Abstract
The objective of this study was to identify relevant quantitative parameters to distinguish premature infants with presence of brain injury from conventional electroencephalography (EEG) and predict short-term neuromotor developmental outcomes. This is a prospective cohort study of newborns at 34 weeks’ gestation or earlier. Multichannel EEG recordings were performed within 24 h after birth. The total power (TP), absolute and relative band power (ABP and RBP), alpha/theta ratio (ATR), alpha/delta + theta ratio (ADTR), 95% spectral edge frequency (SEF), approximate entropy (ApEn), coherence and brain symmetry index (BSI) were calculated using the Auto-Neo-EEG signal processing system. Neonates were divided into two groups: with and without brain injury, and clinical outcomes of general movements (GMs) assessment at three months were available for analysis. This study comprised 43 and 65 premature neonates with and without brain injury, respectively. Premature neonates with brain injury had significantly lower TP, ABP-δ, ABP-α, RBP-δ and coherence than those without brain injury (all p values < 0.05). The area under curve (AUC) of TP, ABP-δ, ABP-α, RBP-δ and coherence for predicting brain injury was 0.749, 0.830, 0.721, 0.799 and 0.743, respectively. Preterm infants with brain injury had significantly lower GMs optimality scores (15.6 ± 6.7) than those without brain injury (28.4 ± 8.3) (P = 0.019). For 43 preterm infants with brain injury, TP (P = 0.023) and ABP-δ (P = 0.030) were positively correlated with GMs optimality scores; while coherence (P = 0.039) was the opposite. Compared with those without brain injury, preterm infants with brain injury tended to have reduced spectral power, accompanied by impaired brain network connectivity, and delayed short-term motor development. Automated quantitative EEG (qEEG) analysis provides predictive value for the occurrence of brain injury and outcomes in preterm neonates, among which ABP-δ presented the best predictive performance.
Similar content being viewed by others
Introduction
Preterm newborns are at high risks of brain injury or neurodevelopmental impairment1,2. Electroencephalography (EEG) monitoring is widely used in neonatal intensive care units (NICUs). However, the raw EEG is complicated and difficult to explain for nonneurologists3. Quantitative electroencephalography (qEEG) provides the quantification of raw EEG in both time and frequency domains by utilizing methods such as wavelet analysis and fast Fourier transform, and finally compresses and presents EEG data in the form of a trend graph4,5. Studies have shown that qEEG may be used as an effective method in the evaluation of patients with acute stroke, subarachnoid hemorrhage and hypoxic ischemic encephalopathy6. Nevertheless, there is a paucity of research on the use of qEEG in preterm neonates with brain injury, both domestically and internationally. The field is still in its infancy. Therefore, this study aims to analyze the automatically computed qEEG characteristics in preterm newborns with brain injury within the first 72 h of life. Additionally, the study examined the relationship between qEEG parameters and the general movements (GMs) score obtained at the corrected age of 3 months.
Methods
Study design
Neonates admitted to the NICU of Children’s Hospital of Fudan University from January 2021 to July 2022 with < 34 weeks’ gestational age were recruited for this single-center prospective cohort study. Newborns were excluded from the study for congenital malformations, prenatally confirmed chromosomal abnormalities, inherited metabolic disorders, death within the first week of birth, incomplete EEG data (initial time > 24 h after birth and monitoring duration < 2 h), survival without MRI data during hospitalization, voluntary abandonment of treatment.
Infants underwent cranial MRI scan at term equivalent age (TEA). T1 and T2 images were obtained using Siemens TIM Trio 1.5 T MRI scanner (Siemens Medical Solutions, Erlangen, Germany). Brain injury in premature infants was defined as the presence of the white matter damage, periventricular-intraventricular hemorrhage, subarachnoid hemorrhage, and periventricular leukomalacia based on the radiological reports of MRI. In order to assess more objectively and quantitatively the correlation between brain structure and EEG function, we scored the MRI of brain-injured preterm infants according to the MRI scoring system by Kidokoro et al.9.
Quantitative EEG recording and analysis
Bedside qEEG (Nicolet One™ EEG System, Natus Medical Inc., Middleton, Wisconsin, USA) was performed within the first day of life for 4–6 h, according to the American Clinical Neurophysiology Society (ACNS) guideline. We followed the International 10–20 system to place the electrodes (Fp1, Fp2, C3, C4, T3, T4, O1 and O2). Cz and Fpz were considered as reference and ground, respectively. EEG data were recorded at a sampling frequency of 500 Hz.
Both the graphic and quantitative digital information of qEEG were exported offline for analysis by the Auto-Neo-EEG signal processing system using Python 3.6 software (Python software foundation, Wilmington, Delaware, USA). (1) EEG signal pre-processing: For each EEG recording, the original signal dataset was pre-processed, including adjusted to the reference electrode, artifact removal, filtering, and down-sampling. The configuration of the filter comprised a range from 1 to 35 Hz, with a sampling frequency of 125 Hz and a time constant set at 0.3 s. (2) Feature extraction: The original signal dataset could be decomposed into four frequency bands (δ: 0.5-4, θ: 4–8, α: 8–13, and β: 13–30 Hz), and the number of signal channels was eight. For each frequency band and in each channel, five features [total power (TP), absolute band power (ABP), relative band power (RBP), alpha/theta ratio (ATR), alpha/ delta + theta ratio (ADTR), 95% spectral edge frequency (SEF), approximate entropy (ApEn), brain symmetry index (BSI), and coherence. (3) Data recording: One hour of original EEG data without convulsive seizure, electrical seizure and motion error were selected and intercepted multiple periods of 60 s without repeating. The data of 8 channels in different frequency bands of each feature were obtained by taking the median.
General movements assessment
General movements were assessed at the corrected age of 3 months, and the video recordings were interpreted and optimally scored by two certified scorers. We classified the global categories of GMs as: (a) normal: the movement sequence, amplitude, speed, and intensity are variable; (b) monotonous: the sequence of movement components is monotonous, and the amplitude, speed, and intensity lack the normal variability; (c) cramped-synchronised: GMs lack the usual smoothness and appear rigid as the limb and trunk muscles contract almost simultaneously and relax almost simultaneously10. The optimized GMs scoring system proposed by Einspieler et al.11 was used, which covered detailed scoring of neck, trunk, upper and lower extremities. The total score was a minimum of 5 points and a maximum of 42 points, and the lower the score, the poorer the quality of whole-body movements. Each video was scored by two scorers certified for general movements assessment. The inter-observer variation was assessed by intraclass correlation coefficient (ICC). And we applyed the Bland–Altman method to assess the intra-observer variation. The calculation involves the average and relative difference of two repeated measurements taken one month apart by the same scorer.
Statistical analysis
The statistical analysis tool in this study was SPSS 25.0 software (SPSS Inc., Chicago, Illinois, USA). Mean ± standard deviation was used to describe the quantitative data of normal distribution; median and interquartile range [Median (IQR)] were used to describe the quantitative data of skewed distribution. The number of cases and the constitutive ratio (n, %) were used to describe qualitative data. Means were compared between two variables by t-test or one-way ANOVA, and rates were compared between two variables by chi-square (χ2) test. The abilities of different qEEG metrics to identify brain injury and early neuromotor impairment in preterm infants were analyzed by constructing a receiver operating characteristic (ROC) curve. Cut-off values were determined according to the maximum Youden index (sensitivity + specificity − 1) in ROC curve analysis. Area under the curve (AUC), sensitivity, specificity, positive predictive value (PPV) and negative predictive value (NPV) were constructed. Pearson correlation coefficients were used to describe the relationship between early qEEG parameters and levels of general motor development at the corrected age of 3 months for preterm infants with brain injury. All analyses were conducted using univariate linear regression models examining one independent variable at a time. Differences could be recognized as statistically significant when P < 0.05.
Results
Clinical characteristics and MRI Fingdings
A total of 43 preterm infants with brain injury, as determined by the MRI during hospitalization, were recruited for this study and compared with 65 newborns without brain injury. Demographic and clinical characteristics are summarized in Table 1. Prenatal application of magnesium sulfate due to maternal eclampsia (P = 0.042); complications during labor (P = 0.037); invasive mechanical ventilation (P = 0.003) and caffeine use (P = 0.008) in the brain injury group were statistically more common than in the non-brain injury group. The duration of hospital stay (P = 0.023) and parenteral nutrition (P = 0.010) was significantly longer in the brain injury group than those in the non-brain injury group.
MRI findings of the 43 neonates with brain injury at their term-aquivalent age were as follows: white matter injury in 17 cases, intraventricular/periventricular/subarachnoid hemorrhage in 19 cases, and grey matter injury in 7 cases. Figure 1 represents examples of different brain injuries identified in MRI scans.
QEEG characteristics
The sedative exposure during EEG monitoring was as follows: None of preterm infants without brain injury received fentanyl or midazolam during EEG monitoring; 8 and 2 preterm infants with brain injury received administration of fentanyl alone, and fentanyl together with midazolam, respectively. Dosages of fentanyl and midazolam were 1–2 µg/kg/h and 0.05–0.1 mg/kg/min in the cohort, respectively. Fentanyl and/or midazolam exposure was not significantly associated with TP, ABP, RBP, and coherence (t values 1.09–1.33, p values 0.18–0.21).
As shown in Table 2, TP (363.92 ± 165.4 µV2), ABP-δ (359.35 ± 171.96 µV2), ABP-α (3.95 ± 1.01 µV2), RBP-δ (81.54% ± 26.92%) and coherence (0.11 ± 0.07) in the brain injury group were lower than TP (489.86 ± 158.86, P = 0.008), ABP-δ (469.12 ± 147.72, P = 0.002), ABP-α (5.07 ± 2.64, P = 0.019), RBP-δ (94.81 ± 28.15, P = 0.035) and coherence (0.18 ± 0.08, P = 0.025) in the non-brain injury group. Binary logistic regression showed that TP, ABP-δ, ABP-α, RBP-δ, and coherence were negatively correlated with the occurrence of brain injury. The detailed regression coefficients, P-values, odds ratio (OR) and 95% confidence intervals (CI) are shown in Table 3. ROC curve analysis was also conducted on the five different qEEG indicators, namely TP, ABP-δ, ABP-α, RBP-δ, and coherence, to evaluate their predictive ability for the occurrence of brain injury among preterm neonates. Figure 2 demonstrates that the five indicators were capable of discriminating between brain injury and non-brain injury: AUCs (95% CIs) of TP, ABP-δ, ABP-α, RBP-δ, and coherence were 0.749 (0.611–0.983); 0.830 (0.636–0.992); 0.721 (0.599–0.986); 0.799 (0.623–0.990); and 0.743 (0.608–0.947), with p -values of 0.032; 0.007; 0.028; 0.010; and 0.046, respectively. Table 4 presents the sensitivity, specificity corresponding to different cut-off values when using the maximum “Youden index” to differentiate between the presence and absence of brain injury for the five qEEG indicators. ABP-δ was superior to the other four parameters in the prediction of brain injury.
Short-term neuromotor developmental outcomes
We assessed 8 video-recordings as normal GMs; 31 recordings as monotonous; and 4 recordings as cramped-synchronised among the brain injury group. And we assessed 49 video-recordings as normal GMs; 16 recordings as monotonous; and 0 recording as cramped-synchronised among the non-brain injury group.
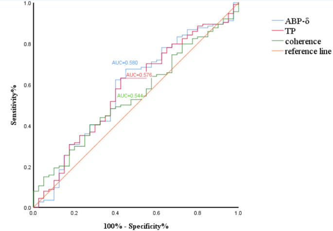
The intraclass correlation for the GMs measurements was 0.774 (95% CI 0.712–0.939). On Bland–Altman analysis of GMs measurements, the means and standard deviation (SD) were 0.02 and 1.05, respectively. As shown in Table 5, the overall GM scores of 108 preterm infants ranged from 9 to 40 (22.8 ± 7.5): 15.6 ± 6.7 and 28.4 ± 8.3 among preterm infants with and without brain injury, respectively (P = 0.019). Comparing the detailed scores, it can be found that the score of lower limbs was 7.4 ± 3.5 and 11.8 ± 5.5 in the brain injury group and the non-brain injury group, respectively (P = 0.030). We further analyzed the relationship between qEEG parameters and GM score among preterm infants with brain-injury, and found that TP (regression coefficient = 0.176, P = 0.023) and ABP-δ (regression coefficient = 0.159, P = 0.030) positively correlated with the GM score, with r-values of 0.316 and 0.295, respectively; coherence negatively correlated with the GM score (regression coefficient = − 0.169, P = 0.039), with r values of − 0.213; and the other qEEG parameters were not significantly correlated with the GM score (all p-values > 0.05), as shown in Fig. 3. ROC curve analysis was also conducted on the three qEEG indicators, namely TP, ABP-δ, and coherence, to evaluate their predictive ability for early motor impairment. Figure 4 demonstrates that the three indicators were capable of discriminating between normal GMs and non-normal GMs: AUCs (95% CIs) of TP, ABP-δ, and coherence were 0.580 (0.554–0.690); 0.576 (0.511–0.688); and 0.544 (0.509–0.662), with P -values of 0.040; 0.045; and 0.047, respectively. Linear regression analysis was used to control for the following confounding factors: GA, BW, antenatal use of magnesium sulfate, opioids medication, caffeine use, parenteral nutrition, and mechanical ventilation. The analysis indicated that higher TP and ABP-δ, and lower coherence were associated with higher GM scores in neonates (Table 6).
Discussion
In this study, we piloted a fully automated approach to EEG background analysis in preterm neonates (gestational age < 34 weeks) with brain injury using an Auto-Neo-EEG signal processing system. The EEG fragments selected were all subjected to screening and did not include convulsive episodes; thus, they could represent brain cortical activities. This study identified that TP, ABP-δ, ABP-α, and RBP-δ in preterm infants with brain injury were significantly lower than in those without brain injury. ABP-δ exhibited good capability in predicting brain injury. In addition, TP, ABP-δ and coherence significantly correlated with GM score, which reflected short-term neuromotor developmental outcomes.
Spectral power analysis contains the frequency information and reflects brain injury in the early stage12,13. The peak of the power spectrum is derived from the oscillation of the functional network at different natural frequencies3. Brain injury may lead to the dysfunction of the brain’s functional network, which leads to a decrease of EEG power14. Our results demonstrated that the total power of brain activity reduced in preterm infants with brain injury, among which δ power reduced to the greatest extent, which may be related to the fact that neonatal cortical activity was dominated by δ wave15. Jain et al.16 suggested that a drop in TP below the 10 µV2 threshold may indicate a loss of neural networks with antiepileptic properties. It can be seen that qEEG parameters regarding power spectrum were a useful monitoring method in preterm neonates who are at high risks of brain injury, and its abnormal changes were earlier than clinical symptoms, and even superior to neuroimaging. Further investigation of the mechanism of power decline in neonatal brain injury may provide new ideas for neuroprotective treatment of these neonates, and may introduce new therapeutic targets.
Brian connectivity describes the functional and anatomical connections across the brain network, which depend on neuronal oscillations17. Coherence is one mathematical method that can be used to determine if two or more sensors, or brain regions, have similar neuronal oscillatory activity with each other, and then can be used to determine the wellbeing or integrity of the functional connectivity in brain networks18. This study demonstrated that brain-injured preterm neonates had significantly lower coherence value than those without brain injury, which is consistent with the findings of Mc Laren et al.19both of whom found that the coherence level of neonates with moderate to severe HIE was lower than that of healthy neonates. The decrease in coherence may indicate the presence of abnormalities in EEG connectivity. While functional connectivity does not determine the specific direction of information flow in the brain, it just shows that these regions have similar signal content and therefore are most likely connected20. In the future, the application of functional connectivity indexes including coherence and phase delay index can be further studied, aiming to provides objective and reliable neurobiological markers for assessing brain network function.
In this study, we found that AUCs of TP, ABP-δ, ABP-α, RBP-δ and coherence in predicting brain injury among preterm neonates were all greater than 0.7. When ABP-δ < 78.55 µV2it exhibited the greatest predictive value for brain injury (PPV: 78.6%, specificity: 83.1%, sensitivity: 81.5%). This is consistent with the results of several studies which also found qEEG parameters to be a sensitive real-time biomarker for monitoring the dynamic evolution of encephalopathy in children on the first day of life21,22. Since the natural frequency of EEG signal is unknown, the band power is expressed as relative power and is not affected by the power distortion caused by the frequency mismatch15. However, mainly due to renormalization factors, RBP cannot distinguish between high-variability signals and low-variability signals, so ABP is recommended to describe the EEG characteristics of neonates with brain injury. However, ABP should be used with caution considering its high sensitivity.
The previous studies demonstrated that EEG was useful in predicting the prognosis of patients with brain injury23,24. However, the standard EEG was complicated, and it was difficult to interpret accurately. Abnormal general movements are among the most reliable early markers for neurodevelopmental disorders25,26. In addition to the global assessment of GM patterns, it can also be worthwhile to look at different aspects and components of GMs. A detailed assessment of GMs at preterm and term age was introduced by Ferrari et al.27. Several studies have demonstrated that GM score provides an intuitive and accurate basis for evaluating the short-term neuromotor development28,29. In this study, GM scores of preterm infants with brain injury were significantly lower than those without brain injury at the corrected age of 3 months, and the difference was dominated by lower limbs, whereas the scores of the upper limbs, neck, trunk, and upper limbs showed no significant differences. The lower limbs scores of the GMs in the brain-injured preterm infants were significantly more backward, which may be related to the fact that lower limb muscle weakness is more pronounced in preterm infants at the early stage of development30. The clinical impression that the abnormal features of cramped-synchronised are more often expressed in the legs than in the arms was also confirmed by a lower score for the lower limbs as compared to the upper limbs in this study29. Furthermore, we analyzed qEEG and GM score, suggesting that TP and ABP-δ on the first day of life positively correlated with GM score in brain-injured preterm infants, whereas coherence was the opposite. It may suggest that the establishment and enhance of neuron activity, functional connectivity, and complexity in neonatal brain are associated with increased levels of neuromotor development at the corrected age of 3 months, which has also been proposed in a previous study31. However, the observed correlations represent a small effect size, and these moderate associations may reflect the multifactorial nature of motor impairment, where qEEG parameters capture only one aspect of neurophysiological dysfunction. The modest effect sizes emphasize that qEEG parameters should not be used in isolation, but may have value as part of multimodal assessment.
This study highlights qEEG as a promising bedside marker to determine brain function and predict neurodevelopmental outcome of preterm neonates. QEEG promises clinical applications. The brain functional status as indicated by qEEG is associated with brain injury and neuromotor development. Consequently, this may assist clinicians in evaluating the condition of children and predicting their prognosis. Portable and wireless qEEG systems reduce infrastructure demands. Simplified electrode setups (e.g., reduced montages) that maintain diagnostic accuracy while easing application. The need for specialized training remains a barrier, but solutions include: automated algorithms for seizure detection, minimizing reliance on expert interpretation; structured training programs for NICU staff to operate basic qEEG.
However, several limitations exist within this study. First, the results obtained from the limited patients. Another major limitation of the study was that we lacked dynamic cranial ultrasound monitorings on a regular basis to observe the progression of brain injury in premature infants. And we did not provide long-term follow-up data, which are still being collected. Future studies using this automated qEEG analysis should be carried out to establish any association between qEEG features and long-term neurodevelopmental outcomes. QEEG would likely serve as a complementary tool rather than a replacement for current diagnostic methods, and describe specific clinical scenarios where it could add value (e.g., early risk stratification, treatment monitoring).
Conclusion
In summary, our findings provide robust evidence supporting that qEEG indicators can be used to identify neonates with high risks of brain injury and predict their prognosis. Clinicians can obtain real-time results at the bedside by qEEG and evaluate neonatal brain function, enabling timely and accurate clinical decision-making to improve adverse neurological outcomes in critically ill neonates. We anticipate that qEEG can be widely used in neonatal care and become a standard bedside brain monitoring tool for high-risk neonates in the future.
Data availability
Data are available from the corresponding author and the first author upon reasonable request.
References
Sellier, E. et al. Decreasing prevalence in cerebral palsy: a multi-site European population-based study, 1980 to 2003. Dev. Med. Child. Neurol. 58 (1), 85–92 (2016).
Moore, T. et al. Neurological and developmental outcome in extremely preterm children born in England in 1995 and 2006: the epicure studies. BMJ 345 (043), 7961–7961 (2012).
Murphy, K. et al. Automated analysis of multi-channel EEG in preterm infants. Clin. Neurophysiol. 126 (9), 1692–1702 (2015).
O’toole, J. M. & Boylan, G. B. Analysis: The need for caution in using modern data science techniques. Front. Pediatr. 7, 174 (2019).
Gacio, S. Amplitude-integrated electroencephalography for neonatal seizure detection. Electrophysiol. Point View Arq. Neuropsiquiatr. 77 (2), 122–130 (2019).
Mueller, T. M. et al. Alpha power decrease in quantitative EEG detects development of cerebral infarction after subarachnoid hemorrhage early. Clin. Neurophysiol. 132 (6), 1283–1289 (2021).
Finnigan, S. & Wong, A. Towards pre-hospital identification of acute ischemic stroke: the value of QEEG from a single frontal channel. Clin. Neurophysiol. 131 (8), 1726–1727 (2020).
van’t Westende, C. et al. Neonatal quantitative electroencephalography and long-term outcomes: a systematic review. Dev. Med. Child. Neurol. 64 (4), 413–420 (2022).
Kidokoro, H. et al. Absent cyclicity on aEEG within the first 24 h is associated with brain damage in preterm infants. Neuropediatrics. 41 (6), 241–245 (2010).
Einspieler, C. & Prechtl, H. F. R. Prechtl’s assessment of general movements: a diagnostic tool for the functional assessment of the young nervous system. Ment. Retard. Dev. Disabil. Res. Rev. 11, 61–67 (2005).
Einspieler, C. et al. The general movement optimality score: a detailed assessment of general movements during preterm and term age. Dev. Med. Child. Neurol. 58 (4), 361–368 (2016).
Cohn, R. et al. Cerebral vascular lesions: electroencephalographic and neuropathologic correlations. Arch. Neurol. Psychiatry. 60, 165–181 (1948).
Cillessen, J. P. et al. Electroencephalography improves the prediction of functional outcome in the acute stage of cerebral ischemia. Stroke. 25, 1968–1972 (1994).
Zhao, W. et al. EEG spectral analysis in insomnia disorder: A systematic review and meta-analysis. Sleep. Med. Rev. 59, 101457 (2021).
Englot, D. J. et al. Impaired consciousness in temporal lobe seizures: role of cortical slow activity. Brain. 133 (Pt 12), 3764–3777 (2010).
Jain, S. V. et al. Prediction of neonatal seizures in hypoxic-ischemic encephalopathy using electroencephalograph power analyses. Pediatr. Neurol. 67, 64–70e2 (2017).
Ramnani, N. et al. Exploring brain connectivity: a new frontier in systems neuroscience. Functional Brain Connectivity, 4–6 April 2002, Dusseldorf, Germany. Trends Neurosci. 25(10), 496–497 (2002).
Duffy, F. H. et al. Spectral coherence in normal adults: unrestricted principal components analysis; relation of factors to age, gender, and neuropsychologic data. Clin. Electroencephalogr. 26 (1), 30–46 (1995).
McLaren, J., Holmes, G. L. & Berg, M. T. Functional connectivity in term neonates with Hypoxic-Ischemic encephalopathy undergoing therapeutic hypothermia. Pediatr. Neurol. 94, 74–79 (2019).
Kuks, J. B., Vos, J. E. & O’Brien, M. J. Coherence patterns of the infant sleep EEG in absence of the corpus callosum. Electroencephalogr. Clin. Neurophysiol. 66 (1), 8–14 (1987).
Finnigan, S. & Colditz, P. B. What is the optimal frequency range for quantifying slow EEG activity in neonates? Insights from power spectra. Clin. Neurophysiol. 129 (1), 143–144 (2018).
Iyer, K. K. et al. Early detection of preterm intraventricular hemorrhage from clinical electroencephalography. Crit. Care Med. 43 (10), 2219–2227 (2015).
Rajpurkar, P. et al. Evaluation of a machine learning model based on pretreatment symptoms and electroencephalographic features to predict outcomes of antidepressant treatment in adults with depression: a prespecified secondary analysis of a randomized clinical trial. JAMA Netw Open. 3(7), e2016001 (2020).
Lloyd, R. O. et al. Can EEG accurately predict 2-year neurodevelopmental outcome for preterm infants? Arch. Dis. Child. Fetal Neonatal Ed. 106 (5), 535–541 (2021).
Prechtl, H. F. R. et al. An early marker for neurological deficits after perinatal brain lesions. Lancet. 349, 1361–1363 (1997).
Hadders-Algra, M. General movements: a window for early identification of children at high risk for developmental disorders. J. Pediatr. Suppl. 145, S12–S18 (2004).
Ferrari, F., Cioni, G. & Prechtl, H. F. R. Qualitative changes of general movements in preterm infants with brain lesions. Early Hum. Dev. 23, 193–231 (1990).
Nakajima, Y. et al. Does a detailed assessment of poor repertoire general movements help to identify those infants who will develop normally? Early Hum. Dev. 82, 53–59 (2006).
Bruggink, J. L. M. et al. Quantitative aspects of the early motor repertoire in preterm infants: do they predict minor neurological dysfunction at school age? Early Hum. Dev. 85, 25–36 (2009).
Marrus, N. et al. Walking, gross motor development, and brain functional connectivity in infants and toddlers. Cereb. Cortex. 28 (2), 750–763 (2018).
Sortica da Costa, C. et al. Complexity of brain signals is associated with outcome in preterm infants. J. Cereb. Blood Flow. Metab. 37 (10), 3368–3379 (2017).
Author information
Authors and Affiliations
Contributions
Y.Y.S., L.Z., and G.Q.C. designed the study. Y.Y.S. and P.Z. participated in EEG monitoring and data collection. Y.X. analyzed EEG data. M.S.Y. provided neuroimaging analysis. J.W. guided and conducted general movements assessments. Y.Y.S. and L.Z. performed data analysis. Y.Y.S. interpreted the results and drafted the first draft of the manuscript. G.Q.C. contributed to critical revision of the manuscript for important intellectual content and approved the final version of the manuscript. All authors have read and approved the final manuscript.
Corresponding author
Ethics declarations
Ethics approval and consent to participate
The study was approved by the ethics committee of the Children’s Hospital of Fudan University (Ethics approval number: 2022 − 362). The procedures performed in this study were in accordance with the ethical standards of the ethics committee of the Children’s Hospital of Fudan University.
Competing interests
The authors declare no competing interests.
Consent to participate
Informed consent was obtained from the legal guardians of all participants included in the study.
Additional information
Publisher’s note
Springer Nature remains neutral with regard to jurisdictional claims in published maps and institutional affiliations.
Electronic supplementary material
Below is the link to the electronic supplementary material.
Rights and permissions
Open Access This article is licensed under a Creative Commons Attribution-NonCommercial-NoDerivatives 4.0 International License, which permits any non-commercial use, sharing, distribution and reproduction in any medium or format, as long as you give appropriate credit to the original author(s) and the source, provide a link to the Creative Commons licence, and indicate if you modified the licensed material. You do not have permission under this licence to share adapted material derived from this article or parts of it. The images or other third party material in this article are included in the article’s Creative Commons licence, unless indicated otherwise in a credit line to the material. If material is not included in the article’s Creative Commons licence and your intended use is not permitted by statutory regulation or exceeds the permitted use, you will need to obtain permission directly from the copyright holder. To view a copy of this licence, visit http://creativecommons.org/licenses/by-nc-nd/4.0/.
About this article
Cite this article
Shan, Y., Zhang, L., Zhang, P. et al. Quantitative EEG features for the prediction of short-term neuromotor development outcome in premature neonates. Sci Rep 15, 24620 (2025). https://doi.org/10.1038/s41598-025-10127-6
Received:
Accepted:
Published:
Version of record:
DOI: https://doi.org/10.1038/s41598-025-10127-6






