Fig. 14
From: Research on the type and expansion mechanism of internal cracks in rocks under the action of PDC

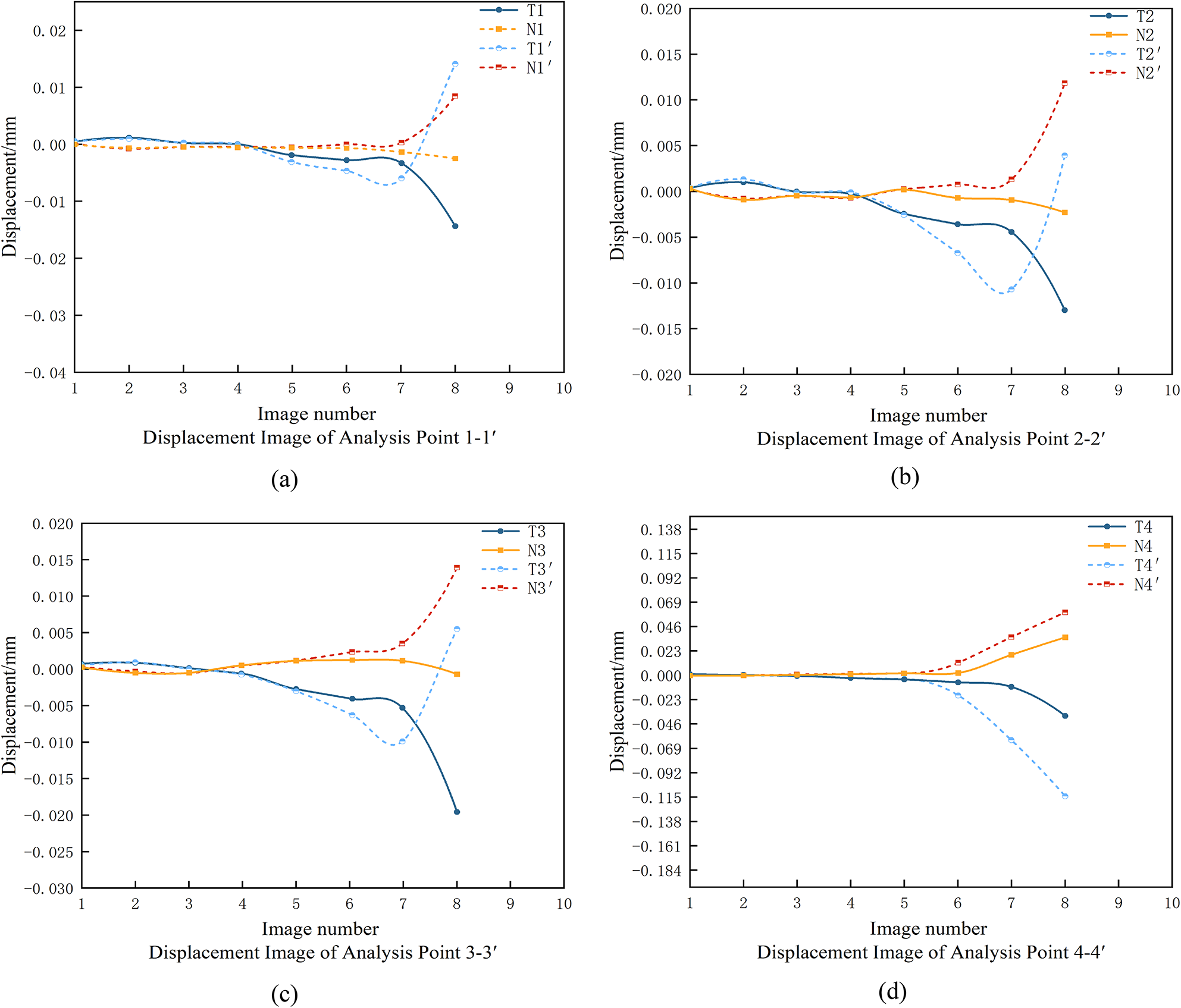
Plot of normal and tangential displacements at symmetry points on both sides of the crack(α=45°).
From: Research on the type and expansion mechanism of internal cracks in rocks under the action of PDC

Plot of normal and tangential displacements at symmetry points on both sides of the crack(α=45°).