Fig. 3

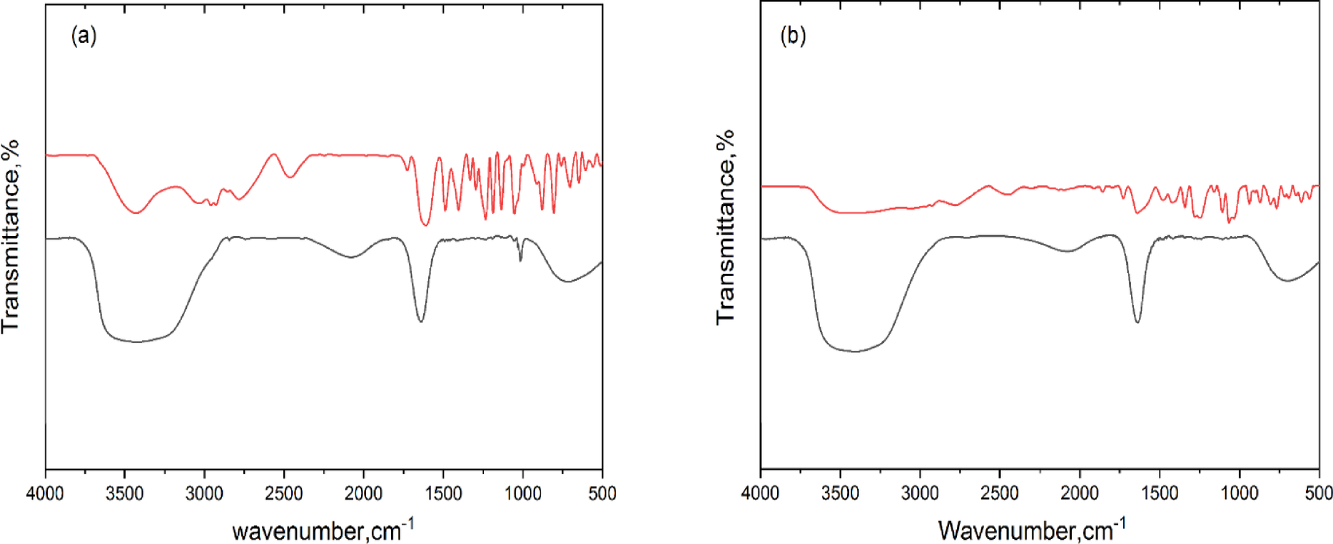
a FT-IR spectra of MCPA-loaded Lignin nanoparticles. b FT-IR spectra 2,4-D-loaded Lignin nanoparticles. Red lines are of free 2,4-D and MCPA, Black lines are of 2,4-D and MCPA- loaded Lignin nanoparticles.

a FT-IR spectra of MCPA-loaded Lignin nanoparticles. b FT-IR spectra 2,4-D-loaded Lignin nanoparticles. Red lines are of free 2,4-D and MCPA, Black lines are of 2,4-D and MCPA- loaded Lignin nanoparticles.