cogn. Sci. 10, 319–326. https://doi.org/10.1016/j.tics.2006.05.003 (2006).
Wolpert, D. M. Probabilistic models in human sensorimotor control. Hum. Mov. Sci. 26, 511–524. https://doi.org/10.1016/j.humov.2007.05.005 (2007).
Franklin, D. W. & Wolpert, D. M. Computational mechanisms of sensorimotor control. Neuron 72, 425–442. https://doi.org/10.1016/j.neuron.2011.10.006 (2011).
Hasegawa, Y., Ariyama, T. & Kamibayashi, K. Pinching force accuracy affected by thumb sensation in human force augmentation. In 2012 IEEE/RSJ International Conference on Intelligent Robots And Systems (IROS) 3943–3948 (2012).
Maier, M. A. & Hepp-Reymond, M. C. EMG activation patterns during force production in precision grip. I. Contribution of 15 finger muscles to isometric force. Exp. Brain Res. 103, 108–122 (1995).
Li, K., Evans, P. J., Seitz, W. H. Jr. & Li, Z. M. Carpal tunnel syndrome impairs sustained precision pinch performance. Clin. Neurophysiol. 126, 194–201. https://doi.org/10.1016/j.clinph.2014.05.004 (2015).
Li, L., Li, Y., Wang, H., Chen, W. & Liu, X. Effect of force level and gender on pinch force perception in healthy adults. i-Perception 11, 1–14. https://doi.org/10.1177/2041669520927043 (2020).
Kumar, S. & Simmonds, M. The accuracy of magnitude production of submaximal precision and power grips and gross motor efforts. Ergonomics 37, 1345–1353. https://doi.org/10.1080/00140139408964913 (1994).
Walsh, L. D., Taylor, J. L. & Gandevia, S. C. Overestimation of force during matching of externally generated forces. J. Physiol. 589, 547–557. https://doi.org/10.1113/jphysiol.2010.198689 (2011).
Jones, L. A. & Hunter, I. W. Force sensation in isometric contractions: A relative force effect. Brain Res. 244, 186–189. https://doi.org/10.1016/0006-8993(82)90919-2 (1982).
West, S. J., Smith, L., Lambert, E. V., Noakes, T. D. & St Clair Gibson, A. Submaximal force production during perceptually guided isometric exercise. Eur. J. Appl. Physiol. 95, 537–542. https://doi.org/10.1007/s00421-005-0004-9 (2005).
Jackson, A. W. & Dishman, R. K. Perceived submaximal force production in young adult males and females. Med. Sci. Sports Exerc. 32, 448–451. https://doi.org/10.1097/00005768-200002000-00028 (2000).
Kong, Y. K., Lee, K. S., Kim, D. M. & Jung, M. C. Individual finger contribution in submaximal voluntary contraction of gripping. Ergonomics 54, 1072–1080. https://doi.org/10.1080/00140139.2011.620176 (2011).
Zoeller, A. C. & Drewing, K. A Systematic comparison of perceptual performance in softness discrimination with different fingers. Atten. Percept. Psychophys. 82, 3696–3709. https://doi.org/10.3758/s13414-020-02100-4 (2020).
Bao, S. & Silverstein, B. Estimation of hand force in ergonomic job evaluations. Ergonomics 48, 288–301. https://doi.org/10.1080/0014013042000327724 (2005).
Herring-Marler, T. L., Spirduso, W. W., Eakin, R. T. & Abraham, L. D. Maximum voluntary isometric pinch contraction and force-matching from the fourth to the eighth decades of life. Int. J. Rehabil. Res. 37, 159–166. https://doi.org/10.1097/MRR.0b013e32836061ee (2014).
Shinohara, M., Li, S., Kang, N., Zatsiorsky, V. M. & Latash, M. L. Effects of age and gender on finger coordination in MVC and submaximal force-matching tasks. J. Appl. Physiol 1985(94), 259–270. https://doi.org/10.1152/japplphysiol.00643.2002 (2003).
Li, Y.-X. et al. Exploring sex differences and force level effects on grip force perception in healthy adults. Mot. Control https://doi.org/10.1123/mc.2021-0082 (2022).
Song, Y. H., Lee, S. Y. & Kwon, O. Y. Effect of fatigue on force-matching in the quadriceps muscle. J. Korean Soc. Phys. Ther. 13, 10–15 (2006).
Hallbeck, M. S., Kamal, A. H. & Harmon, P. E. The effects of forearm posture, wrist posture, gender, and hand on three peak pinch force types. In Human Factors & Ergonomics Society Annual Meeting Proceedings Vol. 36, 801–805 (1992).
Hicks, A. L. & McCartney, N. Gender differences in isometric contractile properties and fatigability in elderly human muscle. Can. J. Appl. Physiol. 21, 441–454 (1996).
Miller, A. E., MacDougall, J. D., Tarnopolsky, M. A. & Sale, D. G. Gender differences in strength and muscle fiber characteristics. Eur. J. Appl. Physiol. Occup. Physiol. 66, 254–262 (1993).
Simoneau, J. A. & Bouchard, C. Human variation in skeletal muscle fiber-type proportion and enzyme activities. Am. J. Physiol. 257, 567–572. https://doi.org/10.1152/ajpendo.1989.257.4.E567 (1989).
Lubiatowski, P. et al. Measurement of active shoulder proprioception: Dedicated system and device. Eur. J. Orthop. Surg. Traumatol. 23, 177–183. https://doi.org/10.1007/s00590-012-0950-y (2013).
Nozoe, Y., Sekiyama, K. & Teramoto, W. Auditory modulation of somatosensory spatial judgments in various body regions and locations. i-Perception 2, 801–801 (2011).
Moerchen, V. A. & Gruben, K. G. Afferent contributions to digit force coupling and force level variation during performance of non-lift pinch. Neurocase 12, 300–306. https://doi.org/10.1080/13554790601126039 (2006).
Marini, F. et al. Robot-aided developmental assessment of wrist proprioception in children. J. Neuroeng. Rehabil. 14, 3. https://doi.org/10.1186/s12984-016-0215-9 (2017).
Trousset, K., Phillips, D. & Karduna, A. An investigation into force sense at the shoulder. Mot. Control 22, 462–471. https://doi.org/10.1123/mc.2017-0067 (2018).
Aarseth, L. M., Suprak, D. N., Chalmers, G. R., Lyon, L. & Dahlquist, D. T. Kinesio tape and shoulder-joint position sense. J. Athl. Train. 50, 785–791. https://doi.org/10.4085/1062-6050-50.7.03 (2015).
Zanca, G. G., Mattiello, S. M. & Karduna, A. R. Kinesio taping of the deltoid does not reduce fatigue induced deficits in shoulder joint position sense. Clin. Biomech. 30, 903–907. https://doi.org/10.1016/j.clinbiomech.2015.07.011 (2015).
Phillips, D. & Karduna, A. No relationship between joint position sense and force sense at the shoulder. J. Mot. Behav. 50, 1–7. https://doi.org/10.1080/00222895.2017.1327415 (2017).
Cutts, A., Alexander, R. M. & Ker, R. F. Ratios of cross-sectional areas of muscles and their tendons in a healthy human forearm. J. Anat. 176, 133–137 (1991).
Rack, P. M. & Ross, H. F. The tendon of flexor pollicis longus: its effects on the muscular control of force and position at the human thumb. J. Physiol. 351, 99–110. https://doi.org/10.1113/jphysiol.1984.sp015235 (1984).
Kilbreath, S. L. & Gandevia, S. C. Neural and biomechanical specializations of human thumb muscles revealed by matching weights and grasping objects. J. Physiol. 472, 537–556 (1993).
Gandevia, S. C. & Kilbreath, S. L. Accuracy of weight estimation for weights lifted by proximal and distal muscles of the human upper limb. J. Physiol. 423, 299–310. https://doi.org/10.1113/jphysiol.1990.sp018023 (1990).
Jones, L. A. Perceptual constancy and the perceived magnitude of muscle forces. Exp. Brain Res. 151, 197–203. https://doi.org/10.1007/s00221-003-1434-4 (2003).
Yu, W. S., Kilbreath, S. L., Fitzpatrick, R. C. & Gandevia, S. C. Thumb and finger forces produced by motor units in the long flexor of the human thumb. J. Physiol. 583, 1145–1154. https://doi.org/10.1113/jphysiol.2007.135640 (2007).
Napier, J. The evolution of the hand. Sci. Am. 207, 56–62. https://doi.org/10.1038/scientificamerican1262-56 (1962).
Lindsay, T. R., Noakes, T. D. & McGregor, S. J. Effect of treadmill versus overground running on the structure of variability of stride timing. Percept. Mot. Skills 118, 331–346. https://doi.org/10.2466/30.26.PMS.118k18w8 (2014).
Newell, K. M., Broderick, M. P., Deutsch, K. M. & Slifkin, A. B. Task goals and change in dynamical degrees of freedom with motor learning. J. Exp. Psychol. Hum. Percept. Perform. 29, 379–387. https://doi.org/10.1037/0096-1523.29.2.379 (2003).
Li, K. et al. Coordination of digit force variability during dominant and non-dominant sustained precision pinch. Exp. Brain Res. 233, 2053–2060. https://doi.org/10.1007/s00221-015-4276-y (2015).
Milner, T. E. & Dhaliwal, S. S. Activation of intrinsic and extrinsic finger muscles in relation to the fingertip force vector. Exp. Brain Res. 146, 197–204. https://doi.org/10.1007/s00221-002-1177-7 (2002).
Sharp, W. E. & Newell, K. M. Coordination of grip configurations as a function of force output. J. Mot. Behav. 32, 73–82. https://doi.org/10.1080/00222890009601361 (2000).
Hampton, S., Armstrong, G., Ayyar, M. S. & Li, S. Quantification of perceived exertion during isometric force production with the Borg scale in healthy individuals and patients with chronic stroke. Top. Stroke Rehabil. 21, 33–39. https://doi.org/10.1310/tsr2101-33 (2014).
Rubley, M. D., Denegar, C. R., Buckley, W. E. & Newell, K. M. Cryotherapy, sensation, and isometric-force variability. J. Athl. Train. 38, 113–119. https://doi.org/10.1080/10413200390213803 (2003).
Harris, C. M. & Wolpert, D. M. Signal-dependent noise determines motor planning. Nature 394, 780–784. https://doi.org/10.1038/29528 (1998).
Latash, M. L., Li, Z. M. & Zatsiorsky, V. M. A principle of error compensation studied within a task of force production by a redundant set of fingers. Exp. Brain Res. 122, 131–138. https://doi.org/10.1007/s002210050500 (1998).
Valero-Cuevas, F. J. Predictive modulation of muscle coordination pattern magnitude scales fingertip force magnitude over the voluntary range. J. Neurophysiol. 83, 1469–1479. https://doi.org/10.1152/jn.2000.83.3.1469 (2000).
Li, S. Perception of individual finger forces during multi-finger force production tasks. Neurosci. Lett. 409, 239–243. https://doi.org/10.1016/j.neulet.2006.09.057 (2006).
Edin, B. B., Westling, G. & Johansson, R. S. Independent control of human finger-tip forces at individual digits during precision lifting. J. Physiol. 450, 547 (1992).
Proske, U. & Gandevia, S. C. The proprioceptive senses: their roles in signaling body shape, body position and movement, and muscle force. Physiol. Rev. 92, 1651–1697. https://doi.org/10.1152/physrev.00048.2011 (2012).
Crago, P. E., Houk, J. C. & Rymer, W. Z. Sampling of total muscle force by tendon organs. J Neurophysiol. 47, 1069–1083. https://doi.org/10.1152/jn.1982.47.6.1069 (1982).
Jami, L. Golgi tendon organs in mammalian skeletal muscle: functional properties and central actions. Physiol. Rev. 72, 623–666. https://doi.org/10.1152/physrev.1992.72.3.623 (1992).
McCloskey, D. I. Kinesthetic sensibility. Physiol. Rev. 58, 763–820. https://doi.org/10.1152/physrev.1978.58.4.763 (1978).
Herter, T. M. et al. Interjoint coupling of position sense reflects sensory contributions of biarticular muscles. J. Neurophysiol. 125, 1223–1235. https://doi.org/10.1152/jn.00317.2019 (2021).
Acknowledgements
We sincerely appreciate the help of the participants from Langfang Normal University.
Author information
Authors and Affiliations
Contributions
Y.L.: conceptualization, data curation, software, writing – original draft, writing – review & editing. N. L.: conceptualization, methodology, funding acquisition, supervision, writing – review & editing. Y.Z.: data curation, writing – original draft. Z.W.: data curation, software. C.X.: data curation. X.H.: data curation. All authors reviewed the manuscript.
Corresponding author
Ethics declarations
Competing interests
The authors declare no competing interests.
Additional information
Publisher’s note
Springer Nature remains neutral with regard to jurisdictional claims in published maps and institutional affiliations.
Rights and permissions
Open Access This article is licensed under a Creative Commons Attribution-NonCommercial-NoDerivatives 4.0 International License, which permits any non-commercial use, sharing, distribution and reproduction in any medium or format, as long as you give appropriate credit to the original author(s) and the source, provide a link to the Creative Commons licence, and indicate if you modified the licensed material. You do not have permission under this licence to share adapted material derived from this article or parts of it. The images or other third party material in this article are included in the article’s Creative Commons licence, unless indicated otherwise in a credit line to the material. If material is not included in the article’s Creative Commons licence and your intended use is not permitted by statutory regulation or exceeds the permitted use, you will need to obtain permission directly from the copyright holder. To view a copy of this licence, visit http://creativecommons.org/licenses/by-nc-nd/4.0/.
About this article
Cite this article
Li, YX., Lv, N., Zhao, Y. et al. Contributions of the thumb and index finger to tip pinch force sense. Sci Rep 15, 23687 (2025). https://doi.org/10.1038/s41598-025-08644-5
Received:
Accepted:
Published:
Version of record:
DOI: https://doi.org/10.1038/s41598-025-08644-5











