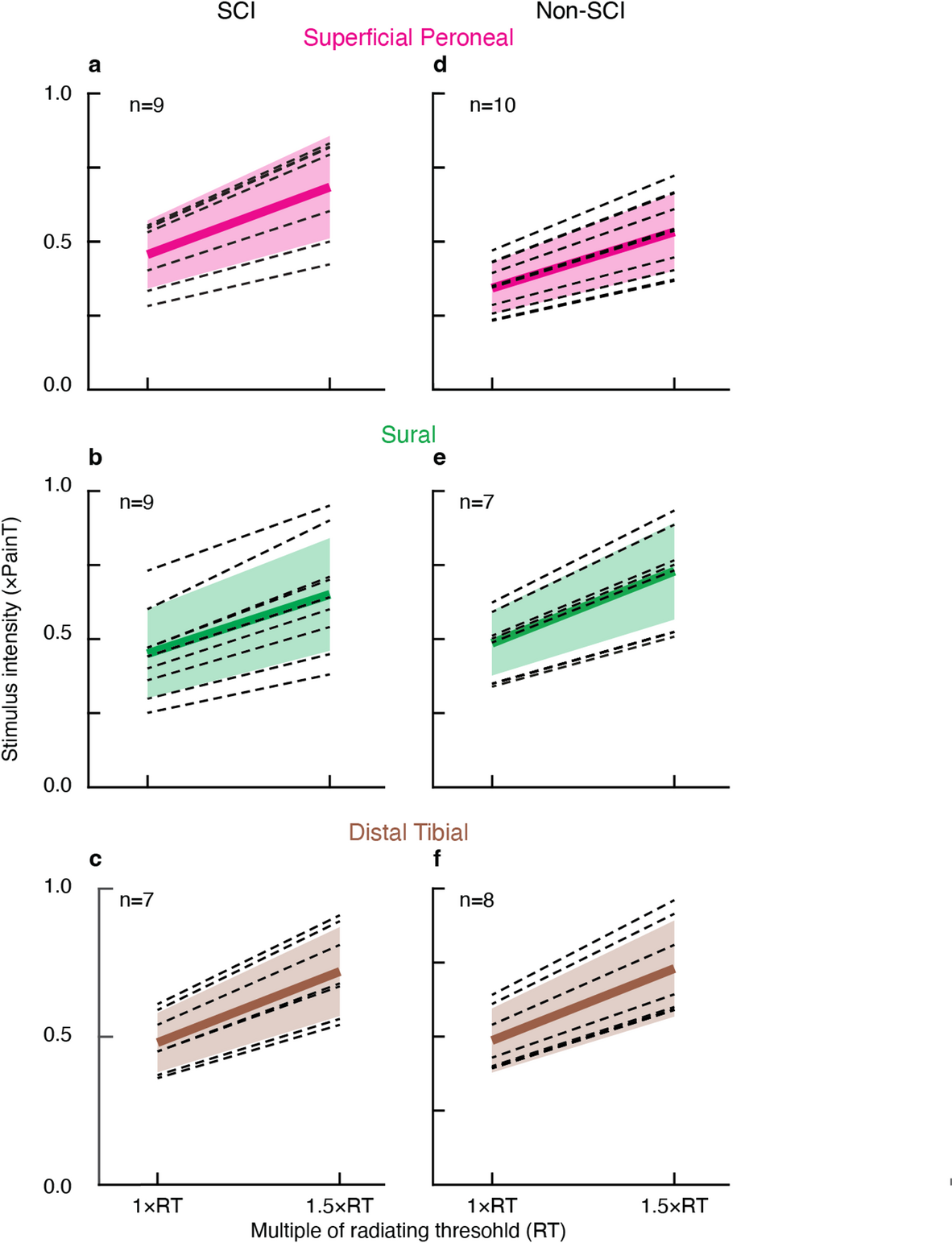
Fig. 1

Expression of cutaneous nerve stimulus intensities used to elicit cutaneous reflexes in the non-noxious intensity space (i.e., below the pain threshold). Group data for 1 × and 1.5 × radiating threshold (RT) stimulus intensities expressed as a multiple of pain threshold (PainT) for the participants with SCI (a-c) and the participants without SCI (d-f). a and d for superficial peroneal nerve (SPn) stimulation, b and e for sural nerve (SRn) stimulation, and c and f for distal tibial nerve (DTn) stimulation. For each panel, each dashed line indicates each participant’s values, a colored solid line indicates the group average, and a shaded band indicates ± 1SD range. The number of participants in each dataset is indicated in top left of each panel.