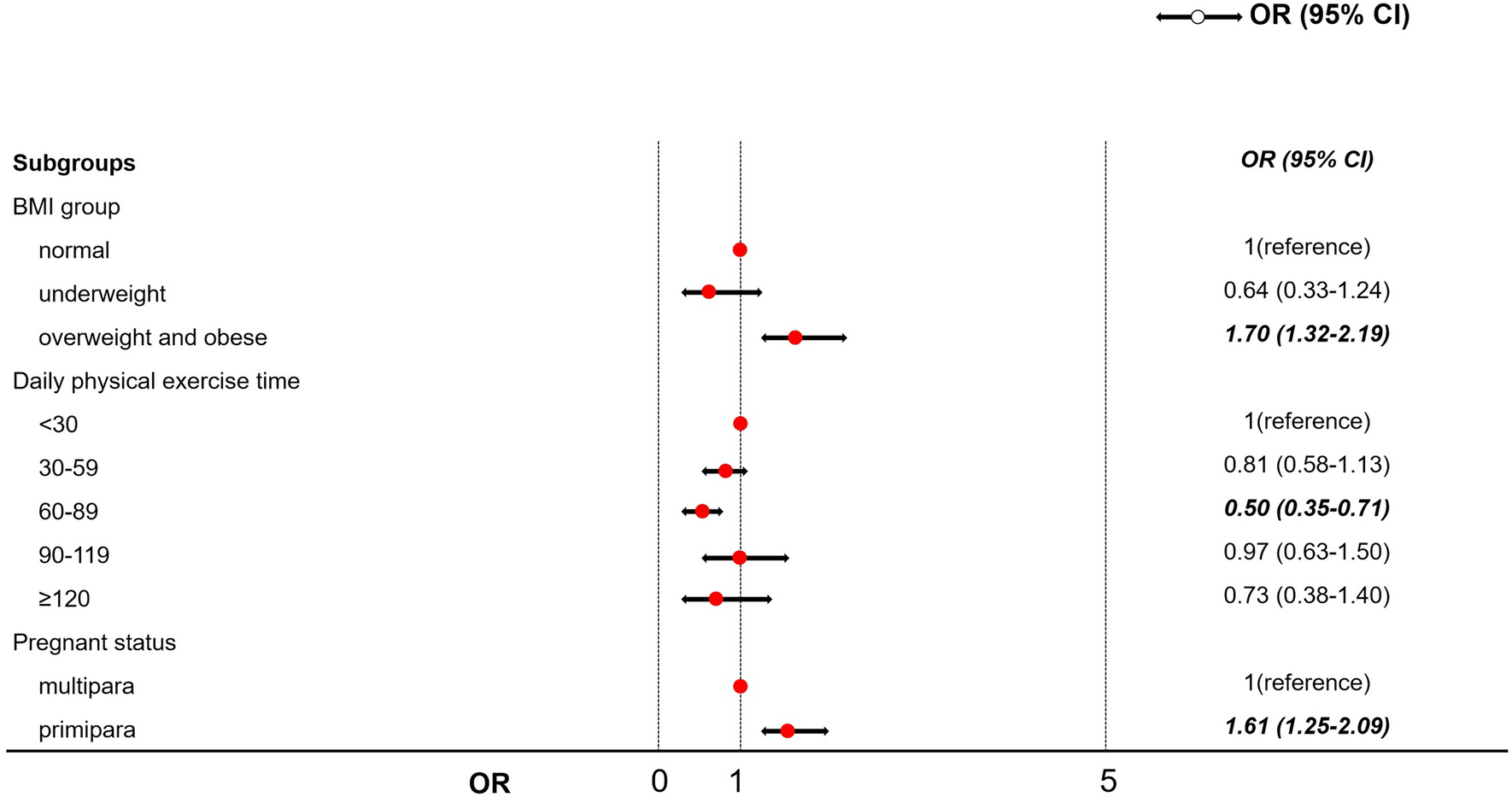
Fig. 4

Factors associated with adverse pregnancy outcomes based on logistic regression analysis among GDM women. Adjusted covariates include age group, BMI group, pregnant status, daily physical exercise time, types of physical activity and weight gain in gestation. The bold values indicate the OR was statistically significant (P < 0.05). BMI body mass index.