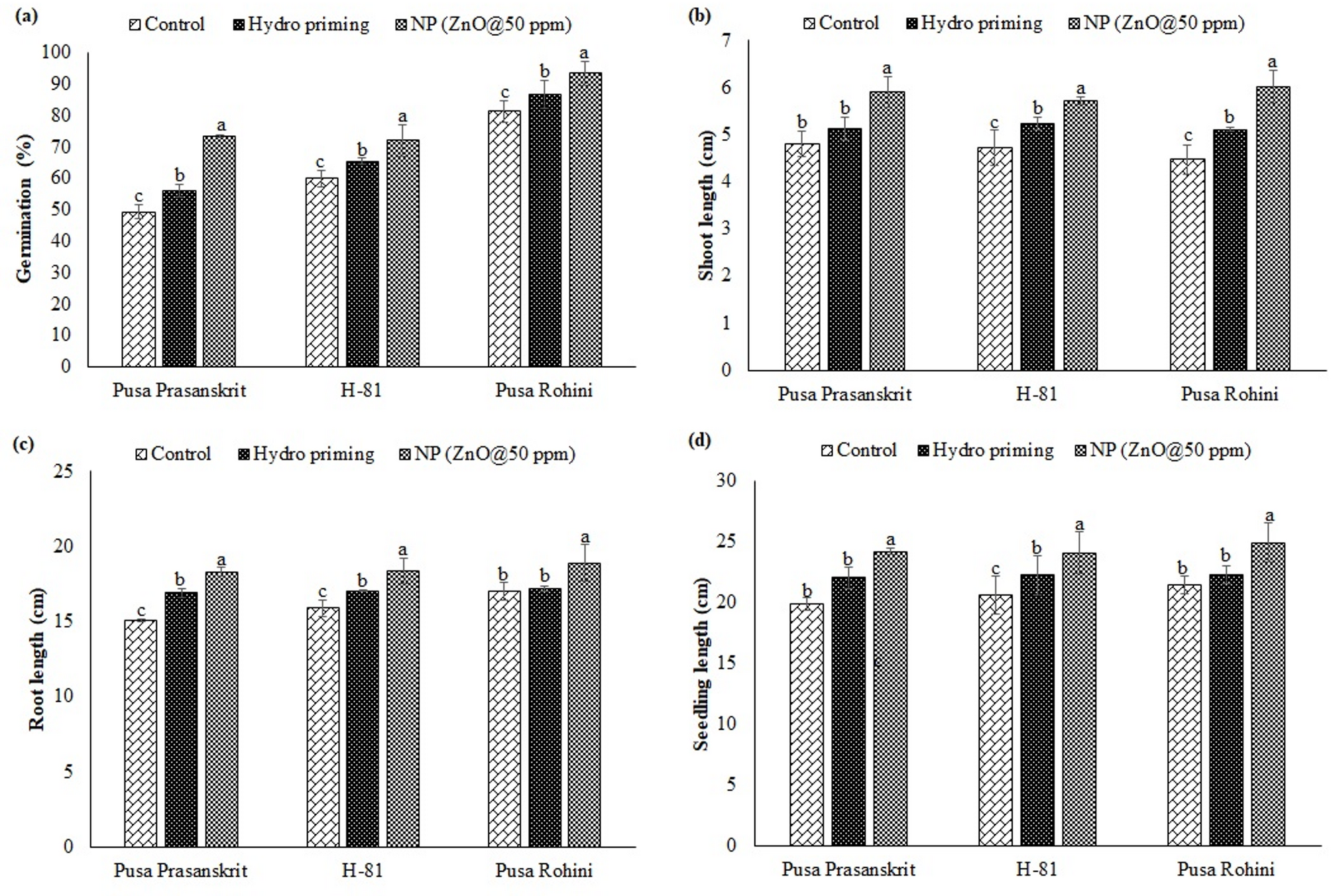
Fig. 2

Effect of ZnO nanoparticles priming (50ppm) on seed quality attributes of tomato compared to hydroprimed and unprimed seeds: a germination (%); b shoot length; c root length and d seedling length in three different varieties. Data presented as mean ± SE (n = 3). Bars with different lowercase letters indicate significant differences among treatment means (p < 0.05, Tukey’s HSD).