Abstract
Soil acidification is an increasingly serious issue in southern China. A decrease in soil pH tends to interfere with the immobilization of heavy metals by amendments. Here, we investigated the effect of soil acidification on the remediation of Cd/As co-contaminated soil by biochar-ferromanganese material (BFM) and sought effective measures to alleviate these adverse effects by applying different calcium fertilizers. The results showed that BFM effectively promotes the transformation of Cd and As in soil to a stable state, reducing the available Cd and As content by 42.7%-64.3% and 8.1%-13.6%, respectively. However, soil acidification negatively impacted the ability of BFM to immobilize Cd and As, especially Cd. Specifically, the proportion of unstable Cd in soil treated with different levels of BFM increased by 16.1%-49.1% under acidifying conditions. Importantly, when compared to BFM alone, the combined application of BFM and calcium fertilizer promoted the transformation of Cd and As to more stable forms in the soil under acidifying conditions, particularly for Cd, with its percentage in the residual state increasing from 63.0%-64.6% to 75.1%-87.0%. Therefore, the use of BFM in conjunction with calcium fertilizer may represent a viable strategy for managing Cd/As co-contaminated soils, with optimal results achieved using 1% BFM alongside 50 kg/acre calcium magnesium phosphate fertilizer.
Similar content being viewed by others
Introduction
With the rapid development of society, the issue of soil heavy metal pollution has become increasingly severe. According to the National Soil Pollution Survey Bulletin published by the Ministry of Ecology and Environment in 2014, the exceedance rate of soil pollution in China’s arable land was 19.4% (Data from the Ministry of Environmental Protection P.R.C. and Ministry of Land and Resources P.R.C., 2014). Among the pollutants, cadmium (Cd) and arsenic (As) were particularly significant, with exceedance rates of 7.0% and 2.7%, respectively. Given that heavy metal contamination of arable soil is closely related to sustainable agricultural development and human health, pollution remediation has become a current research hotspot in the environmental field Cd and As are two highly toxic elements, recognized by the United Nations as Class I carcinogens, posing a major threat to human health1. Typically, they exhibit distinctly different forms of presence in soil2,3 with Cd predominantly existing in the cationic form of Cd2+, and As in the anionic forms of arsenate (AsO43−) and arsenite (AsO33−). The bioavailability of Cd and As in soil is usually regulated by various environmental factors such as soil pH, redox potential (Eh), mineral and dissolved organic carbon (DOC) content3,4,5. Generally, as pH increases or Eh decreases, the bioavailability of Cd in soil decreases, while that of As increases4,6. The contrasting behaviors exhibited by Cd and As in response to changes in soil conditions pose a significant challenge for the remediation of soils co-contaminated with Cd and As.
Biochar, a carbon-rich material characterized by high specific surface area, porosity, and abundant oxygen-containing functional groups, has been widely used in the remediation of heavy metal pollution in soil7,8. Its effectiveness in immobilizing Cd in soil has also been well-documented9,10. However, it is important to note that, unlike other cationic heavy metals, As in soils is not effectively immobilized by pristine biochar11,12. The competition between negatively charged biochar and anionic arsenic for adsorption sites on soil minerals significantly contributes to the increased solubility and mobility of As in the soil13,14. Additionally, elevated soil pH and DOC levels resulting from biochar application may also increase the mobility of As in the soil14. This underscores the necessity of considering the risk of As migration when utilizing biochar for the remediation of complex contaminated soils containing As. To address this challenge, it is crucial to develop new materials with multifunctional capabilities through modification and material compositing. Due to their amphiphilic nature, Fe-Mn oxides can effectively remove Cd by specific adsorption and co-precipitation, as well as As via regulatory mechanisms such as redox and complexation reactions. These properties position Fe-Mn oxides as potential materials for the simultaneous removal of Cd and As15,16. Meanwhile, loading Fe-Mn oxides onto structurally stable biochar can also improve the shortcomings of Fe-Mn oxides, which are easy to agglomerate and have low mechanical strength. Therefore, utilizing biochar as the main raw material and modifying it with Fe-Mn oxides can synergistically combine the advantages of both materials, resulting in composites with stable properties and enhanced Cd-As co-adsorption/immobilization performance16,17.
Biochar undergoes aging and alterations in their physicochemical properties and functions due to various biotic and abiotic factors their application for soil remediation in agricultural fields7,18,19. Soil acidification is particularly pronounced in southern China. Zhejiang Province, situated in the subtropical monsoon climate zone, experiences annual rainfall that exceeds evaporation rates. This rainfall leads to the leaching of alkali compounds, primarily calcium and magnesium, from the soil, resulting in an increase in exchangeable hydrogen and aluminum content, which collectively render the soil more acidic. Additionally, acid deposition stemming from human activities, inappropriate fertilization practices, and the high-intensity use of arable land further exacerbates soil acidification. Statistical analysis of 2,457 soil samples collected from Zhejiang Province reveals an average soil pH of 5.2, with 61.2% of the samples exhibiting a pH below 5.5; notably, the sample with the lowest recorded pH was 3.5920.
The issue of soil acidification inevitably affects the long-term stability of biochar used in the remediation of Cd and As co-polluted soils7,21. However, there are relatively few relevant studies, indicating a need for further research. It is particularly important to explore viable strategies for maintaining material effectiveness under soil acidification conditions. Calcium fertilizers, including CaO, CaSO4, and various calcium complex fertilizers such as calcium magnesium phosphate fertilizers (CMP) and calcium superphosphate, are commonly used as soil conditioners to address soil issues. The application of these fertilizer not only effectively mitigates soil acidification and enhances soil productivity, but also contributes positively to reducing the bioavailability of heavy metals in the soil22,23,24. Therefore, we hypothesized that applying calcium fertilizer alongside remediation materials would effectively counteract the diminished functionality of materials resulting from soil acidification.
Therefore, this study aims to investigate the effect of soil acidification on the immobilization of Cd and As in soil by biochar-ferromanganese materials (BFM) and the underlying mechanisms through incubation experiments with simulated acidified soil. Additionally, it explores the feasibility of employing calcium fertilizers to mitigate the adverse effects of soil acidification on the effectiveness of BFM immobilization by incorporating various types of calcium fertilizers, including CaO and CMP.
Materials and methods
Preparation of Biochar and Biochar-ferromanganese material (BFM)
Hickory (Carya cathayensis) shell waste was selected as the raw material, sourced from local growers in Lin’an, China. Following a three-day drying period in an oven set at 50 °C, the shell waste was then pulverized. This was followed by oxygen-limited pyrolysis in a muffle furnace (JZ2-4–10, Kyushu Space, China) at 500 °C for 2 h. After natural cooling, hickory nut bushel biochar (BC) was obtained and sieved through a 100-mesh for further use. The synthesis of ferromanganese oxides was conducted according to the method described by Xu et al. (2019)25. A consisting of 30 mL of FeSO4·7H2O solution (0.186 g/mL) and MnSO4 solution (0.01 g/mL) combined with 10 mL of starch solution (0.0412 g/mL) and stirred thoroughly. Subsequently, 25 mL of KMnO4 solution (0.0504 g/mL) was added dropwise, while the pH of the resulting mixture was adjusted to 2 using NaOH (4 M). The mixed solution was stirred homogeneously for 1 h, and after standing for 24 h to allow for precipitation, it was filtered and washed three times with deionized water to obtain solid ferromanganese oxides. Finally, the product was dried at 80 °C for 24 h in preparation for subsequent BFM. The prepared biochar and ferromanganese oxides were mixed in a ratio of 7: 3 (w: w) and uniformly oscillated at 25 °C and 250 rpm for 1 h to obtain the BFM.
Soil incubation experiments
The experimental soil was collected from a rice field located near a mining area in Shaoxing, China, and was contaminated with a combination of Cd and As. The collected soil was naturally dried, and after the removal of stones, plant and animal residues, it was sieved through a 10-mesh sieve for further use. The basic physical and chemical properties of the tested soils are presented in Table 1.
Incubation experiments 1:
A specified amount of soil, along with corresponding 0%, 0.5% and 1% BFM, was weighed into a polyethylene box (15 × 15 × 9.8 cm) with a lid and mixed thoroughly to obtain 1 kg soil incubation system. Throughout the incubation period, 40% of the field water holding capacity was maintained by supplementing water using a weighing method every three days. Half of each treatment group received deionized water, while the other half was supplemented with a diluted acid solution (H2SO4: HNO3 = 3: 1 v/v) adjusted to a pH of 4.5 (reflecting the average acid rain pH in Hangzhou, Zhejiang). The incubation experiments comprised six treatments, each with three replications, as follows: W + 0BFM (deionized water), W + 0.5BFM (deionized water + 0.5% BFM), W + 1BFM (deionized water + 1% BFM), A + 0BFM (acid solution), A + 0.5BFM (acid solution + 0.5% BFM) and A + 1BFM (acid solution + 1% BFM). After 0, 5, 10, 20, 30, 40, 50 and 60 days of incubation, 50 g of soil samples were collected, air-dried and passed through 10 and 100 mesh sieves for analysis.
Incubation experiments 2:
Two alkaline fertilizers, quicklime (CaO ≥ 99.6%) and CMP (P2O5 ≥ 12%) were used in this experiment to investigate the effects of calcium fertilizer application on the immobilization of BFM to Cd and As in soil under acidifying conditions. The soil incubation experiment was conducted using 1 kg soil system. A specific amount of soil, along with BFM at concentrations of 0%, 0.5%, and 1%, was combined with CaO at rates of 25 and 50 kg/acre, as well as CMP at the same rates were weighed and mixed thoroughly in a polyethylene box (15 × 15 × 9.8 cm). A diluted acid solution of pH 4.5 was added by weighing every three days during the incubation period to maintain the field water holding capacity at 40%. The experiment consisted of 15 treatments, each replicated three times, as follows: Ck, 0.5BFM, 1BFM, 25Ca, 50Ca, 25CMP, 50CMP, 25Ca + 0.5BFM, 50Ca + 0.5BFM, 25CMP + 0.5BFM 50CMP + 0.5BFM, 25Ca + 1BFM, 50Ca + 1BFM, 25CMP + 1BFM, 50CMP + 1BFM. After 0, 5, 10, 20, 30, 40, 50 and 60 days of incubation, 50 g of soil samples were collected, air-dried and passed through 10 and 100 mesh sieves for determination.
Analysis methods
Soil pH was measured using a pH meter after shaking the soil at a soil-to-water ratio of 1:2.5 for 1 h. The available Cd and As contents in the soil were extracted using 0.01 M CaCl2 (1:15 soil-to-water ratio, 2 h of leaching) and 0.05 M NH4H2PO4 (1: 15 soil-to-water ratio, 16 h of leaching), respectively, and were subsequently determined using a graphite furnace atomic absorption spectrophotometer (AA-7000, Shimadzu, Japan) and a dual-channel atomic fluorescence photometer (AFS-2202E, Beijing Haiguang Instruments, China). Soil heavy metal forms were extracted using the BCR continuous extraction method26 through the following steps: (1) Soluble state: 1 g soil sample was weighed into a 100 mL centrifuge tube, to which 40 mL of acetic acid solution (0.11 M) was added. The mixture was then oscillated for 16 h, after which the supernatant was centrifuged and filtered, and the residue was washed twice with deionized water; (2) Reducible state: To the remaining residue from step 1, 40 mL of NH2OH·HCl solution (0.5 M, pH = 2) was added. The mixture was shaken for 16 h, followed by centrifugation and filtration, with the remaining soil residue washed twice with deionized water; (3) Oxidizable state: 10 mL of 30% H2O2 was slowly added to the remaining residue from step 2, which was allowed to stand for 1 h at room temperature. The centrifuge tube was then transferred to a water bath (85℃) and heated for 1 h until the volume of H2O2 in the tube was reduced to less than 3 mL; this process was repeated. The cooled residue was extracted with 50 mL of ammonium acetate for 16 h. The supernatant was filtered after centrifugation, and the remaining soil residue was washed twice with deionized water; (4) Residue state: The residue remaining from step 3 was transferred to a PTFE tube, where 4 mL of HNO4 and 2 mL of HF were added. The tube was sealed and subjected to microwave ablation for 1 h. The Cd and As contents of each form were also determined by a graphite furnace atomic absorption spectrophotometer and a dual-channel atomic fluorescence photometer.
Statistical analysis
The data were statistically analyzed and plotted using IBM SPSS Statistics 27 software and Origin 2023, respectively. The results are expressed as mean ± SE (standard error). A two-way ANOVA was employed to evaluate the influence of treatment and incubation period on the soil pH and the content of Cd and As. Differences between the various treatments within the same group or between the treatment and control groups were assessed by one-way ANOVA with Tukey’s post hoc test (p < 0.05).
Results
Effects of simulated acidification and BFM addition on soil pH change
As shown in Fig. 1, the soil pH across all treatments exhibited a significant trend of initially increasing and subsequently decreasing during the incubation period (p = 0.000). Regardless of whether under acidified or non-acidified conditions, the addition of BFM significantly elevated soil pH (p < 0.05; Fig. 1 and Table S1), and demonstrated a dose-dependent effect (Table S1). Additionally, at the later stages of incubation (50 and 60 days), the addition of BFM still significantly increased soil pH under non-acidifying conditions (p < 0.05; Fig. 1A), with increases of 0.05–0.09 units, respectively. However, no significant liming effect of BFM additions on soil pH was observed under acidifying conditions (all p > 0.05; Fig. 1B). These findings indicate that the acidification treatment diminished the liming effect of BFM.
Dynamic effects of BFM treatment on soil pH under non-acidified (A) and acidified conditions (B). W: pure water treatment, A: acidification treatment; 0, 0.5 and 1 represent BFM doses of 0%, 0.5% and 1% (w/w), respectively. Error bars represent mean ± standard deviation (n = 3); Different letters indicate significant differences between the treatments under same time (p < 0.05), significant differences between treatments throughout the incubation period are shown in Table S1.
Effects of simulated acidification and BFM addition on soil available cd and as content
The available Cd content in the soil exhibited a fluctuating downward trend throughout the incubation period, as depicted in Fig. 2A and B. Overall, the addition of BFM effectively reduced the available Cd content in the soil compared to the absence of BFM, irrespective of whether the soil was acidified or non-acidified (all p < 0.05; Fig. 2A and B, Table S2), with the exception of the addition of 0.5% BFM in non-acidified soil (p = 0.974; Fig. 2A and Table S2). This finding underscores the immobilizing effect of BFM on Cd in the soil, including under acidified conditions. Notably, at the conclusion of the 60-day incubation period, the addition of 0.5% and 1% BFM resulted in a reduction of available Cd in non-acidified soil by 42.67% and 64.31%, respectively, and in acidified soil by 14.82% and 46.71%, respectively (Fig. 2A and B). This implies that the immobilization effect of BFM on Cd in soil weakened with increasing acidification by the end of the incubation period.
Throughout the incubation period, the concentration of available As in the soil, including acidified soil, exhibited a decreasing trend followed by an increase (Fig. 2C and D). Overall, the addition of 0.5% and 1% BFM significantly reduced the available As concentration in the soil, regardless of the acidification treatment, compared to the control group without BFM (all p < 0.05; Fig. 2C and D, Table S3). At the end of the 60-day incubation period, the addition of 0.5% and 1% BFM resulted in reductions of available As concentration in non-acidified and acidified soils by 8.09% and 13.68%, and 9.43% and 14.44%, respectively (Fig. 2C and D). In contrast to the pronounced effect of BFM on soil Cd immobilization, the overall impact of BFM on As availability was minimal, and the adverse effect of acidification on As immobilization by BFM was also less pronounced than its effect on Cd immobilization.
Dynamic effects of BFM treatment on the content of available Cd (A and B) and As (C and D) under non-acidified (A and C) and acidified conditions (B and D). W: pure water treatment, A: acidification treatment; 0, 0.5 and 1 represent BFM doses of 0%, 0.5% and 1% (w/w), respectively. Error bars represent mean ± standard deviation (n=3); Different letters indicate significant differences between the treatments under same time (p < 0.05), significant differences between treatments throughout the incubation period are shown in Table S2 and 3.
Effects of simulated acidification and BFM addition on soil cd and as forms
As illustrated in Fig. 3A, the application of 0.5% and 1% BFM under non-acidifying conditions led to a reduction of 18.46% and 22.14% in the percentage of soluble Cd in the soil, respectively, while also resulting in a 7.6% increase in the percentage of Cd in the residual state (only BFM was added at a rate of 1%). However, the acidification treatment exhibited significant effects on the forms of Cd in soil, including in the BFM treated soil (p < 0.05; Fig. 3A). Specifically, the acidification treatment significantly increased the percentage of soluble and reducible Cd across different treatments by 1.63%–34.80% and 9.5%–68.4%, respectively, while decreasing the percentage of residual Cd in different treatments by 7.77%–21.29%, as compared to the non-acidification treatment. In contrast to the significant effects of acidification and BFM on soil Cd forms, their impact on soil As forms was comparatively minor (Fig. 3B). The addition of BFM promotes the conversion of As in soil to a residual state; however, this effect was significant only at a 1% addition rate, leading to a 2.75% increase in residual As content (p < 0.05; Fig. 3B). Additionally, compared to the non-acidification treatment, the acidification treatment significantly increased the percentage of soluble As by 13.20%–16.71% at different levels of BFM addition (p < 0.05; Fig. 3B). Therefore, these findings indicate that soil acidification negatively impacts the immobilization capacity of BFM for both Cd and As, particularly for Cd.
Effect of BFM and acidification treatments on the fraction of Cd (A) and As (B) in the soil. W: pure water treatment, A: acidification treatment; 0, 0.5, and 1 represent the dose of BFM. Error bars represent mean ± standard deviation (n=3); Different lowercase letters indicate significant differences between the same form in different treatments (p < 0.05).
Effect of BFM and calcium fertilizer application on soil pH change under acidifying conditions
As shown in Fig. 4, all treatments exhibited an initial increase in soil pH, followed by a significant decrease (p = 0.000). The addition of BFM alone and CaO alone significantly elevated the pH of acidified soils (all p < 0.05; Fig. 4A and B, Table S4), with average soil pH increases ranging from 0.02 to 0.06 units and 0.08 to 0.17 units, respectively, throughout the incubation period. The combined addition of BFM and CaO demonstrated a synergistic effect. Specifically, applying BFM in conjunction with CaO resulted in substantial increases in soil pH, reaching 0.07–0.24 units and 0.160.36 units, respectively (all p < 0.05; Fig. 4A and B, Table S4). Conversely, the application of CMP alone at concentrations of 25 and 50 kg/acre further decreased soil pH (all p < 0.05; Fig. 4C and D, Table S5), resulting in average reductions in soil pH of 0.07 and 0.12 units, respectively, over the entire incubation period. Moreover, when CMP was applied in conjunction with BFM, it diminished the liming effect of BFM on the soil (p < 0.05; Table S5). These findings demonstrate that the combined application of BFM and CaO effectively alleviated soil acidification, with the most substantial increase observed from the application of 1% BFM alongside 50 kg/acre of CaO.
Dynamic effects of BFM and calcium fertilizer (A and B: CaO; C and D: CMP) treatment on soil pH under soil acidification conditions. CK: no BFM and calcium fertilizer added, 0.5BFM: added with 0.5% BFM, 1BFM: added with 1%BFM; CaO: added with CaO; CMP: added with calcium-magnesium phosphate fertilizer; 25 and 50 represent adding 25 and 50 kg/acre of calcium fertilizer, respectively.Error bars represent mean ± standard deviation (n=3); Significant differences between treatments throughout the incubation period are shown in Table S4 and 5.
Effect of BFM and calcium fertilizer application on soil available Cd and As content under acidifying conditions
The dynamics of soil available Cd content throughout the incubation period following the application of BFM with calcium fertilizer under acidification conditions are shown in Fig. 5. Overall, the addition of BFM alone or the application of 50 kg/acre of CaO and CMP alone effectively reduced the available Cd content in the soil (all p < 0.05; Fig. 5B and D, Table S6). Among them, the application of BFM and CMP alone resulted in reductions of available Cd content in the soil by 15.89%–43.27% and 38.21%–57.60%, respectively, by the end of the incubation period. More importantly, compared to the addition of BFM alone, the application of CMP (25 and 50 kg/acre) or CaO (50 kg/acre) in combination with 0.5% BFM, demonstrated a superior effect on the immobilization of Cd in acidified soil (all p < 0.05; Fig. 5B-D and Table S6-7). Specifically, at the end of the incubation period, the combination of 25 and 50 kg/acre of CMP or 50 g/acre of CaO with 0.5% BFM reduced the available Cd content in the soil by 48.0%, 53.4%, and 27.5%, respectively.
Dynamic effects of BFM and calcium fertilizer (A and B: CaO; C and D: CMP) treatment on the content of available Cd in soil under acidification conditions. CK: no BFM and calcium fertilizer added, 0.5BFM: added with 0.5% BFM, 1BFM: added with 1%BFM; CaO: added with CaO; CMP: added with calcium-magnesium phosphate fertilizer; 25 and 50 represent adding 25 and 50 kg/acre of calcium fertilizer, respectively.Error bars represent mean ± standard deviation (n=3); Significant differences between treatments throughout the incubation period are shown in Table S6 and 7.
The soil available As content in all treatments exhibited a trend of initially decreasing followed by an increase under acidification conditions (Fig. 6). Compared to Cd, the effects of BFM and calcium fertilizer on As availability were less pronounced; however, they still significantly influenced the available As content in the soil (p = 0.000; Fig. 6). Overall, the addition of BFM and a high-dose (50 kg/acre) of calcium fertilizer effectively reduced the available As content (all p < 0.05; Fig. 6B and D, Tables S8 and 9). Specifically, at the conclusion of the incubation, the application of BFM alone or 50 kg/acre of CaO and CMP alone reduced the available As content by 9.42%–14.49%, 5.13%, and 8.21%, respectively. Notably, compared to the addition of 1% BFM alone, the combined application of 1% BFM with 50 kg/acre of CaO and CMP was more effective in immobilizing As, with the lowest soil available As content was observed with the combined application of 1% BFM and 50 kg/acre CMP (Fig. 6B and D).
These results indicate that the application of calcium fertilizer effectively enhances the immobilization of Cd and As in soil when used in conjunction with BFM. Therefore, the combined application of calcium fertilizer and BFM represents an effective strategy for remediating the co-pollution of Cd and As under acidified conditions.
Dynamic effects of BFM and calcium fertilizer (A and B: CaO; C and D: CMP) treatment on the content of available As in soil under acidification conditions. CK: no BFM and calcium fertilizer added, 0.5BFM: added with 0.5% BFM, 1BFM: added with 1%BFM; CaO: added with CaO; CMP: added with calcium-magnesium phosphate fertilizer; 25 and 50 represent adding 25 and 50 kg/acre of calcium fertilizer, respectively.Error bars represent mean ± standard deviation (n=3). Significant differences between treatments throughout the incubation period are shown in Table S8 and 9.
Effect of BFM and calcium fertilizer application on soil Cd and As forms under acidifying conditions
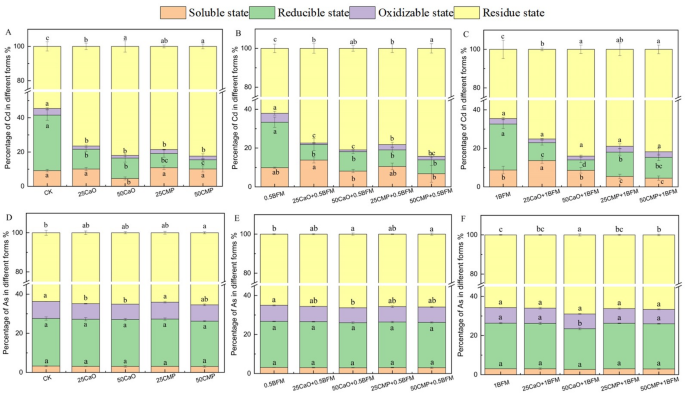
Figure 7A-C illustrates that under acidification treatment, the individual applications of CaO, CMP, and BFM effectively reduced the percentage of unstable Cd by 47.86–60.33%, 53.93%–52.80%, and 19.76%–21.45%, respectively (p < 0.05). Notably, the combined application of calcium fertilizer and BFM significantly enhanced the transformation of Cd from the unstable state to the residual state in the soil when compared to the application of BFM alone (p < 0.05). Specifically, the combination of BFM with CaO and CMP reduced the percentage of unstable Cd in the soil from 33.32% to 14.02%–22.92% and 13.91%–19.05%, respectively, while simultaneously increasing the percentage of residual Cd from 63.03%–64.55% to 75.11%–87.01% and 78.19%–84.28%, respectively (Fig. 7B and C). Unlike their significant effect on Cd fractions, calcium fertilizer addition had only a slight effect on soil As fractions (Fig. 7D-F). Although both the individual and combined applications of calcium fertilizer tended to increase the percentage of residual As in the soil, this increase was statistically significant (p < 0.05) only in the treatment involving 50 kg/acre of CMP and in the treatment combining BFM (0.5% and 1%) with 50 kg/acre of calcium fertilizer (CaO and CMP).
The effects of BFM and fertilizer treatment on soil Cd (A-C) and As (D-F) fractions under acidification conditions. CK: no BFM and calcium fertilizer added, 0.5BFM: added with 0.5% BFM, 1BFM: added with 1%BFM; CaO: added with CaO; CMP: added with calcium-magnesium phosphate fertilizer; 25 and 50 represent adding 25 and 50 kg/acre of calcium fertilizer, respectively.Error bars represent mean ± standard deviation (n=3), different lowercase letters indicate significant differences between the same form in different treatments (p < 0.05).
Discussion
The addition of BFM promotes the transformation of Cd and As from unstable to stable forms in the soil, thus reducing their bioavailability. The significant increase in soil pH following the application of BFM may be a key factor in the immobilization of Cd, which has been confirmed under both non-acidified and acidified conditions. This effect can be attributed to the alkaline nature of biochar7,27which contain a significant number of alkaline materials, such as carbonates and hydro-oxides, produced during the pyrolysis process28. Additionally, BFM possesses a large specific surface area, well-developed pore structure, and various surface functional groups, which enable it to effectively adsorb and immobilize Cd ions. Moreover, the vacancies of manganese and iron oxides in BFM usually lead to double-coordinated unsaturation, which facilitates the formation of O- and the adsorption of protons, resulting in stable -OH groups for charge balance. Mn-O and Fe-O can bond with Cd2+ due to their strong charge interactions, thereby immobilizing Cd2+29,30. These reasons explain the decrease in available Cd and the increase in residual Cd in the soil after BFM addition. For the immobilization of As in soil, the ferromanganese oxides present in BFM plays a key role. These ferromanganese oxides, which possess a positive charge, exhibit a strong affinity for As, predominantly found in the form of arsenate (AsO43−), leading to the formation of Fe-O-As(V) complexes31. Additionally, As can undergo substitution reactions with hydroxyl or hydration groups within the coordination shells of iron-oxides, resulting in the formation of coordination compounds that markedly reduce the bioavailability of As. Furthermore, iron released from BFM interacts with the adsorbed As to form iron-arsenic precipitations during application31. These processes facilitate the conversion of As from an exchangeable state to a Fe-Mn oxide-bound state30. Moreover, the reduction of manganese from Mn(IV) to Mn(III) and subsequently to Mn(II) may promote the effective oxidation of As(III) to As(V), thereby decreasing the mobility of As30. Besides, biochar can create an environment conducive to specific microbial growth and activity, which promotes the oxidation of As(III) and further reduces the mobility of As32.
However, the simulated acidification treatments led to a shift of Cd and As into unstable forms in the soils, including those treated with BFM, implying that the ability of BFM to immobilize heavy metals is diminished under acidification. Several potential explanations for this phenomenon include: (1) the surfaces of soil particles usually carry a negative charge, allowing them to adsorb cations. As soil pH decreases, the negative charge on these surfaces decreases, resulting in a reduced adsorption capacity for Cd and a rise in the concentration of bioavailable Cd; (2) under neutral or alkaline soil conditions, Cd can form hydroxide or carbonate precipitates with anions such as OH− and CO32–33. A decrease in soil pH leads to a reduction in the concentration of these ions, weakening Cd precipitation and enhancing its bioavailability; (3) under acidic conditions, the concentration of competing cations (e.g., H+ and Al3+) increases, which compete with Cd for adsorption sites on soil particle surface, thereby facilitating the release of Cd; and (4) a decrease in pH leads to the dissolution of oxides (e.g., Fe oxides, etc.) in the soil, resulting in the release of As that was previously bound to minerals28. This process reduces the amount of As in the residual state that forms in the soil and binds to minerals. Meanwhile, the dissolved Mn2+ may compete with Cd2+ for adsorption sites6. Thus, under conditions of acidification, the addition of BFM to raise soil pH can partially mitigate the environmental risks associated with soil acidification However, as soil acidification progresses, the liming effect of BFM on the soil gradually diminishes and ultimately disappears. Additionally, acidification can also directly affect the immobilization of heavy metals by passivation materials, such as lime, hydroxyapatite and biochar19,34,35. This effect may be related to the structural disruption of biochar caused by acidification, which results in the loss of surface alkalinity and the change in the nature of functional groups19,36,37. Our previous studies have shown that simulated acidification disrupts the surface structure of BFM and reduces both the type and number of functional groups, resulting in a diminished adsorption capacity for Cd and As (Data not provided). Besides, acidification can promote the dissolution of Fe-Mn oxides in the BFM, leading to the re-release of As adsorbed by these Fe-Mn oxides and consequently increasing the amount of unstable As.
Maintaining the efficiency and durability of soil remediation by applying multiple remediation materials in combination is a viable strategy. As demonstrated by Li et al. (2021)38 the combined use of carboxymethyl-cellulose-bridged nano-chlorapatite and CaO can serve as an effective formulation for the simultaneous and long-term immobilization of multiple heavy metals in acidic soil. This study also indicates that the combined application of calcium fertilizer more effectively promotes the conversion of soil Cd to a more stable form and reduces its bioavailability under acidification, compared to the application of BFM alone. Specifically, the combined application of CaO facilitates the transformation of Cd from its reduced form to a residual form, while the combined application of BFM further enhances the conversion of oxidizable Cd to the residual form. One of the primary reasons for this phenomenon may be the increase in soil pH due to the addition of calcium fertilizers, which promotes the reaction of Cd2+ with OH− and CO32− to form insoluble precipitates such as Cd(OH)2 or CdCO333. The mitigating effects of calcium fertilizers on soil acidification are well-documented39,40,41. The increase in soil pH attributed to CaO and CMP occurs through several mechanisms: (1) CaO raises the content of exchangeable cations in the soil, leading to their exchange with exchangeable acids, thereby reducing the levels of these acids42; (2) CaO reacts with water to produce Ca(OH)2, which releases OH− ions that neutralize H+, SO42−, NO3−, and other acid ions in the soil, resulting in an increase in soil pH; (3) The Ca(OH)2 formed can react with Al3+ ions in the soil to produce insoluble Al(OH)3, thereby mitigating soil acidification; (4) CMP contains alkaline elements such as calcium and magnesium, which can exchange ions with acidic ions (e.g., hydrogen and aluminum ions) in the soil, alleviating acidification. (5) when CMP is applied, the surface hydroxyl groups coordinated with metal cations (such as Fe and Al) on the soil surface are replaced by P ions, leading to an increase in soil pH. In addition, the addition of calcium fertilizers to the soil releases ions such as Ca2+ and Mg2+, which can combine with the reducible Cd in the soil to form insoluble precipitates and reduce the bioavailability of Cd43. Moreover, biochar can stabilize the organic carbon content in the soil when added to the soil. The presence of organic matter reduces the activity and solubility of reducible Cd, thereby reducing its bioavailability44. Similarly, the combination of BFM and calcium fertilization more effectively reduces the bioavailability of As in the soil, facilitating the conversion of As from reduced and oxidized forms to a more stable residual form. This may be attributed, in part, to the mitigation of soil acidification by calcium fertilizers, which reduces the dissolution of Fe-Mn oxides both in BFM and in the soil, thereby inhibiting the re-release of As. On the other hand, the addition of calcium fertilizers may lead to the formation of insoluble precipitates such as Ca3(AsO4)2 and As-Ca complexes, which further immobilize As in the soil45,46. Furthermore, with the increasing concentration ratio of Cd/As or As/Cd at the mineral interface, the interaction mechanism between Cd and As transitions from electrostatic adsorption to the formation of interface-As-Cd ternary complexes, ultimately leading to the formation of surface co-precipitation41,47. Overall, the combined application of CMP results in more effective immobilization of cadmium in the soil, although its impact on enhancing soil pH is less pronounced than that of calcium oxide. The substantial amount of phosphate introduced through CMP application may play a crucial role, as phosphate can react with cadmium to form Cd3(PO4)2 precipitation, thereby reducing the concentration of free Cd48.
The raw material for BFM, shell waste from Hickory (Carya cathayensis), is a common agricultural and forestry by-product in southern China49. Consequently, BFM can serve as an economical soil remediation material, while its large-scale preparation and application of BFM offers an efficient disposal solution for Hickory shell waste, a type of agricultural and forestry waste. Additionally, the application of calcium fertilizers is a vital method for supplementing calcium requirements of crops in agricultural practices and serves as an important strategy for alleviating soil acidification. Consequently, the combination of BFM with calcium fertilizer application is not only an effective measure for the remediation of Cd and As co-pollution in continuously acidified soils, but also a routine practice in agricultural management.
Conclusion
Soil acidification is an escalating concern that may compromise the long-term effectiveness of remediation agents used for remediating heavy metal contaminated soils. In this study, simulated acidification treatments weakened the immobilization of Cd and As by BFM, resulting in an increased availability of these heavy metals in the remediated soil. The primary cause of this phenomenon is the lower soil pH. The effect of the acidification process on the structure and composition of BFM is another important factor that warrants further exploration. Notably, the combined application of BFM and calcium fertilizer effectively regulates soil pH, mitigates soil acidification, and diminishes the adverse effects of acidification on the remediation efficacy of BFM. Additionally, calcium fertilizer is a commonly used soil conditioning fertilizer, making it an effective measure to enhance remediation efficiency of BFM to Cd/As co-contaminated soils. This study recommends the application of 50 kg/acre of calcium fertilizer alongside 1% BFM for the remediation of Cd/As co-contaminated paddy fields in acidified environment
Data availability
The datasets used and/or analysed during the current study available from the corresponding author on reasonable request.
References
Marufi, N., Conti, G. O., Ahmadinejad, P., Ferrante, M. & Mohammadi, A. A. Carcinogenic and non-carcinogenic human health risk assessments of heavy metals contamination in drinking water supplies in iran: a systematic review. Rev. Environ. Health. 39 (1), 91–100 (2024).
Suda, A. & Makino, T. Functional effects of manganese and iron oxides on the dynamics of trace elements in soils with a special focus on arsenic and cadmium: A review. Geoderma 270, 68–75 (2016).
Honma, T. et al. Optimal soil eh, pH, and water management for simultaneously minimizing arsenic and cadmium concentrations in rice grains. Environ. Sci. Technol. 50 (8), 4178–4185 (2016).
Shen, B. et al. The optimum pH and Eh for simultaneously minimizing bioavailable cadmium and arsenic contents in soils under the organic fertilizer application. Sci. Total Environ. 711, 135229 (2020).
Borggaard, O. K., Holm, P. E. & Strobel, B. W. Potential of dissolved organic matter (DOM) to extract as, cd, co, cr, cu, ni, Pb and Zn from polluted soils: A review. Geoderma 343, 235–246 (2019).
Zhao, F. J. & Wang, P. Arsenic and cadmium accumulation in rice and mitigation strategies. Plant. Soil. 446 (1–2), 1–21 (2020).
Wang, J. et al. Analysis of the long-term effectiveness of Biochar immobilization remediation on heavy metal contaminated soil and the potential environmental factors weakening the remediation effect: A review. Ecotox Environ. Safe. 207, 111261 (2021).
O’Connor, D. et al. Biochar application for the remediation of heavy metal polluted land: A review of in situ field trials. Sci. Total Environ. 619, 815–826 (2018).
Tang, B. et al. Effect of Biochar on immobilization remediation of cd contaminated soil and environmental quality. Environ. Res. 204, 111840 (2022).
Hu, Y. et al. Biochar is an effective amendment to remediate Cd-contaminated soils-a meta-analysis. J. Soil. Sediment. 20 (11), 3884–3895 (2020).
Wang, N., Xue, X. M., Juhasz, A. L., Chang, Z. Z. & Li, H. B. Biochar increases arsenic release from an anaerobic paddy soil due to enhanced microbial reduction of iron and arsenic. Environ. Pollut. 220, 514–522 (2017).
Vithanage, M., Lee, S. & OK, Y. Interaction of arsenic with Biochar in soil and water: A critical review. Carbon 113, 219–230 (2017).
Premarathna, K. S. D. et al. Biochar-based engineered composites for sorptive decontamination of water: A review. Chem. Eng. J. 372, 536–550 (2019).
Beiyuan, J. et al. Modified Biochar for arsenic immobilization in soil: A critical review. Rev. Environ. Contam. T. 261 (1), 20 (2023).
Chen, H. X. et al. Arsenic and cadmium removal from water by a calcium-modified and starch-stabilized ferromanganese binary oxide. J. Environ. Sci. 96, 186–193 (2020).
Lian, B. et al. Fe-Mn oxide, microbe and biochar composite for remediation of Cd and As co-contaminated water and soil. Soil Use Manage. 40, e13162 (2024).
Zhu, S. et al. Goethite modified Biochar as a multifunctional amendment for cationic Cd(II), anionic As(III), roxarsone, and phosphorus in soil and water. J. Clean. Prod. 247, 119579 (2020).
Mia, S., Dijkstra, F. A. & Singh, B. Aging induced changes in biochar’s functionality and adsorption behavior for phosphate and ammonium. Environ. Sci. Technol. 51 (15), 8359–8367 (2017).
Chang, R., Sohi, S. P., Jing, F., Liu, Y. & Chen, J. A comparative study on Biochar properties and cd adsorption behavior under effects of ageing processes of leaching, acidification and oxidation. Environ. Pollut. 254, 113123 (2019).
Ji, W. Y. et al. Effectiveness of acidified soil restoration pilot in Zhejiang Province and its countermeasures and suggestions. Journal of Zhejiang Agricultural Sciences 61(10), 1960–1962 + 1966 In Chinese. (2020).
Wang, L. et al. Biochar aging: mechanisms, physicochemical changes, assessment, and implications for field applications. Environ. Sci. Technol. 54 (23), 14797–14814 (2020).
Huang, S. et al. Application of inorganic passivators reduced cd contents in brown rice in oilseed rape-rice rotation under cd contaminated soil. Chemosphere 259, 127404 (2020).
Yan, D. M., Guo, Z. H., Huang, F. L., Ran, H. Z. & Zhang, L. Effect of calcium magnesium phosphate on remediation paddy soil contaminated with cadmium using lime and sepiolite. Environ. Sci. 41, 1491–1497 (2020). In Chinese.
Li, L. et al. Calcium amendments affect heavy metal bioavailability in acidic and calcareous soils. Int. J. Environ. Sci. Te. 19 (10), 10067–10076 (2022).
Xu, F., Chen, H., Dai, Y., Wu, S. & Tang, X. Arsenic adsorption and removal by a new starch stabilized ferromanganese binary oxide in water. J. Environ. Manage. 245, 160–167 (2019).
Žemberyová, M., Barteková, J. & Hagarová, I. The utilization of modified BCR three-step sequential extraction procedure for the fractionation of cd, cr, cu, ni, Pb and Zn in soil reference materials of different origins. Talanta 70 (5), 973–978 (2006).
Ahmad, M. et al. Biochar as a sorbent for contaminant management in soil and water: A review. Chemosphere 99, 19–33 (2014).
Bolan, N. et al. Soil acidification and the liming potential of Biochar. Environ. Pollut. 317, 120632 (2023).
Lin, L. et al. Simultaneous immobilization of arsenic and cadmium in paddy soil by Fe-Mn binary oxide: A field-scale study. Elementa-Sci Anthrop. 8 (1), 094 (2020).
Yang, Z. et al. Simultaneous immobilization of lead, cadmium and arsenic in soil by iron-manganese modified Biochar. Front. Env Sci. 11, 1281341 (2023).
Shan, C. & Tong, M. P. Efficient removal of trace arsenite through oxidation and adsorption by magnetic nanoparticles modified with Fe-Mn binary oxide. Water Res. 47 (10), 3411–3421 (2013).
Herath, I. et al. Microbe mediated immobilization of arsenic in the rice rhizosphere after incorporation of silica impregnated Biochar composites. J. Hazard. Mater. 398, 123096 (2020).
Naidu, R., Bolan, N. S., Kookana, R. S. & Tiller, K. G. Ionic-strength and pH effects on the sorption of cadmium and the surface charge of soils. Eur. J. Soil. Sci. 45 (4), 419–429 (1994).
Guo, F., Ding, C., Zhou, Z., Huang, G. & Wang, X. Stability of immobilization remediation of several amendments on cadmium contaminated soils as affected by simulated soil acidification. Ecotox Environ. Safe. 161, 164–172 (2018).
Wang, J. et al. Earthworm-mediated nitrification and gut digestive processes facilitate the remobilization of biochar-immobilized heavy metals. Environ. Pollut. 322, 121219 (2023).
Qian, L. B. & Chen, B. L. Interactions of aluminum with Biochars and oxidized Biochars: implications for the Biochar aging process. J. Agric. Food Chem. 62 (2), 373–380 (2014).
Xu, Z. B., Xu, X. Y., Tsang, D. C. W. & Cao, X. D. Contrasting impacts of pre- and post-application aging of Biochar on the immobilization of cd in contaminated soils. Environ. Pollut. 242, 1362–1370 (2018).
Li, Z., Gong, Y., Zhao, D., Dang, Z. & Lin, Z. Simultaneous immobilization of multi-metals in a field contaminated acidic soil using carboxymethyl-cellulose-bridged nano-chlorapatite and calcium oxide. J. Hazard. Mater. 407, 124786 (2021).
Radziemska, M. et al. The applicability of compost, zeolite and calcium oxide in assisted remediation of acidic soil contaminated with Cr(III) and Cr(VI). Environ. Sci. Pollut R. 26 (21), 21351–21362 (2019).
Xiang, Z. L. et al. Study on the treatment of nickel-contaminated soil using calcium oxide. Water Air Soil. Poll. 231 (5), 1–7 (2020).
Zhang, T. et al. Soil ridging combined with Biochar or calcium-magnesium-phosphorus fertilizer application: enhanced interaction with ca, Fe and Mn in new soil habitat reduces uptake of as and cd in rice. Environ. Pollut. 332, 121968 (2023).
Li, J. Y., Masud, M. M., Li, Z. Y. & Xu, R. K. Amelioration of an ultisol profile acidity using crop straws combined with alkaline slag. Environ. Sci. Pollut R. 22 (13), 9965–9975 (2015).
Li, P., Wang, X. X., Zhang, T. L., Zhou, D. M. & He, Y. Q. Effects of several amendments on rice growth and uptake of copper and cadmium from a contaminated soil. J. Environ. Sci. 20 (4), 449–455 (2008).
Liu, M. Y. etal. Biochar produced from the straw of common crops simultaneously stabilizes soil organic matter and heavy metals. Sci. Total Environ. 828, 154494 (2022).
Porter, S. K., Scheckel, K. G., Impellitteri, C. A. & Ryan, J. A. Toxic metals in the environment: thermodynamic considerations for possible immobilization strategies for pb, cd, as, and hg. Crit. Rev. Env Sci. Tec. 34 (6), 495–604 (2004).
Nazari, A. M., Radzinski, R. & Ghahreman, A. Review of arsenic metallurgy: treatment of arsenical minerals and the immobilization of arsenic. Hydrometallurgy 174, 258–281 (2017).
Tao, L. et al. Cadmium and arsenic interactions under different molar ratios during coadsorption processes by excluding pH interference. Chemosphere 291, 132839 (2022).
Zhou, X. et al. The stabilization mechanism of high-efficiency magnesium phosphate cement for arsenic remediation in lollingite polluted environments. J. Clean. Prod. 378, 134580 (2022).
Sun, M. et al. Spatial patterns and drivers of soil chemical properties in typical Hickory plantations. Forests 13, 457 (2022).
Acknowledgements
This work was supported by the National Natural Science Foundation of China (42207011).
Author information
Authors and Affiliations
Contributions
Jie Wang: Conceptualization, Investigation, Writing-original draft, Writing review & editing. Qi Sun: Methodology, Data curation, Writing-original draft. Maoyu Wang: Data curation, Writing-review & editing. Jiahao Wang: Data curation, Writing-review & editing. Yuxiang Yang: Data curation, Writing-review & editing. Jizi Wu: Resources, Funding acquisition, Project administration, Writing-review & editing. Keli Zhao: Resources, Project administration, Writing-review & editing.
Corresponding authors
Ethics declarations
Competing interests
The authors declare no competing interests.
Additional information
Publisher’s note
Springer Nature remains neutral with regard to jurisdictional claims in published maps and institutional affiliations.
Electronic supplementary material
Below is the link to the electronic supplementary material.
Rights and permissions
Open Access This article is licensed under a Creative Commons Attribution-NonCommercial-NoDerivatives 4.0 International License, which permits any non-commercial use, sharing, distribution and reproduction in any medium or format, as long as you give appropriate credit to the original author(s) and the source, provide a link to the Creative Commons licence, and indicate if you modified the licensed material. You do not have permission under this licence to share adapted material derived from this article or parts of it. The images or other third party material in this article are included in the article’s Creative Commons licence, unless indicated otherwise in a credit line to the material. If material is not included in the article’s Creative Commons licence and your intended use is not permitted by statutory regulation or exceeds the permitted use, you will need to obtain permission directly from the copyright holder. To view a copy of this licence, visit http://creativecommons.org/licenses/by-nc-nd/4.0/.
About this article
Cite this article
Wang, J., Sun, Q., Wang, M. et al. Combined application of calcium fertilizer improves the immobilization of biochar-ferromanganese materials on cd/as co-polluted paddy soils under acidifying conditions. Sci Rep 15, 22707 (2025). https://doi.org/10.1038/s41598-025-08663-2
Received:
Accepted:
Published:
Version of record:
DOI: https://doi.org/10.1038/s41598-025-08663-2









