Fig. 5
From: Single-base station positioning for photovoltaic power plant inspection UAVs based on PPP-B2b signal

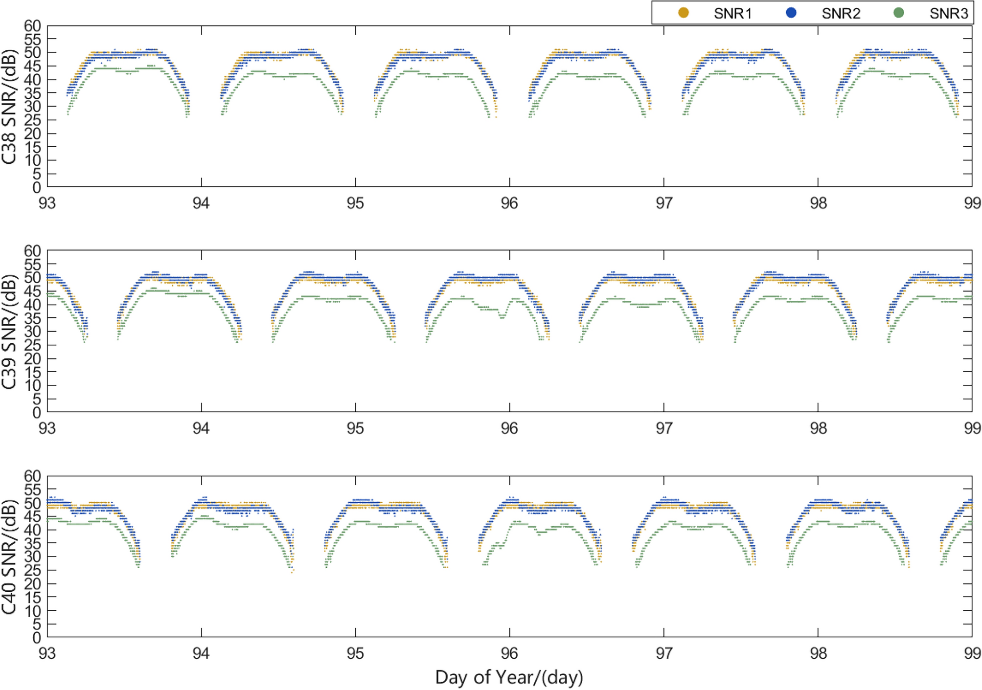
Signal to noise ratio of different carrier signals.
From: Single-base station positioning for photovoltaic power plant inspection UAVs based on PPP-B2b signal

Signal to noise ratio of different carrier signals.