Abstract
Brazilian Amazonia encompasses a number of major complexes of conservation areas, some of which contain important deposits of mineral resources, and thus represent strategic areas for the exploitation of ores. The present study investigated the composition of the local communities of freshwater decapod crustaceans and their variation in relation to environmental parameters of the Carajás Mosaic. The data were collected during the rainy and dry seasons of 2022 at four points (two impacted, two controls) in each of the two hydrographic basins—of the Itacaiúnas and Parauapebas rivers—that make up the area of the Carajás Mosaic. The relationship between the crustacean communities and environmental variables was analyzed using multiple linear regressions, which considered crustacean species richness and abundance as the dependent variables, in relation to the threshold of contamination of the sediment by metals (Al, As, Fe, Pb, and Mn), and the temperature of the water. A total of ten crustacean species were identified, representing the families Trichodactylidae, Palaemonidae and Pseudothelphusidae. High mean temperatures were associated with a reduction in both alpha and beta diversity, which indicates negative impacts on the health of the aquatic communities. Overall, the impacted areas had significantly reduced crustacean diversity and abundance in comparison with the control areas.
Similar content being viewed by others
Introduction
The crustaceans are a vital taxonomic group in aquatic ecosystems, where they contribute significantly to local biodiversity and serve as keystone species in aquatic food webs1. These animals inhabit an ample variety of environments, from the deepest oceans to shallow freshwater systems, reflecting their ecological importance and adaptability2.
In particular, the crustaceans of the order Decapoda play a crucial role in freshwater ecosystems, where they facilitate the decomposition of organic matter, which increases the availability of nutrients. These crustaceans are also reliable indicators of the health of the ecosystem, given that they are sensitive to environmental changes, in particular, exposure to heavy metals3,4.
Given their ecological characteristics, the species of this group are considered to be excellent bioindicators, given that they are detritivores that live in close contact with the sediment and respond relatively rapidly to structural changes in the environment5,6. Threats to the aquatic ecosystem, such as those posed by mining, can result in widespread impacts to the natural habitats of decapod crustaceans, leading to a decline in their biodiversity7.
In recent decades, the Carajás region in northern Brazil has undergone a number of significant environmental changes derived from mining operations, which are a recurring process in the region, while a number of studies have evaluated its environmental quality8,9,10. The Brazilian state of Pará is one of country’s principal producers of ores, together with Minas Gerais11. Carajás has vast mineral reserves, which form the Carajás Mineral Province, located in southeastern Pará, and has enormous deposits of iron ore, as well as significant quantities of manganese, copper, gold, and nickel12.
Despite being widespread in the region, mining is always seen in a negative light, and is considered to be one of the principal factors driving changes in the hydrographic basin of the Itacaiúnas River, in which all the holding dams of the Carajás mining operations are located, together with the basin of the Parauapebas River, which have been subject to the direct impacts of these operations over almost fifty years13,14.
Throughout this history of impact, pollutants have encroached the local bodies of water and altered their physicochemical properties, including their pH and temperature, while also exposing the local aquatic ecosystems to high concentrations of toxic contaminants, such as heavy metals15. The hydrological conditions in the Carajás region, which are influenced by the high local temperatures and heavy rains, have a significant effect on the chemical cycle of the aquatic systems and the transport of materials, which, in turn, impact the concentrations of metals in the soil, water, and sediments16. This contamination, and the accumulation of trace elements in the bottom sediments culminates in major risks for the integrity of the environment and the local aquatic biota17.
Given the visible impact of these many years of mining on the bodies of water of the Carajás region, and the lack of data on the local crustacean diversity or the potential loss of this diversity, the present study aimed to describe the composition of the region’s decapod crustacean assemblages and the association of this diversity with environmental (temperature, the metals Al, Pb, Fe, and Mn, and the metalloid As) and temporal variables (seasonality). This analysis was based on the application of predictive models, given the need for rapid and well-founded responses to ensure the most reliable understanding of the impacts caused to the local ecosystems18. This is the first study to evaluate the crustacean diversity of the Carajás region from an ecosystemic perspective.
Materials and methods
Study area
The present study was conducted in the municipalities of Parauapebas, Canaã dos Carajás, and Marabá, which are all located within the Carajás integration region, in southeastern Brazilian Amazonia (Fig. 1). This region includes a number of federal protected areas, as well as the Xikrin do Catété indigenous territory, which together make up the Carajás Mosaic. All the protected areas that make up this mosaic are located within the basins of the Itacaiúnas and Parauapebas rivers19.
Location of the crustacean sampling points (impacted sites = red triangles, control sites = blue circles) surveyed in May and November 2022 within the Carajás Mosaic in southeastern Pará, Brazil. Figure generated using QGIS software (version 3.28 ‘Firenze’,available at https://www.qgis.org).
The climate of the Carajás region is of the Aw type in the Köppen-Geiger classification system, that is, humid tropical with high temperatures and intense rainfall throughout the year20. Annual precipitation is relatively high, and may reach 2,033 mm, with a well-defined dry season. Mean monthly temperatures range from 25.1 °C to 26.3 °C, with absolute minimum temperatures of between 15.6 °C and 18.3 °C, and maximum values of 34.3 °C to 38.1 °C21. Comprehensive climatological data, including relative humidity, precipitation, and mean temperature for the sampling locations, are compiled in Table S1, offering an in-depth overview of the environmental conditions that shape the characteristics of the analyzed samples. These climatic factors play a pivotal role in driving pedogenetic and ecological processes in the region, fostering the development of deep lateritic soils and sustaining the typical vegetation of a humid tropical rainforest.The local soils are complex, and include dystrophic red-yellow argisols, dystrophic litholic neosols, dystrophic red latosols, cambisols, and plintosols22,23.
Data collection
All stages of this work were carried out with the appropriate environmental licenses (SISBIO No. 47679-3 and Ethics Committee on the Use of Animals CEUA No. 8587260821). The samples were collected in May (rainy season) and November (dry season) 2022, in the basins of the Itacaiúnas and Parauapebas rivers. The capture sites were selected based on the level of impact from mining, whether legal (operated by the Vale S.A. mining company) or illegal (clandestine gold prospecting), as shown in Supplementary Material (Table S2). A total of eight sampling points were selected here, with four in each basin, including two sites that were considered to be contaminated, and two others that served as control areas.
The crustacean specimens were captured using fifteen pot-type traps, which were made of an iron frame, 90 cm in diameter, covered with 0.3 cm nylon® mesh, with six entrances of 12 cm. The traps were labeled individually before being baited with a mixture of babaçu (Attalea speciosa; Liliopsida) nut pulp, rice, and wheat flour, and then set facing the stream current, where they remained submerged continuously for 12 h (from 18:00 h to 06:00 h). The specimens were identified to species, using the taxonomic keys, descriptions, and illustrations available in the reviews of24,25,26.
The temperature of the water was recorded using multiparameter measuring meters (probes). In May, the equipment had an accuracy of ± 0.15 °C and a measuring range of − 5 to 55 °C. In November, the accuracy was ± 0.01 °C, with a range of − 5 to 50 °C.These data were collected in loco, with two samples being collected, one in the morning, and one at night. The sediment samples used to analyze the concentrations of trace metals were collected in triplicate at distances of between 5 m and 10 m from the margin of the bodies of water. These samples were collected using a 3-litre Petersen AFK 0200 stainless steel manual dredge.
In the laboratory, sediment samples were placed in paper bags and oven-dried at 65 °C. They were then sent to the Laboratory of Chemical Analyses at the Federal University of Santa Maria (UFSM) for metal extraction and analysis. The samples were digested using microwave-assisted acid digestion, following the EPA (Method 3050B: Acid Digestion of Sediments, Sludges, and Soils, Revision 2)27. Approximately 0.25 g of dried sediment was weighed into Teflon vessels, to which 5 mL of concentrated HNO₃ and 1 mL of H₂O₂ were added. Digestion was carried out in a Multiwave PRO system (Anton Paar GmbH, Graz, Austria) equipped with a 24HVT50 rotor for 24 vessels. The digestion program consisted of a 10-minute ramp followed by a 20-minute hold at 180 °C, and a 20-minute cooling period. After digestion, the extracts were quantitatively transferred to 50 mL volumetric flasks and diluted to volume with ultrapure water (Milli-Q).
Lead (Pb) concentrations in digested sediment samples were determined by graphite furnace atomic absorption spectrometry (GFAAS), using a ZEEnit 600 instrument (Analytik Jena, Jena, Germany) equipped with Zeeman-effect background correction and hollow cathode lamps (Photron PTY.LTD., Narre Warren, VIC, Australia). A MPE 60 autosampler introduced 20 µL of each liquid sample into pyrolytically coated graphite tubes with a PIN platform. For Pb determination, 5 µL of Mg(NO₃)₂ (0.1% w/v) acidified with HNO₃ (0.5% v/v) was used as a chemical modifier.
The quantification of aluminum (Al), iron (Fe), and manganese (Mn) was performed using flame atomic absorption spectrometry (FAAS) with a NovAA 300 instrument (Analytik Jena), equipped with a conventional nebulizer and deuterium lamp for background correction. A 50-mm titanium burner was used for Al measurements with an acetylene/nitrous oxide flame, while a 100-mm burner was employed for Fe and Mn measurements with an air/acetylene flame. Hollow cathode lamps were used as the radiation source for all elements. Arsenic (As) was measured by hydride generation atomic absorption spectrometry (HG-AAS) using an HS 60 Hydride System coupled to the NovAA 300 instrument, following the same microwave-assisted digestion procedure.
The analytical method was validated through the analysis of a certified reference material CRM016-50G - Fresh Water Sediment, Supelco, to verify accuracy (Table S3), as well as through peak and recovery tests carried out on a representative sample of sediment to assess the veracity of the method (Table S4). The limits of detection (LOD) and quantification (LQ) were established for each analyte (Table S5) and precision was assessed by calculating the relative standard deviation (RSD) of three duplicate measurements (n = 3) of a representative sediment sample (Table S6).
Data analysis
The data were first subjected to an exploratory analysis, following the protocol proposed by28which was used to determine the presence of outliers, the occurrence of collinearity, the independence of the response variables, and possible linearity among the variables. The pH of the water and the Ni concentration in the sediment were then excluded based on their low Variance Inflation Factor (VIF) values (< 3), given that VIF values of less than 3 indicate low levels of multicollinearity between the variables in the regression analysis29.
As the variables were recorded in different units of measurement, the abiotic matrix was standardized by the z score method30. The matrix of the physicochemical variables of the sediment was tested against the spatiotemporal variables (season, areas of mining impact, and the interaction between these factors) using a Permutational Multivariate Analysis of Variance (PERMANOVA), which was run in the “adonis2” function of the “Vegan” package31. The biplot of a Principal Components Analysis (PCA) was applied to visualize the multivariate relationships between the physicochemical variables of the sediment in each comparison, including the quantification of the individual contribution of each parameter.
The biotic matrix (species abundance) was standardized using the Hellinger method30. The composition of the crustacean assemblage was then tested in relation to the spatiotemporal variables, using PERMANOVA, followed by the PCA plots.
The total abundance and alpha diversity (based on species richness) were quantified for each replicate sample, with the abundance being determined by the sum of the number of individuals captured in each sample. The species richness was determined by the “specnumber” function of the “vegan” package31. The total abundance and alpha diversity of the crustacean assemblage were tested in relation to the physicochemical variables of the sediment and spatiotemporal variables, based on Generalized Additive Models for Location Scale and Shape (GAMLSS)32. This statistical approach was employed due to the lack of linearity between the response and predictor variables, with smoothing terms being applied to the non-linear data.
The “fitDist” function of the GAMLSS package was also used to classify the distribution of the response variables analyzed. The “stepGAICAll.A” function was then applied to analyze the statistical models, referring only to the intercept, and testing the introduction of each variable, based on the Generalized Akaike Information Criterion (GAIC). The final model selected the predictor variables that had the greatest influence on the overall set of variables, based on the lowest GAIC value.
Finally, these univariate models were validated using the “wormplot” verification method33. Variables with random effects were included here due to the loss of the independence of the response variable because of the implementation of repeated measures, with samples being collected at the same sites in distinct periods.
The beta diversity (based on the Whittaker method) was tested in relation to the physicochemical sediment and spatiotemporal variables using a PERMANOVA, and then plotted in univariate space using the Euclidian distance to the centroids. The relationship between the abundance of the crustacean species and the physicochemical sediment variables was tested using an Analysis of Redundancy (RDA). The significance of the biotic and abiotic data matrices, which had been standardized by the Hellinger and z score methods, respectively, were tested using the “permutest” and “anova.cca” functions (respectively) of the “vegan”package. The significance of the physicochemical sediment variables was evaluated using the “envfit” function, and only those environmental variables with scores of between − 0.4 and 0.4 were considered to be biologically significant34while only the species with eigenvalues of over 0.4 were considered to be biologically significant35. All the analyses based on permutations were run using 9,999 replications, including the Bonferroni correction of the p value. A p = 0.05 significance level was considered for all the analyses, although marginally significant results (p = 0.05–0.10) were also reported.
Results
Characteristics of the species and study environments
A total of 624 individual crustaceans were captured over the two field campaigns, with the specimens being assigned to 10 species distributed in three families – the Trichodactylidae, Palaemonidae, and Pseudothelphusidae (Table 1). Macrobrachium jelskii (Miers, 1877) and Sylviocarcinus pictus (H. Milne-Edwards, 1853) were the most abundant of these species, while Fredius reflexifrons (Ortmann, 1897) and Macrobrachium nattereri (Heller, 1862) may have been recorded in the region for the first time (pending DNA analysis).
The elements Al, As, Fe, Pb, and Mn all returned the highest concentrations in the sediment samples. The highest concentrations of As, Fe, Pb, and Mn were recorded in the rainy season (May), whereas the highest temperatures and Al concentrations were registered in the dry season (November), despite their reduced contribution to the overall variability in the data (Table 2; PERMANOVA: F (season) = 8.448; p (season) = 0.0001; F (impact) = 6.168; p (impact) = 0.0004; Fig. 2a). The concentrations of Fe, Pb, and Mn were highest at the impacted sites, while the temperature and Al concentrations were highest in the control areas (p = 0.0004; Fig. 2b). In the analysis of the interaction between season and impact, Fe and Pb returned their highest concentrations in May, and Mn, in November, in both cases, in the impacted areas. The highest Al concentrations and temperatures were associated more closely with November and the control areas (Table 2; PERMANOVA: p = 0.0003; Fig. 2c).
Biplot of the Principal Components Analysis relating the physicochemical variables of the sediment samples from the Itacaiúnas and Parauapebas basins in the Carajás Mosaic, Brazil with: (a) season (rainy vs. dry), (b) impact (impacted vs. control), and (c) the interaction between these two factors. The intensity of the grayscale arrows indicates the level of the contribution of the physicochemical variables to the variability in the data. *α = 0.05.
Composition and total abundance of the crustacean assemblage
The composition of the crustacean assemblages sampled in the basins of the Itacaiúnas and Parauapebas rivers did not vary significantly between seasons (PERMANOVA; F = − 0.023; p = 0.9846; Fig. 3a), impacted and control areas (PERMANOVA; F = 1.176; p = 0.3344; Fig. 3b) or the interaction between these two factors (PERMANOVA; F = 0.093; p = 0.9491; Fig. 3c).
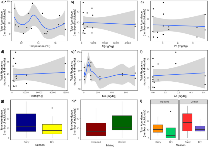
Crustacean abundance had a non-linear relationship with temperature (Table S7; Fig. 4a), although it did decline significantly as temperature increased (GAMLSS: p = 0.0003). There is also a peak in abundance when the Mn concentration is close to 100 mg/Kg, although it subsequently decreased to zero (GAMLSS: p = 0.0023; Table S7; Fig. 4e). Crustaceans were most abundant (median central tendency ± Standard Error = 46.2 ± 12.84) in the control areas (32.0 ± 12.24; GAMLSS: p = 0.0010; Table S7; Fig. 4h). The relationship between Al, Pb, Fe, As, the seasons and the interaction among the spatiotemporal factors were not significant, and were thus not selected for the final statistical model (GAMLSS: p > 0.05; Table S7; Fig. 4b–d, f–i).
Relationship between the total abundance of the crustacean assemblage and (a) temperature, (b) Al, (c) Pb, (d) Fe, (e) Mn, (f) As, (g) the seasons, (h) impact vs. control areas, and (i) the interaction between (g) and (h), sampled in the Itacaiúnas and Parauapebas river basins, in the Carajás Mosaic, Brazil. *α = 0.05.
Alpha and Beta diversity of the crustacean assemblage
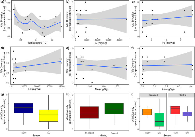
The alpha diversity had a non-linear relationship with temperature, generally decreasing as temperature increased (GAMLSS: p = 0.104; Table S8; Fig. 5a). None of the other physicochemical or spatiotemporal variables had any systematic influence on alpha diversity (GAMLSS: p > 0.05; Table S8; Fig. 5b–i).
Relationship between the alpha diversity (per species richness) of the crustacean assemblage and (a) temperature, (b) Al, (c) Pb, (d) Fe, (e) Mn, (f) As, (g) the seasons, (h) impact vs. control areas, and (i) the interaction between (g) and (h), sampled in the Itacaiúnas and Parauapebas river basins, in the Carajás Mosaic, Brazil. *α = 0.05.
The beta diversity decreased in a marginally significant manner with increasing temperature (PERMANOVA: F = 3.256; p = 0.0671; Table S9; Fig. 6a). However, none of the other physicochemical (sediment) or spatiotemporal variables had any clear influence on beta diversity (PERMANOVA: p > 0.05; Table S9; Fig. 6b–i).
Relationship between the beta diversity (using the Whittaker method) of the crustacean assemblage and (a) temperature, (b) Al, (c) Pb, (d) Fe, (e) Mn, (f) As, (g) the seasons, (h) impact vs. control areas, and (i) the interaction between (g) and (h), sampled in the Itacaiúnas and Parauapebas river basins, in the Carajás Mosaic, Brazil. + indicates a marginally significant difference (α = 0.10).
Relationship between species abundance and physicochemical variables
Only the first RDA axis was significant here (explaining 32.01% of the variability in the data; RDA: F = 1.861; p = 0.0245; Table S10; Fig. 7), and only the temperature and the concentrations of Al and As had any significant effect in this analysis (RDA; p < 0.05; Table S10; Fig. 7). While Sylviocarcinus pictus (H. Milne-Edwards 1853), Sylviocarcinus devillei H. Milne-Edwards, 1853, Macrobrachium jelskii (Miers, 1877) and Macrobrachium amazonicum (Heller, 1862) all presented a positive relationship with the temperature and As concentrations, they had a negative relationship with Al (Table S10; Fig. 7). By contrast, Macrobrachium surinamicum Holthuis, 1948, Macrobrachium brasiliense (Heller, 1862), Valdivia serrata White, 1847, Macrobrachium nattereri (Heller, 1862), and Fredius reflexifrons (Ortmann, 1897) were positively related to Al, and negatively with temperature and As (Table S10; Fig. 7).
Discussion
There is a considerable diversity of crustaceans in the basins of the Itacaiúnas and Parauapebas rivers, in particular, the taxa of the families Trichodactylidae, Pseudothelphusidae, and Palaemonidae, although this fauna had received little attention from ecologists up to now. These families are ecologically important, given that they are a vital source of food for the higher trophic levels, contributing to nutrient cycling and the maintenance of the health of the local habitats36,37. The presence of these families in the environment reflects the wellbeing of the ecosystem and their influence on the structure of the local trophic webs, which is essential for the maintenance of the ecological equilibrium, given that their vulnerability highlights the need for conservation efforts38,39.
While the presence of these families in the study region reflects its rich biodiversity, it is essential consider the ecological impacts, given that freshwater decapods are threatened by anthropic activities, and few data are available for many of the species40. The species of the genus Macrobrachium were the most numerous of the crustaceans recorded in the present study, possibly due to the use of baits such as babaçu nut pulp in the traps. A previous study of Macrobrachium amazonicum41 found that this type of bait was consistently more effective than other baits, in terms of the volume of shrimp captured. In this context, it is important to note that Macrobrachium includes an enormous diversity of freshwater shrimp species, a taxonomically diverse group, characterized by their morphological variation and geographic distribution42which may determine different behavioral responses and trapping patterns, depending on the region and the characteristics of the individual shrimp. The presence and wellbeing of species of this genus provide important insights into the most ample level of the ecological impacts of humanas activities on the freshwater systems of the Amazon basin43.
Mining has been impacting the river basins in the study area for almost 50 years and, while the impacts of this activity on the local habitats may have created unique conditions that support a considerable diversity of crustacean species44they have likely also contributed to the contamination of these environments with metals. A previous study showed that even species of the genus Macrobrachium may be affected directly by metals such as cadmium and arsenic, given the significant bioaccumulation of these elements in shrimp exposed to mining residues45. Less common species of the genus, such as Macrobrachium brasiliense and Macrobrachium surinamicum, and even the presence of the crab, Valdivia serrata, which has been recorded widely in Neotropical rivers, further emphasize the crustacean diversity of the study region.
The genus Sylviocarcinus is also characteristic of the region’s crustacean fauna and was represented here by Sylviocarcinus devillei and Sylviocarcinus pictus. Sylviocarcinus pictus, in particular, plays a significant role in freshwater ecosystems, by contributing to the decomposition of organic matter, which results in an increase in the availability of nutrients for other aquatic organisms46. The parental care strategies of this species also contribute to the survival of the juveniles and reduce their dispersal, which guarantees the integrity of local populations and their genetic diversity, and, ultimately, the ecological success of the species in these habitats47.
Two species – the shrimp Macrobrachium nattereri and the crab Fredius reflexifrons – may have been identified from the Carajás region for the first time in the present study. Previous studies24,48 indicated that Macrobrachium nattereri is found frequently in sediment-rich freshwater environments with fast-flowing currents. The discovery of Macrobrachium nattereri in Carajás indicates the resilience of this species and the need for further research for a better understanding of its adaptations to local conditions.
On the other hand, Fredius reflexifrons is less well known outside areas of várzea swamp and river margins in the Neotropical region, and the presence of this species in Carajás represents a significant extension of its known distribution. It seems likely that this species was always present in the study region, but had not been identified in previous studies, due either to the restricted scope of these studies or simply because they did not sample the habitats in which the species is found. Carajás is located in a remote area that is difficult to reach, and any research within this region, including the present study area, requires specific authorization from the environmental agencies responsible for the administration of the area.
Any records from Carajás are of considerable zoogeographic importance, however, given that they extend the known distribution of crustaceans in the Amazon biome, even in highly degraded environments. This is consistent with the findings of previous studies24which highlighted the need for regional investigations in order to fill the knowledge gaps that exist on the decapod fauna of Brazil.
The present study also demonstrated the relationship between seasonality and impact levels on the crustacean assemblages. High concentrations of the metals As, Fe, Pb, and Mn were recorded in the impacted areas in the rainy season, which indicates that the increase in precipitation potentializes the lixiviation that is responsible for the formation of the sedimentary deposits, which eventually reach surface waters under conditions that favor their deposition in the sediment49,50.
The temperature and Al concentration were higher in the dry season in comparison with the rainy season, especially in the control areas, which can be explained by the stabilization of the sediments and the reduction in the transport of the material, resulting from the reduced discharge of the rivers and the lack of more intense disturbance. A lack of internal disturbance, such as flooding or human activities, allows the sediment to remain stable, which, in turn, supports natural processes of sedimentation and maintains the ecological equilibrium of the aquatic systems, the quality of the water, and the efficiency of the biogeochemical cycles51. Under these stable conditions, the heavy metals may undergo a transition to less bioavailable forms52.
The distribution of aluminum, an element that is naturally abundant in the region, would also be influenced by the resuspension of the sediments and biological incorporation, which indicates that the reduced turbulence and sediment transport in the dry season would likely result in an increase in the immobilization of this metal53. Most of the elements found in Carajás are determined by the presence of material that originated in the soil, which means that the concentrations of Al, Fe, and Mn reflect these lithogenic sources, being associated with the upheaval of the sediments resulting from both the legal and the illegal mining activities (gold prospecting) present in the region54,55.
No significant variation was found in the composition of the crustacean assemblages of the two basins of the study area – the Itacaiúnas and Parauapebas rivers – either between seasons, impacted and control areas or the interaction between these factors. Freshwater shrimp and crabs are able to tolerate significant seasonal fluctuations in conditions, reflecting the variation in their biochemical responses, environmental factors, the accumulation of metals, and their response to stress56. The resilience of this crustacean fauna may be related to the ecological roles of the different species and their adaptability to fluctuating environmental conditions57given that they occupy a an ample range of niches, varying from marine to terrestrial environments, which support their capacity to adapt to different conditions58.
The species recorded in this study have different strategies that may explain the maintenance of the composition of the assemblages even in areas contaminated by metals. The species Sylviocarcinus pictus, Sylviocarcinus devillei, Valdivia serrata and Fredius reflexifrons develop directly without a planktonic larval stage, which increases the local retention of juveniles. This direct development minimizes their exposure to environmental stresses, such as contaminants and predation, that free-living larvae face. By remaining in or near the parental habitat, these species can better adapt to local conditions, potentially increasing their survival and fitness compared to those with dispersive larval stages59.
In contrast, adult mobility and reproductive strategies also play an important role in the resilience of shrimp species to environmental stressors. The mobility of adult Macrobrachium species, including Macrobrachium amazonicum, Macrobrachium jelskii, Macrobrachium surinamicum, Macrobrachium brasiliense, and Macrobrachium nattereri, varies significantly. Notably, Macrobrachium surinamicum exhibits reproductive migrations, particularly from freshwater to brackish environments for larval development, which is crucial for its life cycle60. The composition of shrimp assemblages remains stable despite environmental stressors due to their high adaptability and reproductive plasticity. For example, populations of Macrobrachium amazonicum can thrive under varying salinity and temperature conditions, which may buffer them against environmental change61.
The total crustaceans abundance had a non-linear relationship with high temperatures, which indicates that an increase in this variable may limit the number of individuals present in the environment. Increasing temperatures have a negative effect on aquatic life, including freshwater decapod crustaceans, given that they provoke physiological stress and alter trophic interactions, which may lead to declining abundance62. This pattern, which had been recorded in a previous study of the shrimp Macrobrachium nipponense (De Haan, 1849), may be associated with temperature-dependent alterations in biological processes, which indicates that thermal stress may have a significant influence on the metabolism and survival of crustaceans63.
The Mn concentration also influenced crustacean abundance in a similar manner. Exposure to high concentrations of this element may have a range of consequences for crustaceans, including the suppression of their immunological system64. In the present study, high concentrations of manganese were responsible for a reduction in the abundance of the species. While essential for metabolic processes (as discussed below), Mn becomes toxic at high concentrations, affecting the health and the population dynamics of aquatic organisms65.
The analysis of the alpha and beta diversity of the crustacean assemblages revealed a negative, but non-linear relationship with temperature. The relationship between temperature and species richness is typically non-linear, with increasing temperatures leading to the loss of species in certain ecosystems66. This reflects the role of the temperature as an important factor of environmental stress. Ecological metabolic theory indicates that higher temperatures can reduce species richness due to the increase in metabolic rates, in particular in taxa with short generation times67. In addition, while a degree of variation was observed in the levels of the metals As, Al, Pb, Fe, and Mn, none of the differences were significant, which confirms that the temperature had a direct and predominant influence on crustacean diversity in the study area. This implies that, while the toxicity of the metals does affect the crustacean populations, the immediate effects of the shifts in temperature typically have precedence, especially in the context of climate change68.
In the RDA, the abundance of Sylviocarcinus pictus, Sylviocarcinus devillei, Macrobrachium. jelskii, and Macrobrachium amazonicum was related positively with the temperature and As concentrations, but negatively with Al, which indicates that temperature and As may function as favorable environmental factors for these species, whereas Al represents the least favorable condition or may even function as a limiting factor. Fluctuations in temperature may alter metabolic rates and the response of the crustaceans to stress, leading to shifts in behavior and survival rates69. Similarly, the horizontal transfer of the arsenite methyltransferase genes has facilitated the adaptation of many different forms of life, including crustaceans, given that this exchange of genes permits the organism to metabolize arsenic more efficiently, facilitating survival under toxic conditions70.
The negative relationship between the species and the Al concentrations can be accounted for by its complex environmental behavior, and its toxicity in aquatic environments, where high levels of Al may represent a limiting factor. This factor has an adverse effect on the reproduction and survival of the crustaceans, given that the ecotoxicity of the Al is influenced by its speciation and bioavailability, which may vary amply, potentially limiting freshwater decapod populations71.
On the other hand, Macrobrachium surinamicum, Macrobrachium brasiliense, Valdivia serrata, Macrobrachium nattereri, and Fredius reflexifrons all presented a positive relationship with the Al concentrations, and a negative association with temperature and As. While most previous studies have focused on bioaccumulation and the toxic effects of aluminum in freshwater crustaceans, highlighting the negative impacts of this metal5,72the observed patterns indicate that the different groups of species may vary considerably in terms of their tolerance of environmental impacts and ecological preferences. In particular, these species may either be more tolerant of the presence of aluminum in the environment or they inhabit areas in which the concentrations of this metal are naturally relatively high.
Overall, then, the results of the present study confirm that the diversity and distribution of crustaceans in the Itacaiúnas and Parauapebas basins are influenced by the seasonal variation in climate and the environmental impacts of local mining. These findings highlight the resilience of these communities and the urgent need for further research, which analyzes in more detail the adaptation mechanisms and tolerance of the local crustacean species to different environmental and anthropogenic factors.
Data availability
Data supporting the findings of this study are available upon request from the corresponding author, KM.
References
Ye, H., Zeng, C., Tsutsui, N. & Dircksen, H. Editorial: Crustacean reproductive physiology and its applications. Front. Physiol. 13, 85 (2022).
Wacker, A. & Harzsch, S. Crustaceans in a changing world. Zoology 146, 125921–125921 (2021).
Rivera-Pérez, J. M., Cruz, G. M. & Juen, L. Habitat integrity and interspecific relationships affect the diversity of freshwater crabs (Decapoda: Brachyura: Pseudothelphusidae, Trichodactylidae) in eastern Amazon streams. J. Crustac. Biol. 44, 11 (2024).
Gray, B. C. T., Champion, C., Broadhurst, M. K., Coleman, M. A. & Benkendorff, K. Effects of contaminants and flooding on the physiology of harvested estuarine decapod crustaceans: A global review and meta-analysis. Environ. Pollut. 364, 125347 (2025).
Rodrigues, P., De Almeida., Ferrari, R. G., Kato, L. S., Hauser-Davis, R. A. & Conte-Junior, C. A. A systematic review on metal dynamics and marine toxicity risk assessment using crustaceans as bioindicators. Biol. Trace Elem. Res. 200, 881–903 (2021).
Ihunwo, O. C. et al. Metal accumulation in two crab species from the Woji creek (Nigeria) and human health risk assessment due to crab consumption: Callinectes sapidus and Cardisoma armatum. Watershed Ecol. Environ. 4, 169–176 (2022).
Christodoulou, M., Grave, S. D., Vink, Α & Arbizu, P. M. Taxonomic assessment of deep-sea decapod crustaceans collected from polymetallic nodule fields of the East Pacific Ocean using an integrative approach. Marine Biodivers. 52, (2022).
Barros, B. D. C. V., Pereira, S. D. F. P., Palheta, D. D. C. & Silva, C. S. Determinação de cd, cr e al Em Tecido de Peixes provenientes do Rio gelado/apa, Floresta de Carajás-PA. Holos Environ. 10, 195 (2010).
Wu, X., Fan, Y., Ma, K., Li, J. & Feng, J. Transcriptomic, histological and biochemical analyses of Macrobrachium nipponense response to acute heat stress. (2022). https://doi.org/10.21203/rs.3.rs-2320616/v1
Sousa, P. E. S. et al. Macroelementos em peixes de rios da Amazônia Oriental: estudo de caso na Região de Integração de Carajás. Revista Acadêmica Ciência Animal 20, 63 (2022).
Paulo, J., Antônio, M., Cezar, C. & Hamid, S. S. Mining and agriculture in municipalities with mineral-based economy in Brazil. Observatório De La. Economía Latinoam. 21, 23733–23755 (2023).
Figueiredo, R. C., Lobato, L. M., Rosière, C. A. & Hagemann, S. Petrographic and geochemical studies at giant Serra Norte iron ore deposits in the Carajás mineral province, Pará state, Brazil. Geonomos https://doi.org/10.18285/geonomos.v19i2.54 (2013).
Instituto Chico Mendes de Conservação da Biodiversidade – ICMBio. Fauna Da Floresta Nac. De Carajás: Fauna Silvestre 1, 257 (2020).
Dantas, C. I. et al. Os impactos ambientais causados pela atividade mineradora. (2021). https://www.confea.org.br/midias/uploads
Rajak, P. et al. Toxic contaminants and their impacts on aquatic ecology and habitats. Elsevier eBooks https://doi.org/10.1016/b978-0-323-95282-8.00040-7 (2024).
Damous, N. R., Wagener, A., de Patchineelam, L. R., Wagene, K. & S. R. & Baseline studies on water and sediments in the copper mining region of Salobo-3A, carajás: amazon, Brazil. J. Braz. Chem. Soc. 13, 140–150 (2002).
Kolarova, N. & Napiórkowski, P. Trace elements in aquatic environment. Origin, distribution, assessment and toxicity effect for the aquatic biota. Ecohydrol. Hydrobiol. 21, 655–668 (2021).
Saraiva, A. M. et al. Desafios atuais Da modelagem preditiva de distribuição de espécies. Rodriguésia 63, 733–749 (2012).
Cruz, F. M. Avaliação Geoambiental e hidrológica Da Bacia do Rio itacaiunas, PA. Ufpa.br. doi: (2025). http://repositorio.ufpa.br/jspui/handle/2011/10980
Alvares, C. A., Stape, J. L., Sentelhas, P. C., de Moraes Gonçalves, J. L. & Sparovek, G. Köppen’s climate classification map for Brazil. Meteorol. Z. 22, 711–728 (2013).
Viana, P. L. et al. Flora Das Cangas Da Serra Dos carajás, pará, brasil: história, área de estudos e metodologia. Rodriguésia 67, 1107–1124 (2016).
Corrêa, G. R. et al. Caracterização de solos derivados de Rochas máficas Na Serra de Carajás. Bol. Do Museu Paraense Emílio Goeldi - Ciências Naturais. 11, 33–47 (2017).
Instituto Chico Mendes de Conservação da Biodiversidade – ICMBio. Plano de manejo da Floresta Nacional de Carajás (Diagnóstico). Brasília: ICMBio. 1. (2016).
Melo, G., Magalhães, C., Bond-Buckup, G. & Buckup, L. Manual de identificação dos crustacea decapoda de água doce do Brasil. Repositorio.usp.br (2003). https://repositorio.usp.br/item/001342495
Valencia, D. M. & Campos, M. R. Freshwater prawns of the genus Macrobrachium bate, 1868 (Crustacea: decapoda: Palaemonidae) of Colombia. Zenodo (CERN Eur. Organ. Nuclear Research). https://doi.org/10.5281/zenodo.176325 (2007).
Sampaio, S. R., Nagata, J. K., Lopes, O. L. & Masunari, S. Camarões de águas continentais (Crustacea, Caridea) da Bacia do Atlântico oriental paranaense, com chave de identificação tabular. Acta Biol. Paranaense 38, 85 (2009).
Method 3050B acid digestion of sediments, sludges, and soils 1.0 scope and application. https://www.epa.gov/sites/default/files/2015-06/documents/epa-3050b.pdf
Zuur, A. F., Ieno, E. N. & Elphick, C. S. A protocol for data exploration to avoid common statistical problems. Methods Ecol. Evol. 1, 3–14 (2010).
Mulyanto, A. D. mVIF package: A tool for detecting multicollinearity without dependent variables. MATICS: Jurnal Ilmu Komputer Dan. Teknologi Informasi (Journal Comput. Sci. Inform. Technology). 14, 70–73 (2022).
Legendre, P., Legendre, L. & Edition Numerical Ecology, 2nd English Elsevier, Amsterdam, 1-853. - References - Scientific Research Publishing. Scirp.org (1998). https://www.scirp.org/reference/referencespapers?referenceid=3103110 (2021).
Oksanen, J. et al. Package ‘vegan’ Title: Community Ecology Package_. R package version 2.6-4, (2022). https://CRAN.R-project.org/package=vegan
Rigby, R. A. & Stasinopoulos, D. M. Generalized additive models for location, scale and shape. J. Royal Stat. Soc. Ser. C: Appl. Stat. 54, 507–554 (2005).
Buuren, S. & Fredriks, M. Worm plot: a simple diagnostic device for modelling growth reference curves. Stat. Med. 20, 1259–1277 (2001).
Rakocinski, C. F., Lyczkowski-Shultz, J. & Richardson, S. L. Ichthyoplankton assemblage structure in Mississippi sound as revealed by canonical correspondence analysis. Estuar. Coastal. Shelf Sci. 43, 237–257 (1996).
RakocinskI, C. F., Lyczkowski-Shultz, J. & Richardson, S. L. Ichthyoplankton assemblage structure in Mississippi sound as revealed by canonical correspondence analysis. Estuar. Coast. Shelf Sci. 43, 237–257 (1996).
Yogback, G. E. et al. Biodiversity of freshwater shrimp of the genus Macrobrachium (Decapoda Palaemonidae) in the Nyong Basin of Cameroon. Int. J. Environ. Agric. Biotechnol. 3, 85 (2018).
Campos, M. R. Estudio taxonómico de Los crustáceos Decápodos de Água Dulce (Trichodactylidae, Pseudothelphusidae) de casanare, Colombia. Revista De La. Acad. Colombiana De Ciencias Exactas Físicas Y Naturales. 34, 257–266 (2023).
Cumberlidge, N., Alvarez, F. & Villalobos, J. L. Results of the global conservation assessment of the freshwater crabs (Brachyura, Pseudothelphusidae and Trichodactylidae): The Neotropical region, with an update on diversity. ZooKeys 457, 133–157 (2014).
Christodoulou, M. & Anastasiadou, C. Theodoros tzomos. Freshwater shrimps (Atyidae, palaemonidae, Typhlocarididae) in the broader mediterranean region: distribution, life strategies, threats, conservation challenges and taxonomic issues. Springer eBooks. 199–236. https://doi.org/10.1007/978-3-319-42527-6_7 (2016).
Magalhães, C., Campos, M. R., Collins, P. A. & Mantelatto, F. L. Diversity, distribution and conservation of freshwater crabs and shrimps in South America. (2015). https://doi.org/10.1007/978-3-319-42527-6_10.9
Bentes, B. et al. Experimental study on the efficiency of different types of traps and baits for harvesting Macrobrachium amazonicum (Heller, 1862). Acta Scientiarum Biol. Sci. 36, 383–383 (2014).
Molina, W. F. et al. Molecular cytogenetic analysis in freshwater prawns of the genus Macrobrachium (Crustacea: decapoda: Palaemonidae). Int. J. Mol. Sci. 21, 2599–2599 (2020).
Galvão, R. C. F. et al. Freshwater shrimps (Macrobrachium depressimanum and Macrobrachium jelskii) as biomonitors of Hg availability in the Madeira River Basin, Western Amazon. Repositorio.ufc.br. (2018).
Karanovic, T., Eberhard, S. M., Perina, G. & Callan, S. Two new subterranean ameirids (Crustacea: Copepoda : Harpacticoida) expose weaknesses in the conservation of short-range endemics threatened by mining developments in Western Australia. Invertebrate Syst. 27, 540–540 (2013).
Cresswell, T., Smith, R., Dayanthi, N. & Simpson, S. L. Comparing trace metal bioaccumulation characteristics of three freshwater decapods of the genus Macrobrachium. Aquat. Toxicol. 152, 256–263 (2014).
Mantelatto, F. L., Faganello, G. S., Geremias, H., Robles, R. & Magalhães, C. Unravelling genetic structure of the Neotropical freshwater crab Sylviocarcinus pictus (Decapoda, Trichodactylidae) along the rapids-dwelling Xingu river, Amazon basin. Acta Zool. https://doi.org/10.1111/azo.12533 (2025).
Sant’Anna, B. S., Takahashi, H. & Hattori, G. Y. Parental care in the freshwater crab Sylviocarcinus pictus (Milne-Edwards, 1853). Open. J. Ecol. 3, 161–163 (2013).
Magalhães, C. Família Trichodactylidae (caranguejos braquiúros Da Água doce). Os crustáceos do Rio Grande do Sul. Porto Alegre. 1, 486–490 (1999).
Oliveira, R. C. B. & De; Marins, R. V. Trace metals dynamics in soil and estuarine sediment as a major factor controlling contaminants. Contribution to the aquatic environment: review. Revista Virtual De Química. 3, 2 (2011).
Paganini, É. R., Manzini, F. F. & Maria,. Comportamento da concentração do metal manganês no solo de acordo com a sazonalidade. Periódico Eletrônico Fórum Ambiental da Alta. Paulista 11, 89 (2015).
López-Tarazón, J. A. & Byrne, P. Perk, M. Preface. J. Soils Sediments. 17, 2577–2581 (2017). van der.
Liu, Y., Tang, Y., Zhong, G. & Zeng, H. A comparison study on heavy metal/metalloid stabilization in Maozhou river sediment by five types of amendments. J. Soils Sediments. 19, 3922–3933 (2019).
van Hulten et al. On the effects of circulation, sediment resuspension and biological incorporation by diatoms in an ocean model of aluminium. Biogeosciences 11, 3757–3779 (2014).
Baize, D. & Thibault Sterckeman. Of the necessity of knowledge of the natural pedo-geochemical background content in the evaluation of the contamination of soils by trace elements. Sci. Total Environ. 264, 127–139 (2001).
Souza-Filho, P. W. M. et al. Four decades of land-cover, land-use and hydroclimatology changes in the Itacaiúnas river watershed, southeastern Amazon. J. Environ. Manage. 167, 175–184 (2016).
Pereira, P., Pablo, H., de Subida, M. D., Vale, C. & Pacheco, M. Bioaccumulation and biochemical markers in feral crab (Carcinus maenas) exposed to moderate environmental contamination—The impact of non-contamination‐related variables. Environ. Toxicol. 26, 524–540 (2010).
Zhang, K. et al. Temporal and Spatial variations in zooplankton communities in relation to environmental factors in four floodplain lakes located in the middle reach of the Yangtze river, China. Environ. Pollut. 251, 277–284 (2019).
Marin, I. N. & Tiunov, A. V. Terrestrial crustaceans (Arthropoda, Crustacea): taxonomic diversity, terrestrial adaptations, and ecological functions. ZooKeys 1169, 95–162 (2023).
Pechenik, J. On the advantages and disadvantages of larval stages in benthic marine invertebrate life cycles. Mar. Ecol. Prog. Ser. 177, 269–297 (1999).
Lima, J., de Cruz, F., Silva, L. M. & M. C. M. & A. Da. Reproductive biology of Macrobrachium surinamicum (Decapoda: Palaemonidae) in the Amazon river mouth. Acta Amazonica. 45, 299–306 (2015).
Anger, K. Neotropical Macrobrachium (Caridea: Palaemonidae): on the biology, origin, and radiation of freshwater-invading shrimp. J. Crustac. Biol. 33, 151–183 (2013).
Johnson, M. F. et al. Rising water temperature in rivers: Ecological impacts and future resilience. WIREs Water 11, 8 (2024).
Wu, X., Fan, Y., Ma, K., Li, J. & Feng, J. Transcriptomic, histological and biochemical analyses of Macrobrachium nipponense response to acute heat stress. (2022). https://doi.org/10.21203/rs.3.rs-2320616/v1
Hernroth, B., Tassidis, H. & Baden, S. P. Immunosuppression of aquatic organisms exposed to elevated levels of manganese: from global to molecular perspective. Dev. Comp. Immunol. 104, 103536 (2020).
Baden, S. P. & Neil, D. M. Accumulation of manganese in the haemolymph, nerve and muscle tissue of Nephrops norvegicus (L.) and its effect on neuromuscular performance. Comp. Biochem. Physiol. Part. Mol. Integr. Physiol. 119, 351–359 (1998).
Hillebrand, H., Burgmer, T. & Biermann, E. Running to stand still: temperature effects on species richness, species turnover, and functional community dynamics. Mar. Biol. 159, 2415–2422 (2011).
Rajakaruna, H. & Lewis, M. Do yearly temperature cycles reduce species richness? Insights from calanoid copepods. Theoretical Ecol. 11, 39–53 (2017).
Frederich, M. & Lancaster, E. R. Temperature thresholds of crustaceans in the age of climate change. Apple Acad. Press. eBooks https://doi.org/10.1201/9781003405016-5 (2023).
Jost, J., Podolski, S. & Frederich, M. Enhancing thermal tolerance by eliminating the Pejus range: a comparative study with three decapod crustaceans. Mar. Ecol. Prog. Ser. 444, 263–274 (2012).
Chen, S. C. et al. Recurrent horizontal transfer of arsenite methyltransferase genes facilitated adaptation of life to arsenic. Sci. Rep. 7, 8 (2017).
Gandhi, N. & Diamond, M. L. Freshwater ecotoxicity characterization factors for aluminum. Int. J. Life Cycle Assess. 23, 2137–2149 (2018).
Malev, O. et al. Genotoxic, physiological and immunological effects caused by temperature increase, air exposure or food deprivation in freshwater crayfish Astacus leptodactylus. Comp. Biochem. Physiol. C: Toxicol. Pharmacol. 152, 433–443 (2010).
Acknowledgements
We would like to thank the Chico Mendes Institute for Biodiversity Conservation (ICMBIO) for funding the project that generated the data for this study and for all the logistical support during the collection campaigns in the Carajás Mosaic. Author KSM would like to thank the Coordination for the Improvement of Higher Education Personnel (CAPES, Brazil) for its support (Master’s scholarship - Proc 88887.822708/2023-00). Author GQR thanks FAPESP for its support (Grants 2019/08474-8, 2022/10765-3 and 2023/01589-0), and for a CNPq-Brazil productivity grant, and authors AOM and FMF thank CNPq (PPBio - Proc.442421/2023-0).
Funding
Research funded by Cooperation Agreement No. 04/2018 between ICMBio, Salobo Metais S.A and Funtec-DF. This research is mainly supported by the Coordenação de Aperfeiçoamento de Pessoal de Nível Superior (CAPES, Brazil), through the Postgraduate Program in Aquatic Ecology and Fisheries (PPGEAP), Center for Aquatic Ecology and Fisheries of the Amazon (NEAP), Federal University of Pará (UFPA, Brazil).
Author information
Authors and Affiliations
Contributions
KSM: Conceptualization, Writing, Data curation, Data analysis, Validation, Proofreading, Image production; CRO: Writing, Project administration, Sampling; Writing review; AOM: Data curation, Data analysis, Validation, Writing review, Image production; FMF: Data curation, Data analysis, Validation, Writing review, Image production; LLA: Writing review; MCP: Writing review; LMC: Writing review; GQR: Conceptualization, Writing review; BBS: Conceptualization, Writing, Project administration, Writing review.
Corresponding author
Ethics declarations
Consent for publication
All the authors declare consent.
Competing interests
The authors declare no competing interests.
Conflict of interest
None of the authors declares any conflict of interest.
Ethical approval
The study was conducted under the appropriate ethical and legal authorizations, including approval from the CEUA (Animal Use Committee) of the Federal University of Pará and research authorizations issued by SISBIO for activities within Federal Conservation Units.
Consent to participate
All the authors declare consent.
Additional information
Publisher’s note
Springer Nature remains neutral with regard to jurisdictional claims in published maps and institutional affiliations.
Electronic supplementary material
Below is the link to the electronic supplementary material.
Rights and permissions
Open Access This article is licensed under a Creative Commons Attribution-NonCommercial-NoDerivatives 4.0 International License, which permits any non-commercial use, sharing, distribution and reproduction in any medium or format, as long as you give appropriate credit to the original author(s) and the source, provide a link to the Creative Commons licence, and indicate if you modified the licensed material. You do not have permission under this licence to share adapted material derived from this article or parts of it. The images or other third party material in this article are included in the article’s Creative Commons licence, unless indicated otherwise in a credit line to the material. If material is not included in the article’s Creative Commons licence and your intended use is not permitted by statutory regulation or exceeds the permitted use, you will need to obtain permission directly from the copyright holder. To view a copy of this licence, visit http://creativecommons.org/licenses/by-nc-nd/4.0/.
About this article
Cite this article
Morais, K.S., de Oliveira, C.A.C.R., Marques, A.d. et al. Composition of the freshwater decapod crustacean communities in an area of mining in Brazilian Amazonia and the variation related to environmental parameters. Sci Rep 15, 23715 (2025). https://doi.org/10.1038/s41598-025-08951-x
Received:
Accepted:
Published:
Version of record:
DOI: https://doi.org/10.1038/s41598-025-08951-x









