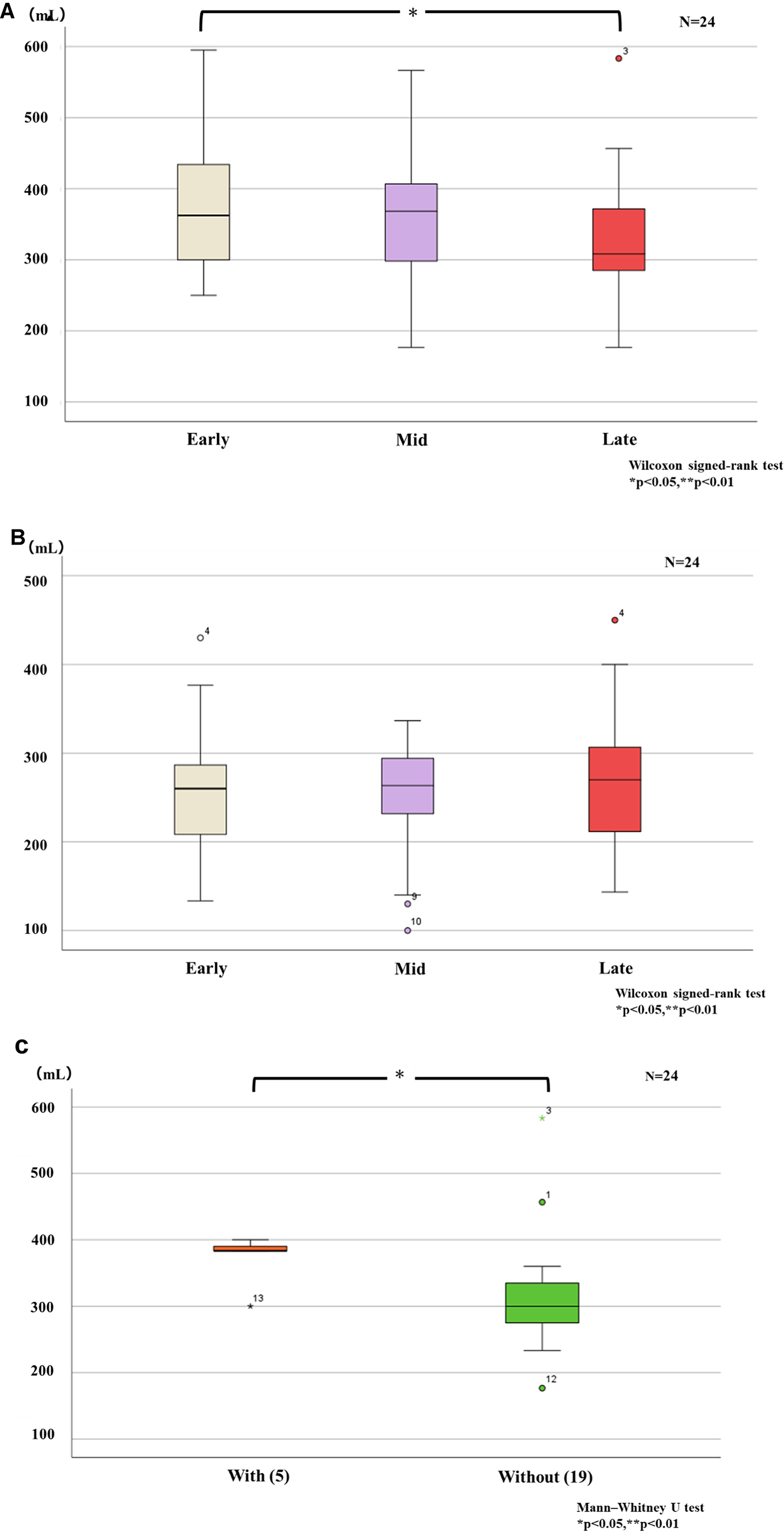
Fig. 3

Comparison of voided volume. A Nighttime voided volume (mL) between each trimester of pregnancy. A significant difference was observed between early and late pregnancy (Wilcoxon signed-rank test, p < 0.05). B Daytime voided volume (mL) between each trimester of pregnancy. No significant differences were observed (Wilcoxon signed-rank test). C Nighttime voided volume (mL) in late pregnancy between participants using pelvic support devices and those who did not. A significant difference was confirmed (Mann–Whitney U test, p < 0.05).