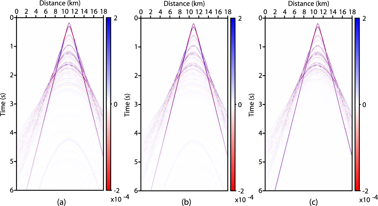
Fig. 14

Synthetic results: (a) Baseline seismic data modeled from baseline seismic models. (b) Monitoring seismic data modeled from Fm. A seismic models 100 years. (c) Monitoring seismic data modeled from Fm. B seismic models after 100 years.

Synthetic results: (a) Baseline seismic data modeled from baseline seismic models. (b) Monitoring seismic data modeled from Fm. A seismic models 100 years. (c) Monitoring seismic data modeled from Fm. B seismic models after 100 years.