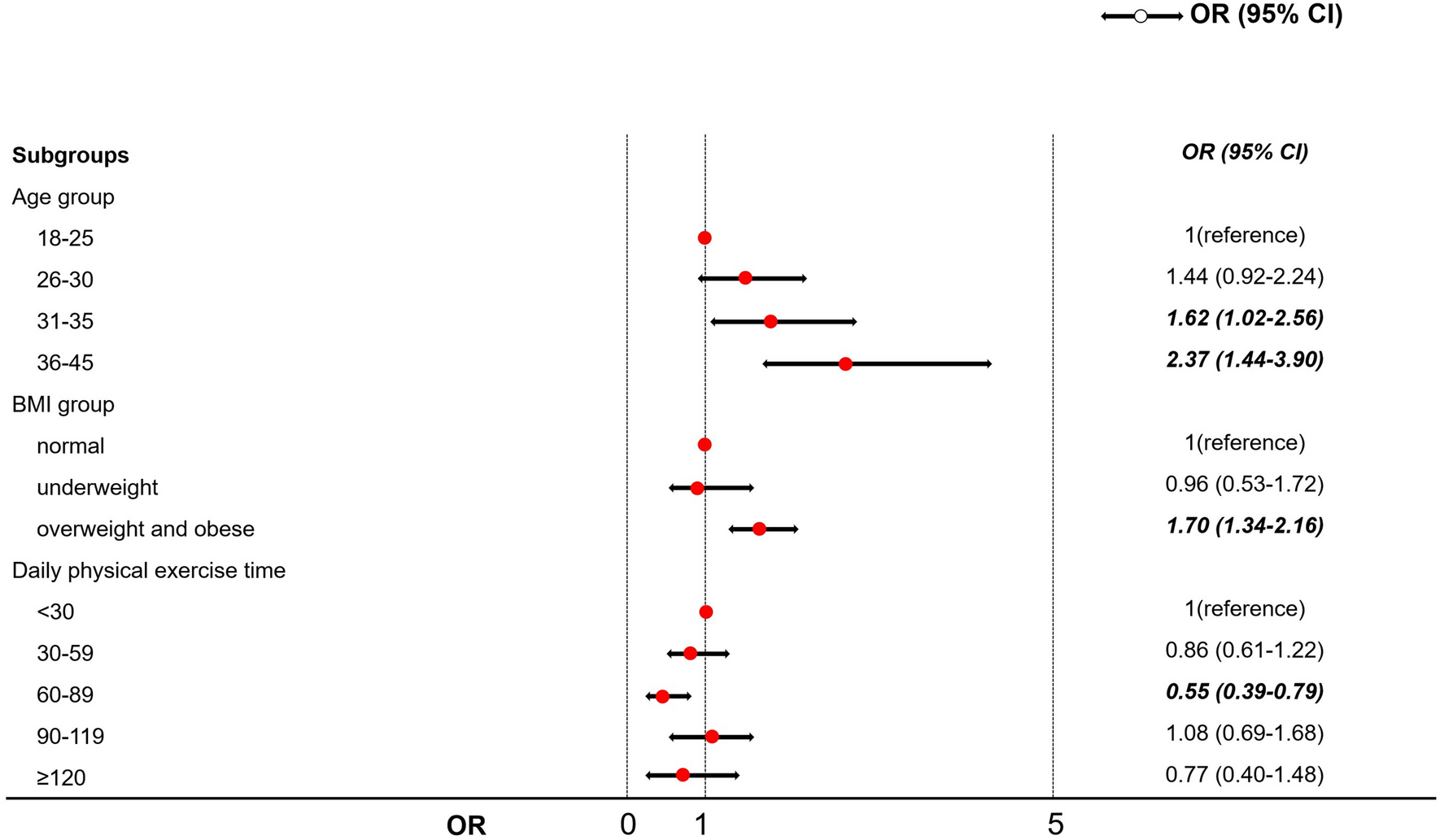
Fig. 3

Factors associated with the trajectory of high abnormal plasma glucose percentage based on logistic regression analysis among GDM women. Adjusted covariates include age group, education group, BMI group, pregnant status, daily physical exercise time and weight gain in gestation. The bold values indicate the OR was statistically significant (P < 0.05). BMI body mass index.