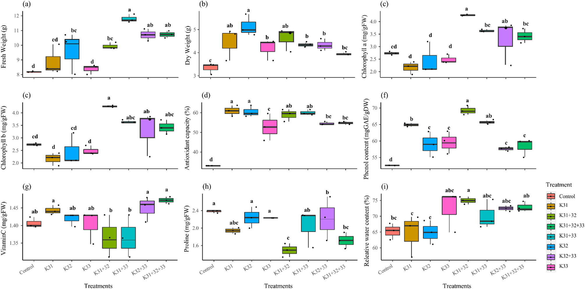
Fig. 1

Effects of bacterial treatments on clove basil plant (O. gratissimum) parameters and biochemical indices. Panel (a) fresh weight (g), (b) dry weight (g), (c) chlorophyll a, e) chlorophyll b, f) antioxidant capacity, g) phenol content, h) proline content, i) Relative Water Content (RWC). The experimental design was randomized complete design with 3 replications. Data analysis was performed using SAS 9.1. Mean values were compared using ANOVA, followed by Duncan’s test (p ≤ 0.05). Different colors represent specific treatments: K31, K32, K33, K31 + 32, K32 + 33, K31 + 33, K31 + 32 + 33. K1, K2 and K3 bacteria from the Pseudomonas genus were isolated from Alcea aucheri, a naturally drought-resistant plant, in a dryland area in the south of Iran.