Abstract
To prospectively evaluate urinary conditions and function in pregnant women by analyzing Frequency-Volume Chart data collected from early through late pregnancy. Pregnant women who visited the research facility and provided informed consent between June 2021 and May 2023 were enrolled. Participants were asked to complete a three-day Frequency-Volume Chart at three time points: early pregnancy (14–16 weeks gestation), mid-pregnancy (25–27 weeks gestation), and late pregnancy (34–36 weeks gestation). A total of 24 participants provided complete Frequency-Volume Chart data. An increase in urine volume correlating with weight gain during late pregnancy was observed. Additionally, both the voided volume and urinary frequency were significantly impacted as pregnancy advanced. Notably, the fetal position influenced maternal urinary conditions: fetuses in the “Right Occiput Position” were associated with statistically significant increases in maximum 24-hour voided volume, maximum nocturnal voided volume, and average nocturnal voided volume (p < 0.05). Furthermore, maximum 24-hour and nocturnal voided volume were significantly higher (p < 0.05) in pregnant women who used pelvic support devices. Our analysis indicates that as pregnancy advances, there is a significant increase in 24-hour urine volume accompanied by a decrease in voided volume. Additionally, both fetal position within the uterus and the use of pelvic support devices were found to significantly affect voided volume.
Similar content being viewed by others
Introduction
The present study was designed to prospectively investigate urinary conditions and function in pregnant women from early to late pregnancy using the Frequency-Volume Chart (FVC). During pregnancy, women experience significant physiological changes across various organ systems, including the reproductive system. Notably, circulating blood volume increases by 40–45%, renal plasma flow by 50–70%, and the glomerular filtration rate (GFR) by 50% around the 15th week of gestation1. Furthermore, enhanced activity of antidiuretic hormone-degrading enzymes augments urine production, resulting in a 1 cm increase in renal length and a 30% increase in renal volume2,3,4. Collectively, these changes contribute to polyuria in pregnant women.
In addition to these systemic adaptations, uterine enlargement substantially impacts the adjacent urinary system. Compression of the bladder by the fetal head elevates intravesical pressure, thereby inducing urinary frequency during late pregnancy. Although several studies have documented these physiological alterations, most have employed a cross-sectional design. Urinary frequency, observed in both the second and third trimesters, is considered one of the most distressing and burdensome symptoms associated with pregnancy5. To date, there is only one published longitudinal study of urinary conditions6 despite the profound impact of urinary changes on quality of life during pregnancy.
The FVC records key urinary parameters—including total urine volume, voided volume, and 24-hour frequency (segmented into daytime and nighttime measurements)—and has been widely utilized as an objective tool for evaluating lower urinary tract symptoms (LUTS)7. To our knowledge, this is the first longitudinal study to assess urinary conditions and function in pregnant women using the FVC.
Materials and methods
Participants
We recruited singleton pregnant women at 11 to 12 weeks of gestation, a time when the risk of early miscarriage had generally decreased. A total of 30 singleton pregnant women who visited the research facility between June 2021 and May 2023 were enrolled after providing informed consent to participate in our study. Exclusion criteria included a history of neurological diseases, renal diseases, diabetes, pelvic organ prolapse, related surgeries, and psychiatric disorders. Participants were excluded from the study if they experienced an abnormal course of pregnancy or developed urinary tract infections during the study period.
Data collection
Participants recorded a three-day FVC at three time points. Participants were asked to bring the first FVC at their first routine prenatal checkup after recruitment, which was typically scheduled 14–16 weeks of gestation. Subsequently, we asked participants to complete the second FVC until 27 weeks of gestation, and the third FVC until delivery.
As the result, the first FVC was recorded between 14 and 16 weeks of gestation which was defined as “early pregnancy” in our study, The second was recorded between 25 and 27 weeks of gestation which was defined” mid-pregnancy”, and the third was recorded between 34 and 36 weeks of gestation which was defined “late pregnancy”. The FVC, as defined by the International Continence Society (ICS), is the recording of the time of each micturition along with the volume voided for at least 24 h. Ideally, a minimum of three days of recording (not necessarily consecutive) generally provides more useful clinical data. It is essential to distinguish between daytime and nighttime micturition. In our study, the presence and timing of urinary incontinence (UI) were also noted. Data on “voided volume”, “24-hour urine volume”, and “daytime and nighttime urinary frequency” were extracted from the FVC.
The average voided volume was calculated by dividing the 24-hour urine volume by the 24-hour urinary frequency. The mean and median values over the three-day recording period were calculated for analysis.
We also collected participant information including age, height, pre-pregnancy weight, pregnancy and childbirth history, weight during prenatal checkups, estimated fetal weight, fetal position and presentation, and the use of pelvic support devices. Fetal position and presentation were assessed by experienced midwife with Leopold’s maneuvers, which are a common and systematic way to determine the position of a fetus inside the woman’s uterus. The fetal position was classified as Left Occiput (LO) when the fetal back was on the left side of the mother’s body, or Right Occiput (RO) when the fetal back was on the right side, as shown in Fig. 1.
Participants received both oral and written information about the study. The study was approved by the Ethics Committee of Shiga University of Medical Science (R2021-003) and was conducted in accordance with the Helsinki Declaration.
Statistical analysis
All participants data were anonymized and coded to ensure privacy and confidentiality. Statistical analysis was performed using SPSS Statistics version 29, with statistical significance set at 5%. The Wilcoxon signed-rank test was used to compare urine volume, voided volume, and urinary frequency. The Chi-square test was used to analyze UI, and the Mann-Whitney U test was employed to determine whether pelvic support devices and fetal position affected urinary conditions.
Results
Participant demographics and clinical backgrounds
Complete FVCs were submitted by 24 participants after three dropped out between early and mid-pregnancy and three after mid-pregnancy. The reasons for dropout were transfer to another hospital (n = 3), voluntary withdrawal (n = 2), and scheduled cesarean section (n = 1). Table 1 shows the demographic and obstetric characteristics of the pregnant women. The 24 participants had a median age of 29 years (range, 22–39), a height of 158.0 cm (range, 145.0–171.0), a pre-pregnancy weight of 50.0 kg (range, 42.0–66.0), and a pre-pregnancy BMI of 20.3 kg/m² (range, 16.2–23.4). Weight progression during pregnancy was as follows: 50.9 kg (range, 42.8–66.5) in early pregnancy, 54.9 kg (range, 47.3–69.7) in mid-pregnancy, and 57.8 kg (range, 49.6–75.4) in late pregnancy. Eleven participants (45.8%) were primiparous, while 13 (54.2%) were multiparous. Regarding the use of pelvic support devices, five participants (20.8%) used pelvic belts or girdles in late pregnancy.
The estimated fetal weights were 60.0 g (range, 60.0–135.0) in early pregnancy, 1000.0 g (range, 890.0–1270.0) in mid-pregnancy, and 2627.5 g (range, 2320.0–2904.0) in late pregnancy, all within the range of mean ± 1.5 SD of the fetal growth curve. In late pregnancy, fetal positions were as follows: 14 cases (58.3%) in LO and 10 cases (41.7%) in RO (Fig. 1).
Urine volume increases significantly following weight gain in late pregnancy
The 24-hour urine volume was as follows: 1196.7 mL (IQR, 985.0–1428.8) in early pregnancy, 1195.0 mL (IQR, 973.3–1462.5) in mid-pregnancy, and 1298.3 mL (IQR, 1076.7–1575.4) in late pregnancy. Specifically, the 24-hour urine volume in late pregnancy was significantly greater than that in early pregnancy (Wilcoxon signed-rank test; p < 0.05), with an increase of approximately 100 mL compared to early pregnancy (Fig. 2A).
Comparison of urine volume between each trimester of pregnancy. A 24-hour urine volume (mL). A significant difference was observed between early and late pregnancy (Wilcoxon signed-rank test, p < 0.05). B 24-hour urine volume per kilogram (mL/kg). No significant differences were observed (Wilcoxon signed-rank test).
Interestingly, no significant differences were observed in the 24-hour urine volume per kilogram across the pregnancy stages (Fig. 2B). Moreover, the nocturnal urine volume per kilogram showed a decreasing trend: 8.7 mL (IQR, 6.5–10.3) in early pregnancy, 7.6 mL (IQR, 6.0–8.9) in mid-pregnancy, and 7.4 mL (IQR, 6.2–10.1) in late pregnancy.
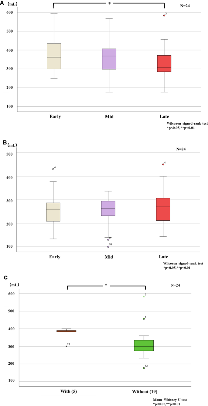
Voided volume is significantly affected by the progression of pregnancy
The nighttime maximum voided volume showed a decreasing trend toward late pregnancy, with values of 362.5 mL (IQR, 300.0–438.8) in early pregnancy, 368.3 mL (IQR, 295.8–410.0) in mid-pregnancy, and 308.3 mL (IQR, 280.8–377.5) in late pregnancy (Fig. 3A). The nighttime maximum voided volume in late pregnancy was significantly lower than that in early pregnancy (Wilcoxon signed-rank test; p < 0.05). Interestingly, no significant difference was observed in the daytime maximum voided volume (Fig. 3B).
Comparison of voided volume. A Nighttime voided volume (mL) between each trimester of pregnancy. A significant difference was observed between early and late pregnancy (Wilcoxon signed-rank test, p < 0.05). B Daytime voided volume (mL) between each trimester of pregnancy. No significant differences were observed (Wilcoxon signed-rank test). C Nighttime voided volume (mL) in late pregnancy between participants using pelvic support devices and those who did not. A significant difference was confirmed (Mann–Whitney U test, p < 0.05).
Five participants (20.8%) used pelvic support devices, including pelvic belts or girdles, in late pregnancy. A comparison between groups with and without the use of pelvic support devices revealed that the maximum voided volume over 24 h was significantly higher in the group using the devices [383.3 mL (IQR, 366.7–445.0)] compared to the group not using them [333.3 mL (IQR, 300.0–366.7)] (Mann-Whitney U test; p < 0.05)] (Fig. 3C).
Urinary frequency is increased in late pregnancy
The 24-hour urinary frequency was 6.0 (Interquartile Range [IQR], 5.3–6.7) in early pregnancy, 6.0 (IQR, 5.1–7.8) in mid-pregnancy, and 7.0 (IQR, 5.7–8.7) in late pregnancy. The proportion of participants experiencing a 24-hour frequency of 8 or more—generally considered indicative of urinary frequency—increased progressively: 16.7% in early pregnancy, 25% in mid-pregnancy, and 41.7% in late pregnancy (Fig. 4A).
Percentage of participants with abnormal urinary frequency. A Comparison of the proportion of participants with eight or more voids in 24 h between each trimester of pregnancy (%). A significant difference was observed between early and late pregnancy (Chi-square test, p < 0.01). B Comparison of the proportion of participants with one or more voids at night between each trimester of pregnancy (%). A significant difference was observed between early and late pregnancy (Chi-square test, p < 0.01).
Nighttime frequency was 0 (IQR, 0–0.7) in early pregnancy, 0.3 (IQR, 0–0.7) in mid-pregnancy, and 0.7 (IQR, 0.1–1.0) in late pregnancy. Both daytime and nighttime frequencies in late pregnancy were significantly higher than those in early pregnancy (Wilcoxon signed-rank test; p < 0.01). Furthermore, the 24-hour frequency in late pregnancy increased by at least one void compared to early pregnancy.
The proportion of participants with one or more episodes of nighttime frequency, generally considered abnormal, was 8.3% in early pregnancy, 20.8% in mid-pregnancy, and 37.5% in late pregnancy (Fig. 4B).
The prevalence of UI more than doubles in late pregnancy
The prevalence of UI was 8.3% in early pregnancy, 16.6% in mid-pregnancy, and 16.6% in late pregnancy (Fig. 5). Although the prevalence in mid-pregnancy and late pregnancy was more than twice as high as in early pregnancy, the Chi-square test did not reveal a statistically significant association (p = 0.312).
Fetal position is significantly associated with maximum voided volume
The maximum nighttime voided volume according to fetal position in late pregnancy was significantly higher in RO [375.0 mL (IQR, 331.7–406.7)] than in LO cases [323.3 mL (IQR, 275.8–366.7); Mann-Whitney U test; p < 0.05)] (Fig. 6A). Additionally, the average voided volume during nighttime was also significantly higher in RO [310.0 mL (IQR, 274.2–337.9)] than in LO cases [255.8 mL (IQR, 220.0–294.4); Mann-Whitney U test; p < 0.05] (Fig. 6B). No significant correlations were observed between the estimated fetal weight in late pregnancy and total urine volume, voided volume, or urination frequency.
Correlation between fetal position and voided volume. A Comparison of the maximum nighttime voided volume (mL) between Left Occiput (LO) and Right Occiput (RO). A significant difference was observed (Mann–Whitney U test, p < 0.05). B Comparison of the average nighttime voided volume (mL) between LO and RO. A significant difference was observed (Mann–Whitney U test, p < 0.05).
Maternal and fetal characters don’t affect urinary conditions in pregnancy
We collected maternal data including age, height, pre-pregnancy weight, and pregnancy and childbirth history. We then analyzed whether these factors were associated with urinary conditions; however, none of them showed a significant correlation. Fetal characteristics, including estimated fetal weight and biparietal diameter (BPD), were also collected and analyzed their association with urinary conditions; however, no significant correlations were observed.
Discussion
We conducted a longitudinal study to assess the urinary conditions of pregnant women from early to late pregnancy using FVC measurements. Our findings indicated that the 24-hour urine volume increases throughout pregnancy, with a particularly significant rise from mid to late pregnancy. Given the lack of published data on 24-hour urine volume in pregnant women, our study contributes new and valuable insights. The factors underlying this increase remain unclear, and several hypotheses have been proposed to explain the phenomenon.
One proposed explanation is that pregnancy-induced increases in circulating blood volume enhance renal plasma flow and the GFR1,8,9. Renal plasma flow increases by approximately 80% during early pregnancy, and GFR rises by 25% by the second week, reaching a 50% increase by late pregnancy. This elevation in GFR results in a daily sodium filtration rate increase of 20,000 to 30,000 mEq. Additionally, progesterone counteracts the sodium-retaining effects of aldosterone, promoting sodium excretion and subsequently increasing urine volume. However, since the increase in circulating blood volume is observed from early to mid-pregnancy, it does not fully align with the timing of the increased urine volume observed in our results.
Another hypothesis considers the influence of fetal urine production. Fetal urine production and glomerular filtration commence around gestational weeks 9–10, with fetal GFR increasing sharply toward late pregnancy10. The estimated fetal urine volume is approximately 30 mL/hour (700 mL/day) at 30 weeks of gestation and about 70 mL/hour (1,600 mL/day) at 40 weeks of gestation. Although fetal urine production primarily maintains amniotic fluid volume, it may also affect maternal circulating blood volume via the placenta, even if only a small portion is absorbed into the maternal circulation.
Another interesting finding is the lack of significant differences in 24-hour urine volume per kilogram across different stages of pregnancy. Various possibilities and mechanisms of urine volume changes during pregnancy have been documented. However, the absence of prospective and longitudinal data has left it unclear whether urine volumes increase or decrease as pregnancy progresses. Our results suggest a potential correlation between urine volume and body weight during pregnancy; however, a significant relationship could not be confirmed due to the small sample size of this study.
We found that the progression of pregnancy significantly affected both voided volume and frequency. In late pregnancy, the maximum nighttime voided volume was significantly lower than in early pregnancy, while no significant difference was observed in the daytime maximum voided volume. Additionally, the overall 24-hour frequency—including both daytime and nighttime urination—was significantly higher in late pregnancy compared to early pregnancy. Notably, 41.7% of participants in late pregnancy voided eight or more times in 24 h, a threshold generally indicative of increased urinary frequency.
A primary factor influencing voided volume in late pregnancy is the physical pressure exerted by the enlarged uterus as the fetus grows. As the fetus engages and descends into the pelvis, it applies additional pressure to the bladder, further reducing its functional capacity. The descent of the fetal head into the birth canal intensifies this mechanical compression. Hormonal changes during pregnancy may also contribute to reduced voided volume11: Estrogen and progesterone receptors in the lower urinary tract can affect urinary conditions, although the precise mechanisms underlying this relationship remain unclear.
We also observed that participants who used pelvic support devices in late pregnancy exhibited a significantly larger voided volume compared to those who did not use such devices. Although this finding is empirically plausible, it is based on a very small sample size. Pelvic support devices are designed to provide stability to the pelvic region by supporting the sacroiliac joints and reducing excessive movement of the pelvic girdle. It is commonly used to alleviate pregnancy-related pelvic pain and improve posture. While pelvic support devices are well recognized in musculoskeletal care, their potential effects on bladder function and urinary symptoms remain underexplored. Fitzgerald et al. reported an association between instability of pelvic floor muscle and bladder dysfunction in in pregnant women in the second trimester12. Our data appear to be consistent with their results although their study focused solely on pregnant women in the second trimester. Additionally, it remains unclear why the effect of pelvic support devices appears to be limited to nighttime urination; further investigation is warranted to explore this phenomenon.
Supriya et al. reported no significant differences in urine volume, voided volume, and frequency of urination among pregnant women in the first, second, and third trimesters6. The discrepancy between their results and ours likely stems from differences in the survey periods. They reported that 90% of the third-trimester diaries were recorded between 28 and 36 weeks of gestation, whereas our late-pregnancy FVCs were all recorded at 35 or 36 weeks. (However, this did not happen by our study design, the actual timing of data collection across participants fell into relatively consistent gestational windows.) Given that fetal weight nearly doubles and fetal urine output is estimated to quadruple from 28 to 36 weeks of gestation13 these differences may account for the disparity, suggesting that urinary symptoms in pregnant women may be more pronounced in the latter part of the third trimester.
This study also examined UI and found that its prevalence more than doubled in late pregnancy. Numerous studies have reported UI in pregnant women, with prevalence rates ranging from 18.6 to 75% and increasing with gestational age14; our data are consistent with these findings.
No significant association was observed between voided volume and fetal growth status including BPD. However, we found that a RO orientation was preferentially associated with a greater maximum voided volume during both daytime and nighttime. To our knowledge, this is the first report examining the relationship between fetal position and voided volume. One possible explanation is that the uterus is physiologically twisted in a clockwise direction when viewed from above, due to the presence of the sigmoid colon. Consequently, a fetus in the RO position is more likely to have its back oriented posteriorly relative to the mother’s body, while a fetus in the LO position is more likely to have its back oriented anteriorly. Therefore, the physical pressure on the bladder may be stronger with an LO orientation than with an RO orientation, although further investigation is needed to clarify this correlation.
.
Limitations
This study was a long-term longitudinal investigation that spanned from early to late pregnancy. Despite efforts to recruit participants, the final sample size was limited to 24 due to attrition. Maintaining adherence to the intensive study protocol—which required pregnant women to complete a 24-hour voiding diary for three consecutive days on three separate occasions over a period of more than 20 weeks—was particularly challenging. Although more than 200 pregnant women were under obstetric care at the Research Faculty during the study period, only 30 agreed to participate, and approximately 20% eventually dropped out.
Furthermore, the lack of data collection on fluid intake may have limited our ability to fully interpret changes in urine volume and frequency, especially in distinguishing between daytime and nighttime urine output. However, as reported by Hou Y. et al., accurate assessment of fluid intake must include not only beverages but also the water content of food, which significantly increases the burden on participants15. Given the constraints of a longitudinal design, we determined that requesting detailed records of fluid intake would place an undue burden on participants and would be difficult to sustain with sufficient accuracy over time. To mitigate the limitations imposed by the absence of fluid intake data, further accumulation of cases and data is highly desirable. This would allow for a more comprehensive understanding and robust interpretation of the findings in this research.
Conclusion
We identified that as pregnancy progresses, pregnant women experience an increase in 24-hour urine volume correlated with increased body weight, a decrease in voided volume, and increased urinary frequency. Additionally, our findings indicate that fetal position within the uterus and the use of pelvic support devices can affect voided volume. To our knowledge, this is the first report to document 24-hour urine volume in pregnant women and to explore the relationship between fetal position and voided volume.
Data availability
The datasets generated and analyzed during this study are available from the corresponding author on reasonable request.
References
Odutayo, A. & Hladunewich, M. Obstetric nephrology: renal hemodynamic and metabolic physiology in normal pregnancy. Clin. J. Am. Soc. Nephrol.: CJASN 7, 2073–2080. https://doi.org/10.2215/CJN.00470112 (2012).
Atherton, J. C. et al. Sodium and water reabsorption in the proximal and distal nephron in conscious pregnant rats and third trimester women. J. Physiol. 396, 457–470 (1988).
Beers, K. & Patel, N. Kidney physiology in pregnancy. Adv. Chronic Kidney Dis. 27, 449–454. https://doi.org/10.1053/j.ackd.2020.07.006 (2020).
Faúndes, A., Brícola-Filho, M. & Pinto e Silva, J. L. Dilatation of the urinary tract during pregnancy: proposal of a curve of maximal caliceal diameter by gestational age. Am J. Obstet . Gynecol. 178, 1082–6 (1998).
Amakawa, E. & Sugiura, K. Pregnancy-related discomfort and stress levels in pregnant women. Kawasaki J. Med. Welf. 28, 1–13 (2022).
Bulchandani, S., Coats, A. C., Gallos, I. D., Toozs-Hobson, P. & Parsons, M. Normative bladder diary measurements in pregnant women. Eur. J. Obstet. Gynecol. Reprod. Biol. 210, 319–324 (2017).
Diokno, A. C., Wells, T. J. & Brink, C. A. Comparison of self-reported voided volume with cystometric bladder capacity. J. Urol. 137, 698–700 (1987).
Cheung, K. L. & Lafayette, R. A. Renal physiology of pregnancy. Adv. Chronic Kidney Dis. 20, 209–214. https://doi.org/10.1053/j.ackd.2013.01.012 (2013).
van Lopes, V. A. et al. Maternal kidney function during pregnancy: systematic review and meta-analysis. Ultrasound Obstet. Gynecol. 54, 297–307. https://doi.org/10.1002/uog.20137 (2019).
Ezuruike, U., Blenkinsop, A., Pansari, A. & Abduljalil, K. Quantification of fetal renal function using fetal urine production rate and its reflection on the amniotic and fetal creatinine levels during pregnancy. Front. Pediatr. 10, 1–14 (2022).
Robinson, D. & Cardozo, L. D. The role of estrogens in female lower urinary tract dysfunction. Urology 62, 45–51 (2003).
Fitzgerald, C. M., Santos, L. R. & Mallinson, T. The association between pelvic girdle pain and urinary incontinence among pregnant women in the second trimester. Int. J. Gynecol. Obstet. 117, 248–250 (2012).
Kiserud, T. et al. The world health organization fetal growth charts: A multinational longitudinal study of ultrasound biometric measurements and estimated fetal weight. PLoS Med. 14, 1–36 (2017).
Wesnes, S. L. & Lose, G. Preventing urinary incontinence during pregnancy and postpartum: a review. Int. Urogynecol. J. 24, 889–899. https://doi.org/10.1007/s00192-012-2017-3 (2013).
Zhou, Y. et al. Association between total water intake and dietary intake of pregnant and breastfeeding women in China: a cross-sectional survey. BMC Pregnancy Childbirth 19, 1–10 (2019).
Funding
This work was supported by JSPS KAKENHI Grant Number JP22K21169.
Author information
Authors and Affiliations
Contributions
Y. Tateoka, S. Kubota, S. Kageyama, and A. Kawauchi designed the study. R. Oe, M. Miyatake, and F. Itani collected and processed the data. R. Oe, K. Kobayashi, Y. Tateoka, S. Kubota, A. Wada, S. Kageyama, and A. Kawauchi performed statistical analysis. R. Oe, K. Kobayashi, and A. Wada drafted the manuscript. All authors reviewed the manuscript, contributed to the article, and approved the submitted version.
Corresponding authors
Ethics declarations
Competing interests
The authors declare no competing interests.
Ethics statement
Ethics approval was obtained from the Ethics Committee of Shiga University of Medical Science (R2021-003), located in Otsu City, Shiga, Japan.
Additional information
Publisher’s note
Springer Nature remains neutral with regard to jurisdictional claims in published maps and institutional affiliations.
Rights and permissions
Open Access This article is licensed under a Creative Commons Attribution-NonCommercial-NoDerivatives 4.0 International License, which permits any non-commercial use, sharing, distribution and reproduction in any medium or format, as long as you give appropriate credit to the original author(s) and the source, provide a link to the Creative Commons licence, and indicate if you modified the licensed material. You do not have permission under this licence to share adapted material derived from this article or parts of it. The images or other third party material in this article are included in the article’s Creative Commons licence, unless indicated otherwise in a credit line to the material. If material is not included in the article’s Creative Commons licence and your intended use is not permitted by statutory regulation or exceeds the permitted use, you will need to obtain permission directly from the copyright holder. To view a copy of this licence, visit http://creativecommons.org/licenses/by-nc-nd/4.0/.
About this article
Cite this article
Minami, R., Kobayashi, K., Miyatake, M. et al. Urinary function changes during pregnancy assessed by frequency volume charts in a prospective longitudinal study. Sci Rep 15, 24710 (2025). https://doi.org/10.1038/s41598-025-10128-5
Received:
Accepted:
Published:
Version of record:
DOI: https://doi.org/10.1038/s41598-025-10128-5








