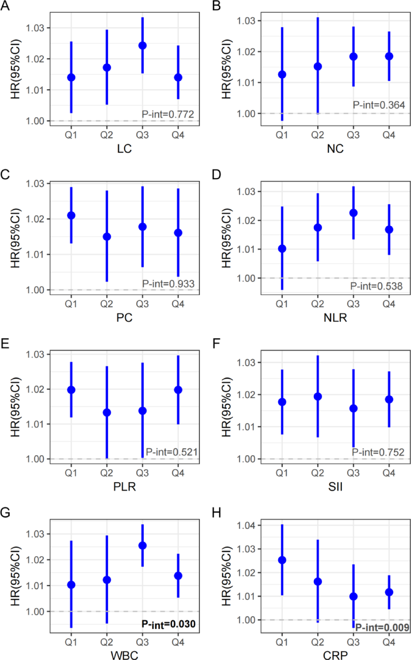
Fig. 2

Associations between serum gamma-glutamyl transpeptidase and lung cancer for stratified participants with different levels of inflammation biomarkers. Pinteraction indicates the P values of the modifier effects of inflammation biomarkers. At the horizontal coordinate, the values Q1, Q2, Q3, and Q4 denote the quartile of inflammation biomarkers. Analyses were adjusted for adjusted for age at recruitment, sex, education level, Townsend deprivation index, body mass index, smoking status, family history of lung cancer, alcohol intake frequency, liver disease status at the baseline. LCĀ lymphocyte count, NC neutrophil count, PC platelet count, NLR neutrophil-to-lymphocyte ratio, PLRĀ platelet-to-lymphocyte ratio, SIIĀ systemic immune-inflammation index, WBCĀ White blood cell count, CRPĀ C-reactive protein.