Fig. 4

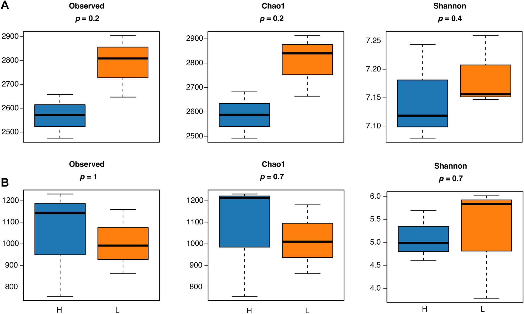
Box plot of microbial alpha diversity. Assessment of overall bacterial (A) and fungal (B) alpha diversity using observed species, Chao1, and Shannon indices.

Box plot of microbial alpha diversity. Assessment of overall bacterial (A) and fungal (B) alpha diversity using observed species, Chao1, and Shannon indices.