Abstract
Cadmium (Cd) contamination has become a major environmental issue and has toxic effects on agricultural crops. Selenium (Se) is an essential trace element that plays an important role due to its impact on several physiological and biochemical processes in plants. This study addresses the mechanistic insights into the role of SeNPs in enhancing Cd stress tolerance, thereby contributing to sustainable nano-agronomic strategies for the soils contaminated with heavy metals (HMs). The current experimental approach involved a pot trial conducted in a greenhouse with two levels of cadmium stress (C1 = control; C2 = 20 mg kg−1 of soil w/w using CdCl2), and four levels of SeNPs (0, 25, 50, and 75 mg L−1) in mungbean plants. The findings indicated that cd stressed conditions significantly affected the productivity of mungbean plants. The optimal level of SeNPs significantly enhanced the growth, biomass, and photosynthetic traits of mungbean. This study also indicated that Cd-stressed conditions increased lipid peroxidation and membrane damage. Moreover, SeNPs application increased soluble protein (110.10%), and decreased the proline accumulation (64.45%) and malondialdehyde (MDA) contents (64.25%) in comparison with control (0 mg L−1 of SeNPs). Furthermore, the SeNPs also decreased the leaf Cd contents by 64.95% and grain Cd contents by 64.88% by reduced Cd uptake. An optimum level of SeNPs offers great potential as an eco-friendly and feasible method for mitigating the effects of Cd stress on mungbean plants. However, long-term environmental impact of Se NPs, including their bioavailability, accumulation, and potential toxicity, is crucial for ensuring their safe and sustainable use in agriculture.
Similar content being viewed by others
Introduction
Soil contamination with toxic heavy metals (HMs) poses a major global challenge, severely compromising agricultural productivity and threatening food quality and security1, particularly when these metals are present in soils used for growing food and feed crops2,3. As a non-essential HMs, cadmium (Cd) exhibits the highest solubility and bioavailability, facilitating its absorption by plants with notable ease4,5. Plants are adversely affected by Cd poisoning, including reduced agricultural production, growth inhibition, foliage chlorosis, loss of photosynthetic pigments, metabolic disturbance, homeostasis disorder and oxidative stress6,7. It can significantly impact plant health by interfering with various key functions. It may compromise membrane integrity, disrupt physiological processes8, and affect metabolic and biochemical reactions9,10. Cadmium infiltrates plants by first penetrating the root cortical tissues, and then accessing the roots11. Its uptake in plants involves specific transporters, including the Zinc-regulated transporter (ZIP) family, which facilitates Cd entry into plant cells. The ZIP transporters play a key role in the uptake of Cd through the root system. It moves through the xylem via either symplastic pathways where it travels through the cytoplasm of plant cells via plasmodesmata or apoplastic pathways where it moves through the cell walls and intercellular spaces, and eventually accumulates in the grains. This accumulation above 0.05 mg kg−1 for dry weight in grains makes the grains highly toxic for human consumption and can pose health risks12.
Producing transgenic crops that are tolerant to metal contamination in agriculture offers an alternative13, however, it entails numerous drawbacks concerning the stability of these crops in natural ecosystems, as well as various ecological concerns associated with the cultivation of edible transgenic plants14. On the other hand, the use of growth-promoting microorganisms, phytohormones, and plant nutrients mitigates Cd-induced stress in plants15. Recent research indicates that selenium may alleviate various forms of abiotic stress in cultivated plants16,17. The detoxification of ROS through antioxidant mechanisms protects plants from oxidative damage. Consequently, Se enhances antioxidative defense mechanisms and membrane integrity, which are considered as critical factors for stress mitigation in plants18. The application of SeNPs enhance the nutrient uptake and reduced the Cd uptake by regulating shoot-to-root transport, leading to enhanced tolerance to Cd. Likewise, Se mitigated the toxic effects of Cd-stress by decreasing Cd-bioaccumulation and MDA concentrations, in addition to enhance antioxidant activity, growth and grain yield in the supplemented wheat plants19,20. Regarding foliar application, NPs are absorbed through leaf stomata, where they can enhance plant defense mechanisms, reduce oxidative stress, and improve photosynthetic efficiency under stress conditions21.
Mung bean has been utilized as the subject of research due to its widespread popularity in Asia and its sensitivity to Cd22. It serves as an effective atmospheric nitrogen fixer in the soil, enhancing soil fertility and playing a significant role in intercropping systems, thereby reducing the reliance on costly fertilizers23. The unique characteristics of NPs can be optimally utilized for seed germination and overall agricultural production24. From the available literature, it has been hypothesized that SeNPs could enhance the nutrient uptake, plant growth and yield of various crop plants i.e., Salvia officinalis, Zea mays and Coriandrum sativum when applied through the foliar feeding24,25,26. Furthermore, the post-emergence treatment with SeNPs mitigates abiotic stress in plants27. However, there is limited information regarding the effectiveness of SeNPs in reducing Cd stress in mungbean. The present work hypothesized that the foliar application of SeNPs enhances the plant’s physiological response, thereby reducing the uptake and toxicity of Cd in mungbean plants under Cd stress. The main objectives of current study were to: (1) assess the impact of induced Cd stress on plant growth, tissue health, biochemical properties and quality characteristics of mungbean; and (2) assess the effectiveness of various doses of foliar-applied SeNPs in alleviating induced Cd stress.
Materials and methods
Experimental plan
This pot experiment was performed in a greenhouse of Department of Environmental Science, The University of Lahore, Pakistan. The treatments of current study were consisted of two factors that included: Cd stress (C1 = control; C2 = 20 mg kg−1 of soil w/w using CdCl2), and SeNPs levels, L1 = 0, 25, 50 and 75 mg L−1 using completely randomized design (CRD) under factorial arrangements with three replicates. During the experiment the average daytime temperature was maintained at 28–32 °C and relative humidity was kept at 60–70%, while the nighttime temperature ranged between 20 and 24 °C and relative humidity was kept at 70–80%. The methodology and characterization of green synthesized Se nanoparticles were reported in our previous study Malik et al.28. SeNPs synthesized via green methods typically exhibit sizes ranging from 100 nm to 2000 nm, with hexagonal structure shapes.
Crop husbandry
Soil samples were collected from two adjacent farmlands at a depth of 0–30 cm, with the soil classified as sandy clay loam. Five soil samples were collected and bulked to prepare representative sample for soil analysis. The initial soil characteristics of the experimental soils was depicted in the Table 1. About 7 kg soil was placed into plastic pots with top diameter of 25 cm and a height of 23 cm. The mungbean seeds of the variety (cv. Azri-2006) was selected due to its widespread cultivation and purchased from the Ayub Agricultural Research Institute (AARI), Faisalabad, Pakistan. This mungbean cultivar is Cd-sensitive29. Seven viable seeds were directly sown, cultivated, and maintained in each pot. Initially, the metal was omitted, and metal stress was applied 25 days after sowing. At four to five leaves stage the metal stress was applied by mixing the required quantity of metal in distilled water by following the protocols of our previous studies30,31,32,33,34. According to these protocols, the Cd metal for the treatment was mixed in the 100 ml of the distilled water. The Cd solution was applied as soil application, and manual hoeing was done two days later to enhance the distribution of Cd contamination in the soil. The controls, which were not exposed to any metal stress, were given only distilled water. A moderate strength Hoagland solution (1 L per week per pot) was used to fulfill the nutritional requirements of the mungbean plants. Irrigation, weeding and other agronomic practices were carried out normally throughout the experiment. To prepare the SeNPs solution, 25, 50 and 75 mg of SeNPs were dissolved in one liter water as per treatment chart. To achieve the uniform dispersions of the solutions, they were ultrasonicated34. Foliar sprays were applied 15-days after the stress application. After 15-days of Se treatment, mungbean plants were harvested to evaluate the growth, biomass, and biochemical traits.
Growth and biomass parameters
Samples from three randomly selected plants were collected, separating the roots and shoots to estimate their respective lengths. The lengths of the roots and shoots were measured using a scale, while the fresh weights of the shoots and roots were obtained with the help of an electric weighing balance. In order to determine the dry mass of the roots and shoots separately, samples were dried in an oven at 70◦C for 48 h.
Physiological parameters
Five grams of fresh young leaves were homogenized with 85% acetone (v/v) at 4 °C for 24 h and then allowed to stand in the dark. Samples were then centrifuged at 4000 × g for 10 min and 4 ℃ respectively; absorbance of the supernatant was checked at 470, 647, and 664.5 nm on a spectrophotometer (Halo DB-20/DB-20 S, UK) to estimate chlorophyll a, chlorophyll b and carotenoids according to protocols described by Lichtenthaler35. Total chlorophyll contents in the samples were estimated by adding chlorophyll a and b. All photosynthetic parameters were assessed from the top leaves using a portable photosynthesis apparatus (LI-6400×T Portable Photosynthesis System (Li-COR Environmental, Lincoln, NE, USA) between 9:00 and10:00 am on a clear sunny day.
Membrane damage and lipid per oxidation attributes
We chose five leaves from each treatment and cleaned them by passing them through 500 milliliters of deionized water three times to remove surface electrolytes. The 5-mL samples of deionized water were placed into closed tubes and incubated at 10 °C for 24 h. After preparation the initial solution conductivity with a conductometer was measured. After boiling the samples for 20 min, the electrical conductivity test at 25 °C measured EC2 values according to established protocols36. Final EL was calculated using formula:
The levels of malondialdehyde (MDA) contents were measured by the thiobarbituric acid (TBA) treatment based on Heath and Packer’s37 technique. About 2 g of ground plant material (0.25 mm sieve size) with 2 milliliters of 0.5% TCA were blended. The sample was centrifuged at 10,000 g for 20 min to separate the supernatant. In the next step, 1 mL supernatant was homogenized in 5 mL, containing 20% TCA and 0.5% TBA. The resulting solution was placed in water bath for 0.5 h and cooled as rapidly as possible. After cooling the centrifugation at 10,000 g for 10 min was done. The absorbance value at 532 nm, of the supernatant was taken to measure the value of MDA contents.
Enzymatic antioxidants activities
For the determination of enzymatic antioxidants and lipid peroxidation attributes, fresh leaves samples (0.3 g) were ground and homogenized in a mortar (4.5 mL precooled 0.9% (w/v) phosphate buffer solution (0.1 mol L−1; pH = 7.4). For further testing, supernatant was obtained after centrifuging at 12, 000 rpm for 20 min at 4 ℃. The activities of SOD, POD, and CAT were measured using special test kits (A064, Nanjing Jiancheng Bioengineering Institute, Nanjing, China) by following the standard instructions38. Ascorbate peroxidase (APX) activity was determined by the decrease in absorbance of oxidized ascorbate at 290 nm in a UV-Visible spectrophotometer. One unit of APX is expressed as the amount of enzyme that transforms one µmol of ascorbate per minute39.
Estimation of proline and soluble protein contents
From each plant, a new leaf sample of 0.5 g was mixed with buffer solution with a pH around 7.2 and saline phosphate buffer with 1 µM protease inhibitors. To prepare the saline buffer, 1.37 mM NaCl, 2 mM KH2PO4, 2.7 mM KCl, and 10 mM Na2HPO4 were dissolved in 1 L of the deionized water. The pH of the buffer solution was adjusted using diluted HCl. Subsequently, the solution was subjected to autoclave and centrifuge for five minutes with the purpose of extracting supernatant. Proline content was estimated by Bates et al.40 protocol followed by soluble protein determination following the method given by Bradford assay41.
Yield attributes
Three plants were selected from each pot at the time of harvesting. From the selected plants, three pods were selected randomly. The pod length was measured using the measuring tape, while the 100 seeds weight was determined by the analytical weighing balance; both parameters were determined by following the protocols of Ahmad et al.30.
Cadmium concentration
Mung bean seed sample (0.5 g) was taken through digestion with a di-acid mixture. The vessel is then heated gradually to facilitate the breakdown of the sample and the release of metals into solution. The digestion process continues until the sample becomes clear or colorless, indicating complete digestion. After digestion, the solution is cooled, and any remaining acid is neutralized, typically by dilution (25 ml) with deionized water. The sample is then filtered to remove any insoluble particles, and the final volume is adjusted before it is ready for analysis using atomic absorption spectroscopy. The flame atomic absorption spectrophotometer (HITACHI Z-2000) used in determining the concentration of Cd+2 in seeds of mung bean via method prescribed by Abbas et al.42.
Statistical analysis
Two-way analysis of variance (ANOVA) was conducted on the dataset to identify statistically significant differences and dominant patterns among the applied treatments. Tukey’s honestly significant difference (HSD) test at 5% significance level was used to evaluate the significant difference among treatment means. The statistical software package (e.g., “Statistics 8.01”) was used to analyze the data. Principal component analysis, heat map, radar analysis, chord analysis and correlation were computed using the statistical and visualization tool of RStudio software (R version 4.4.3).
Results
Growth and biomass attributes
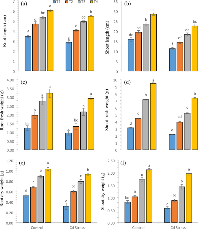
The data analysis showed that the Cd stress had negative impact on the growth and biomass traits of mungbean plants. All growth and biomass parameters showed a linear negative correlation. However, the foliar treatment of mungbean plants with SeNPs at various dosages significantly (p < 0.05) impacted fresh weight, dry weight, and growth parameters of the plants under both control and Cd stress conditions as demonstrated in Fig. 1. Overall, Cd stress reduced the root length by 11.29%, shoot length by 23.66%, root fresh weight by 19.65%, shoot fresh weight 22.76%, root dry weight by 15.38%, and shoot dry weight by 22.76% as compared to control conditions. SeNPs applied at the concentration of 75 mg L−1 revealed the highest value of root length, 2.4 cm, shoot length, 10.5 cm, root fresh weight, 2.92 g; shoot fresh weight, 7.33 g, root dry weight 0.93 g and shoot dry weight, 1.96 g than control under Cd stressed situations.
Impact of various dosages of green synthesized Se nanoparticles on the growth and biomass (fresh and dry) traits of mung bean cultivated in a Cd-induced stress. Letters above bars denote significant difference in each parameter as determined according to the Tukey’s HSD test at 5% significance level. The standard deviation of three replicates is indicated by capped lines; T1 depicts control, T2 = 25 mg L−1, T3 = 50 mg L−1, T4 = 75 mg L−1 of Se-NPs; (a) root length; (b) shoot length; (c) root fresh weight; (d) shoot fresh weight; (e) root dry weight; (f) shoot dry weight.
Photosynthetic attributes
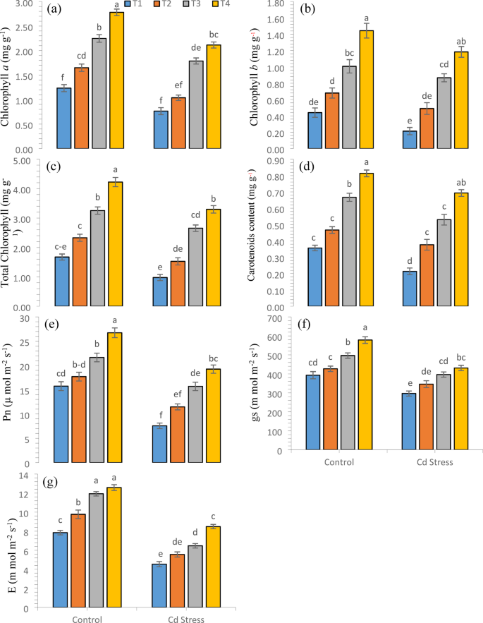
Various levels of foliar applied SeNPs significantly (p < 0.05) affected the synthesis of photosynthetic pigments in mungbean over control treatment under the Cd stress as demonstrated in Fig. 2. Cadmium stress indicated the maximum decrease in chlorophyll a (27.78%), chlorophyll b (22.47%), total chlorophyll (26.48%), carotenoids content (22.41%), net photosynthetic rate (Pn) (39.89%), stomatal conductance (gs) (22.41%) and transpiration rate (E) (40.51%) as compared to control conditions. The foliar application of SeNPs at a concentration of 75 mg L−1 demonstrated the most significant positive effect on enhancing photosynthetic traits in the leaves of mungbean. The best level of foliar applied SeNPs chlorophyll a (2.78 and 2.11 mg g−1), chlorophyll b (1.44 and 1.18 mg g−1), total chlorophyll (4.22 and 3.30 mg g−1), carotenoids content (0.81 and 0.69 mg g−1), Pn (26.74 and 19.25 µ mol m−2 s−1), gs (578.16 and 431.10 m mol m−2 s−1) and E (12.58 and 8.49 m mol m−2 s−1) under control Cd stressed conditions, respectively.
Impact of various dosages of green synthesized Se nanoparticles on the photosynthetic traits of mung bean cultivated in a Cd-induced stress. Letters above bars denote significant difference in each parameter as determined according to the Tukey’s HSD test at 5% significance level. The standard deviation of three replicates is indicated by capped lines; T1 depicts control, T2 = 25 mg L−1, T3 = 50 mg L−1, T4 = 75 mg L−1 of Se-NPs; (a) chlorophyll a; (b) chlorophyll b; (c) total chlorophyll; (d) carotenoids content; (e) photosynthetic rate; (f) stomatal conductance; (g) transpiration rate.
Enzymatic antioxidants attributes
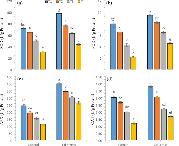
The data represented in Fig. 3 revealed the impact of different concentrations of foliar applied SeNPs under control and Cd stress conditions on the enzymatic antioxidants in the mungbean plants. Induced Cd stress produced a linear increment in the enzymatic antioxidants’ activities in the mungbean plant. Under induced Cd stress, catalase activity was significantly increased by 20.72%, SOD activity by 29.62%, peroxidase activity by 36.97% and APX activity by 85.66% compared with control conditions. Optimal concentration of SeNPs when sprayed on mungbean plants minimized the enzymatic antioxidant level present in the leaves under non-stressed and Cd stressed conditions. These results revealed that the optimal concentration of SeNPs treatment (75 mg L−1) lowered the specific enzyme activities including catalase (55.67%), superoxide dismutase (54.90%), peroxidase (52.11%), and APX (33.81%) as compared to the control in plants exposed to Cd stress.
Impact of various dosages of green synthesized Se nanoparticles on the enzymatic antioxidants of mung bean cultivated in a Cd-induced stress. Letters above bars denote significant difference in each parameter as determined according to the Tukey’s HSD test at 5% significance level. The standard deviation of three replicates is indicated by capped lines; T1 depicts control, T2 = 25 mg L−1, T3 = 50 mg L−1, T4 = 75 mg L−1 of Se-NPs; (a) superoxide dismutase activity; (b) peroxidase activity; (c) ascorbate peroxidase activity; (d) catalase activity.
Lipid per oxidation and membrane damage related attributes
Data on lipid per oxidation and membrane damage attributes of mungbean plants shown in Fig. 4 exhibited that Cd stress increased the lipid per oxidation and membrane damage attributes of mungbean. Cd stress increased the MDA contents (15.15%) and electrolyte leakage (36.84%) as compared to control. However, the application of SeNPs significantly reduced malondialdehyde (MDA) content by 64.25% and electrolyte leakage by 51.22% compared to the control (without Se NPs) under Cd stressed conditions.
Impact of various dosages of green synthesized Se nanoparticles on the lipid per oxidation and membrane damage related attributes of mung bean cultivated in a Cd-induced stress. Letters above bars denote significant difference in each parameter as determined according to the Tukey’s HSD test at 5% significance level. The standard deviation of three replicates is indicated by capped lines; T1 depicts control, T2 = 25 mg L−1, T3 = 50 mg L−1, T4 = 75 mg L−1 of Se-NPs; (a) malondialdehyde contents; (b) electrolyte leakage.
Proline and soluble protein contents
The mungbean plants exposed to Cd stress showed a linear increase in osmolyte attributes as demonstrated in Fig. 5. Increased accumulation of osmolyte traits was observed during Cd stress compared to control conditions. The optimal concentration of SeNPs (75 mg L−1) reduced proline levels while boosting soluble protein content in mungbean plants compared to the control group, which did not utilize SeNPs. The optimal concentration of SeNPs resulted in a 110.10% increase in soluble protein and a 60.45% reduction in proline accumulation.
Impact of various dosages of green synthesized Se nanoparticles on the osmolytes attributes of mung bean cultivated in a Cd-induced stress. Letters above bars denote significant difference in each parameter as determined according to the Tukey’s HSD test at 5% significance level. The standard deviation of three replicates is indicated by capped lines; T1 depicts control, T2 = 25 mg L−1, T3 = 50 mg L−1, T4 = 75 mg L−1 of Se-NPs; (a) proline contents; (b) soluble protein contents.
Yield attributes
Data on yield attributes of mungbean plants shown in Fig. 6 exhibited that Cd stress decreased yield attributes of mungbean. Cd stress decreased the pod length (17.32%) and 100 seed weight (14.14%) as compared to control. Maximum pod length (12.1 cm) and 100 seeds weight (6.14 g) under control conditions (no-Cd stress) and (9.1 cm) and (5.44 g) under Cd stressed conditions was observed where foliar application of SeNPs at the rate 75 mg L−1 was applied, respectively.
Impact of various dosages of green synthesized Se nanoparticles on the yield related attributes of mung bean cultivated in a Cd-induced stress. Letters above bars denote significant difference in each parameter as determined according to the Tukey’s HSD test at 5% significance level. The standard deviation of three replicates is indicated by capped lines; T1 depicts control, T2 = 25 mg L−1, T3 = 50 mg L−1, T4 = 75 mg L−1 of Se-NPs; (a) pod length; (b) 100-seeds weight.
Cadmium accumulation
The findings of this study revealed that different concentrations of foliar applied Se NPs led to significant variations in Cd accumulation in the mungbean leaves as shown in Fig. 7. The application of the best level of foliar-applied SeNPs resulted in a notable decrease in leaf Cd contents by 64.95% and grin Cd contents by 64.88%.
Impact of various dosages of green synthesized Se nanoparticles on the Cd accumulation in various parts of mungbean cultivated in a Cd-induced stress. Letters above bars denote significant difference in each parameter as determined according to the Tukey’s HSD test at 5% significance level. The standard deviation of three replicates is indicated by capped lines; T1 depicts control, T2 = 25 mg L−1, T3 = 50 mg L−1, T4 = 75 mg L−1 of Se-NPs; (a) leaf Cd concentration; (b) grain Cd concentration.
Correlation analysis
Significant relationship was also noticed among all growth, biochemical, lipid peroxidation, ROS related, enzymatic and quality attributes of mungbean plants. Chlorophyll and carotenoid alterations also showed negative correlations with enzyme activities (SOD, POD, CAT and APX activities), lipid peroxidation indicators (MDA contents) and proline content. Proline and MDA had very significant negative relation with total chlorophyll, carotenoids and the quality attributes. Likewise, photosynthetic traits like the chlorophyll contents, photosynthetic rate, transpiration rate and stomatal conductance showed substantial positive associations with the growth and root and shoot biomass (both fresh and dry) attributes of the mungbean as represented in Fig. 8.
Correlation matrix of various measured attributes of mungbean by the use of green synthesized Se nanoparticles grown under induced Cd stress. SFW = shoot fresh weight; SP = soluble protein; TCHL = total chlorophyll contents; RFW = root fresh weight; SW = seed weight; RL = root length; SDW = shoot dry weight; RDW = root dry weight; Pn = photosynthetic rate; gs = stomatal conductance; E = transpiration rate; PL = panicle length; EL = electrolyte leakage; MDA = malonaldehyde; POD = peroxidase activity; SOD = superoxide dismutase activity; APX = ascorbate activity; L.Cd = leaf Cd accumulation; G.Cd = grain Cd accumulation.
Principal component analysis
The principal component analysis (PCA) of the 23 measured variables accounts for 95.6% variability for the mung plants. A clear trend of the control and Cd contents-induced stress responses is observed as demonstrated in Fig. 9. The control conditions in the experimental work associated with SL, Pn, E, PL, and carotenoids among others by plotting in the PC1 positive and PC2 negative quadrant. The additional impact of green synthesized nanoparticles ranging from T1 to T4 is also observed by a trend from the negative PC1 axis to the positive PC1 axis. Such applications seem to favour higher levels of T-CHL, SP, and SFW among several other parameters. The PCA biplot also suggests a clear separation between growth-related and stress-related physiological traits. Proline, MDA, and enzymatic antioxidants (POD, CAT) cluster together in the negative direction of PC1, signifying their strong association with stress responses rather than growth performance. Conversely, carotenoids and photosynthetic traits (Pn, gs, E) align positively with PC1, indicating their role in promoting plant growth. The cluster formed in the negative and positive quadrants of the PC1 and PC2 axes is associated with Cd applied to lower levels of SeNPs. This cluster is also associated with measured parameters of POD, CAT, MDA, and others.
Principal component analysis figure depicting the loadings of the variables that were measured along with the contributions of the two main components (PC1 and PC2). SFW = shoot fresh weight; SP = soluble protein; TCHL = total chlorophyll contents; RFW = root fresh weight; SW = seed weight; RL = root length; SDW = shoot dry weight; RDW = root dry weight; Pn = photosynthetic rate; gs = stomatal conductance; E = transpiration rate; PL = panicle length; EL = electrolyte leakage; MDA = malonaldehyde; POD = peroxidase activity; SOD = superoxide dismutase activity; APX = ascorbate activity; L.Cd = leaf Cd accumulation; G.Cd = grain Cd accumulation.
Chord analysis
The chord diagram depicts measured parameters of mung plants by the graphical method of displaying the inter-relationships among data points drawn as arcs as shown in Fig. 10. The upper hemisphere showed the measured parameters and the lower hemisphere indicated the conditions applied during the experiment work. The flows or connections between several entities are dominated by gs, APX, and SOD parameters. For instance, APX levels indicated a strong collection with Cd-added conditions in which there are low levels of applied SeNPs (T1 conditions).
The chord diagram of determined parameters of the mung plant and the associations of entities. SFW = shoot fresh weight; SP = soluble protein; TCHL = total chlorophyll contents; RFW = root fresh weight; SW = seed weight; RL = root length; SDW = shoot dry weight; RDW = root dry weight; Pn = photosynthetic rate; gs = stomatal conductance; E = transpiration rate; PL = panicle length; EL = electrolyte leakage; MDA = malonaldehyde; POD = peroxidase activity; SOD = superoxide dismutase activity; APX = ascorbate activity; L.Cd = leaf Cd accumulation; G.Cd = grain Cd accumulation.
Redar analysis
The radar shows the 23 measured variable levels allowing comparison of relative contributions. For instance, carotenoid to RL (clockwise) are marked by the controlled conditions. The G-Cd to CAT is marked by the Cd applied conditions of the mung plants. The SP and MD are marked by the elevated level conditions of applied selenium nanopores (e.g., T4 condition) as demonstrated in Fig. 11.
The radar chart depicting changes of measured variable levels radially of the mung plant experiment; SFW = shoot fresh weight; SP = soluble protein; TCHL = total chlorophyll contents; RFW = root fresh weight; SW = seed weight; RL = root length; SDW = shoot dry weight; RDW = root dry weight; Pn = photosynthetic rate; gs = stomatal conductance; E = transpiration rate; PL = panicle length; EL = electrolyte leakage; MDA = malonaldehyde; POD = peroxidase activity; SOD = superoxide dismutase activity; APX = ascorbate activity; L.Cd = leaf Cd accumulation; G.Cd = grain Cd accumulation.
Discussion
The foliar application of SeNPs significantly improved growth and biomass production in mungbean under Cd stress. In mung bean seedlings, Cd exposure affects the activity of hydrolyzing enzymes, plant development, and seed germination43. Elevated levels of Cd have the potential to inhibit plant growth, limit leaf expansion, and interfere with developmental processes. On the other hand, under Cd stress, foliar application of SeNPs improved mung bean growth traits. It was observed that radish yield, nutritional quality, and selenium content as a result of bio-nano-selenium44. From the literature it was observed that stressed mung bean plants benefit from Se fertilization, which lowers sodium absorption and enhances reproductive function, pod set, and seed yield45. By influencing root growth, nutritional availability, and photosynthesis, SeNPs enhanced the quality of lettuce46,47. It has been observed that applying SeNPs foliar spray improves the uptake of nutrients and metabolism in plants, potentially reducing the effects of HMs stress in crop plants48.
Cadmium led to a decrease in photosynthetic parameters, while mung bean plants treated with Se NPs exhibited a significant improvement in these parameters. The physiological, biochemical and water-related characteristics of mung bean plants cultivated in Cd- contaminated soil enhanced by SeNPs spray. The Cd bioaccumulation in wheat seedlings affects the biomass productivity, photosynthetic traits, and trace elements49. HMs such as Cd negatively impacted the photosynthetic efficiency, and photosynthetic performance of tobacco leaves50. Cadmium buildup in mung bean can delay photosynthesis, resulting in decreased pigments contents and chlorosis51. On the other hand, Application of foliar SeNPs improved physiological, biochemical and water-related characteristics of mung bean grown on Cd-contaminated soils. The SeNPs have been shown to improve plant photosynthesis, water uptake, and nutrient absorption, thereby mitigating the negative impacts of Cd stress on plant growth and development. The physiological, biochemical properties of lettuce caused by Cd-contamination can be mitigated by treating it with nano-selenium46,52. Growth, photosynthetic pigments and leaf gas exchange of maize are all altered by Cd stress53. Foliar application of SeNPs improved mung bean gas exchange under Cd stress54. High Cd pollution exposure can cause plants to absorb less water and have fewer effective roots55,56.
Results regarding how foliar application of SeNPs affected the antioxidant enzyme activities of mung bean plants cultivated in Cd-contaminated soil. In stressed environments, plants activate their natural defenses57,58. Nano-selenium possesses strong antioxidant properties, which can reduce the oxidative damage caused by exposure to heavy metals. Plant tissues can reduce oxidative damage and protect from damage caused by scavenging ROS with the application of nano-selenium59,60. POD, CAT and SOD efficiently detoxifies the oxidative free radicals and inhibits lipid peroxidation and hydrogen peroxide. This could adversely affect root growth, as cadmium (Cd) damages cells and disrupts the metabolic pathways essential for root elongation. Pea plant development and oxidative metabolism are altered by Cd61. According to62, plants can develop toxicity, and tolerance to Cd. In the present work, membrane lipid peroxidation occurred due to Cd stress, leading to an excess of reactive oxygen species (ROS). According to recent studies, HMs cause oxidative injury to a variety of plant species, including citrus63, lettuce64, and different plant species65. On the other hand, mung beans under Cd stress reduced oxidative stress parameters. When foliar Se-NPs were applied, a reduction in those parameters was observed in plants subjected to Cd stress. The defense mechanisms of plants against heavy metal stress have improved, as evidenced by the decrease in damage caused due to SeNPs66. The antioxidant enzyme activities in sesame plant are modulated by NPs, which reduce oxidative damage and counteract with reactive oxygen species. The plants cultivated in Cd-contaminated soil showed scavenging of ROS, by applying Se NPs, which reduced the damage. The application of SeNPs reduced plants’ lipid peroxidation, reduction in the membrane damage and an improved membrane integrity67. According to68, SeNPs helps in promoting normal physiological processes in plants under stress. SeNPs also assist in improving thiol compounds, which play a crucial role in detoxifying heavy metals. This makes SeNPs more effective than other metallic nanoparticles like silver (AgNPs) or gold (AuNPs) in enhancing plant tolerance to Cd stress69.
Cadmium stress damage plants and interferes with their key metabolites. This can negatively affect root growth, as cadmium damages cells and disrupts the metabolic pathways required for root elongation. Cadmium causes interruptions in the basic metabolism of plants, which change the quantity of protein and soluble carbohydrates in plants that alter the plant’s growth, development, and stress tolerance capacity and then affect crop output and quality. Nanoparticles effect on Cd bioaccumulation and their possible application in the remediation of Cd-contaminated soil70,71. It has been revealed that the nano-selenium enhances the plant’s ability to absorb nutrients and metabolism, which help to mitigate the heavy metal stress. The growth of plants and strength is stimulated by improving the availability and uptake of nutrients, which in turn strengthens the plant’s resistance48. Selenium NPs enhance root growth, nutrient availability, and photosynthesis of lettuce46. Similar observations were also observed in the current study. In another study, the application of selenium NPs minimized the uptake of Cd and also enriched in Brassica chinensis L66.
In the current study the SeNPs’ impact on Cd uptake in mung bean plants was also evaluated. The results demonstrated that the higher levels of Cd in the root and shoot tissue as compared to the control plants in those pots where Cd stress was applied as demonstrated in Fig. 7. Many physiological and biochemical alterations brought on by Cd exposure in plants might result in toxic symptoms and growth retardation71,72,73,74. The findings, however, were in line with previous studies in that the mechanisms limiting the toxicity of HMs in plants through co-foliar spraying of nanoparticles limited the transfer of Cd from root to shoot and decreased the absorption of Cd to the roots of mung bean plants20,75. Heavy metal ions can be chelated and sequestered by nano selenium through the formation of complexes with them. As a result, there are fewer HMs available for plant roots to absorb and relocate within the plant. Nano-selenium assists in preventing the build-up of HMs in plants to dangerous levels by immobilizing them in the soil or inside plant tissues76,77. SeNPs can also promote the synthesis of phytochelatins and metallothioneins, which chelate heavy metals and reduce their toxic effects. In maize seedlings, foliar treatment of SeNPs reduces Cd toxicity and decreases bioavailability66. The Cd content may have decreased due to complication with Se or sequestration by SeNPs in root tissues20. Therefore, one effective method of lowering the toxicity of Cd in plants is the exogenous delivery of SeNPs. Additionally, SeNPs improved the growth by enhancing the uptake and utilization of essential nutrients which are critical for plant growth and stress tolerance. The SeNPs interact with Cd ions, reducing their bioavailability by binding to Cd and forming less toxic complexes78. This reduces the uptake and translocation of Cd to various plant tissues1. These findings help us understand how SeNPs reduce Cd toxicity and improve nutrient availability, which leads to better plant growth and resilience in Cd-contaminated environments. Phytoremediation and agricultural practices aimed at enhancing crop resilience in adverse situations may benefit from this tactic. Nano-selenium exhibits great potential as an environmentally safe method of alleviating heavy metal stress in plants due to its antioxidant potential, capacity to chelate or sequester HMs, capacity to control gene expression, and potential to enhance nutrient uptake and metabolism. A limitation of current studies on SeNPs and Cd tolerance is the lack of long-term field trials, which are essential to evaluate the sustainability and effectiveness of SeNPs in real-world agricultural conditions. Additionally, molecular studies focusing on gene expression related to antioxidant defense mechanisms are needed to better understand the underlying molecular pathways involved. Future research should also explore the potential synergistic effects of SeNPs with other biostimulants to enhance plant resilience to multiple abiotic stresses.
Conclusions
In conclusion, the Cd stress negatively affects mungbean plants by impairing crucial physiological and biochemical traits. Induced Cd stress increased the levels of membrane-related electrolyte leakage, lipid peroxidation (MDA content), and Cd accumulation in the leaves and grains of mungbean plants. The optimal level of SeNPs significantly alleviated the Cd-derived negative impacts on the growth of mungbean plants by improving the photosynthetic traits through enhanced chlorophyll content, increased antioxidant defense by the modulation of antioxidant activity and help in osmoprotectants synthesis through reduction in proline level. It may be concluded that the use of SeNPs is an ecological and environmentally friendly approach, which may provide better tools to improve plant growth in the soils contaminated with Cd.
These findings can be extended to other crops facing heavy metal stress, providing farmers with a cost-effective strategy to cultivate crops in polluted regions. By integrating Se NPs into agricultural practices, this research contributes to improved environmental sustainability, and human health in areas affected by heavy metal contamination. Furthermore, the scalability of SeNPs for large-scale agricultural applications under field conditions remains uncertain, requiring more comprehensive evaluations to ensure their practical viability.
Data availability
The author confirms that all data generated or analyzed during this study are included in this article.
References
Zaman, Q. U. et al. Silicon fertilization: a step towards cadmium-free fragrant rice. Plants 10 (11), 2440 (2021).
Chen, L., Hu, W., Long, C. & Wang, D. Exogenous plant growth regulator alleviate the adverse effects of U and cd stress in sunflower (Helianthus annuus L.) and improve the efficacy of U and cd remediation. Chemosphere 262, 127809 (2021).
Feng, Z., Ji, S., Ping, J. & Cui, D. Recent advances in metabolomics for studying heavy metal stress in plants. TRAC Trends Anal. Chem. 143, 116402 (2021).
Chen, F. et al. Mitigation of lead toxicity in Vigna radiata genotypes by silver nanoparticles. Environ. Pollut. 308, 119606 (2022).
Riaz, U. et al. Cadmium contamination, bioavailability, uptake mechanism and remediation strategies in soil-plant-environment system: a critical review. Curr. Anal. Chem. 17 (1), 49–60 (2021).
Javaid, S. et al. Risk assessment of potentially toxic metals and metalloids in soil, water and plant continuum of fragrant rice. Agronomy 12 (10), 2480 (2022).
Mishra, J., Singh, R. & Arora, N. K. Alleviation of heavy metal stress in plants and remediation of soil by rhizosphere microorganisms. Front. Microbiol. 8, 1706 (2017).
Arif, N. et al. Influence of high and low levels of plant-beneficial heavy metal ions on plant growth and development. Front. Environ. Sci. 4, 69 (2016).
Touzout, N., Mehallah, H., Moralent, R., Moulay, M. & Nemmiche, S. Phytotoxic evaluation of neonicotinoid Imidacloprid and cadmium alone and in combination on tomato (Solanum lycopersicum L). Ecotoxicology 30, 1126–1137 (2021).
Batool, T. et al. Alleviation of cadmium stress by silicon supplementation in peas by the modulation of morpho-physio-biochemical variables and health risk assessment. Life 12 (10), 1479 (2022).
Touzout, N., Mehallah, H., Moralent, R., Nemmiche, S. & Benkhelifa, M. Co-contamination of deltamethrin and cadmium induce oxidative stress in tomato plants (Solanum lycopersicum L). Acta Physiol. Plant. 43, 1–10 (2021).
Romero-Puertas, M. C., Terron-Camero, L. C., Pelaez-Vico, M. A., Olmedilla, A. & Sandalio, L. M. Reactive oxygen and nitrogen species as key indicators of plant responses to cd stress. Environ. Exp. Bot. 161, 107–119 (2019).
Guo, J. et al. Prospects and applications of plant growth promoting rhizobacteria to mitigate soil metal contamination: A review. Chemosphere 246, 125823 (2020).
Abiri, R. et al. A critical review of the concept of Transgenic plants: insights into pharmaceutical biotechnology and molecular farming. Curr. Issues. Mol. Biol. 18 (1), 21–42 (2016).
Wei, T. et al. Effects of Salicylic acid, Fe (II) and plant growth-promoting bacteria on cd accumulation and toxicity alleviation of cd tolerant and sensitive tomato genotypes. J. Environ. Manage. 214, 164–171 (2018).
Ghorai, M. et al. Beneficial role of selenium (se) biofortification in developing resilience against potentially toxic metal and metalloid stress in crops: recent trends in genetic engineering and omics approaches. J. Soil. Sci. Plant. Nutr. 22 (2), 2347–2377 (2022).
Szerement, J., Szatanik-Kloc, A., Mokrzycki, J. & Mierzwa-Hersztek, M. Agronomic biofortification with se, zn, and fe: an effective strategy to enhance crop nutritional quality and stress defense—A review. J. Soil. Sci. Plant. Nutr. 22 (1), 1129–1159 (2022).
Hasanuzzaman, M. et al. Selenium supplementation and crop plant tolerance to metal/metalloid toxicity. Front. Plant Sci. 12, 792770 (2022).
Pal, A., Bhattacharjee, S., Saha, J., Sarkar, M. & Mandal, P. Bacterial survival strategies and responses under heavy metal stress: A comprehensive overview. Crit. Rev. Microbiol. 48 (3), 327–355 (2022).
Sardar, R., Ahmed, S., Shah, A. A. & Yasin, N. A. Selenium nanoparticles reduced cadmium uptake, regulated nutritional homeostasis and antioxidative system in Coriandrum sativum grown in cadmium toxic conditions. Chemosphere 287, 132332 (2022).
Chen, F. et al. Effect of titanium dioxide nanoparticles and co-composted Biochar on growth and cd uptake by wheat plants: A field study. Environ. Res. 231, 116057 (2023).
Rehman, S. et al. Exogenously applied Trehalose augments cadmium stress tolerance and yield of mung bean (Vigna radiata L.) grown in soil and hydroponic systems through reducing cd uptake and enhancing photosynthetic efficiency and antioxidant defense systems. Plants 11 (6), 822 (2022).
Kaur, H. et al. Gibberellic acid alleviates cadmium-induced seed germination Inhibition through modulation of carbohydrate metabolism and antioxidant capacity in mung bean seedlings. Sustainability 15 (4), 3790 (2023).
Babashpour-Asl, M., Farajzadeh-Memari-Tabrizi, E. & Yousefpour-Dokhanieh, A. Foliar-applied selenium nanoparticles alleviate cadmium stress through changes in physio-biochemical status and essential oil profile of coriander (Coriandrum sativum L.) leaves. Environ. Sci. Pollut. Res. 29 (53), 80021–80031 (2022).
Alawamleh, H. S. K., Jabbari, H., Moradkhani, S. & Babashpour-Asl, M. Cold plasma and Foliar-Applied selenium nanoparticles modulated cadmium toxicity through changes in Physio-biochemical properties and essential oil profile of Sage (Salvia officinalis L). J. Soil. Sci. Plant. Nutr. 23 (2), 1981–1995 (2023).
Laslo, V. et al. Synergic effect of selenium nanoparticles and lactic acid bacteria in reduction cadmium toxicity. J. Mol. Struct. 1247, 131325 (2022).
Nasirzadeh, L., Kvarnheden, A., Sorkhilaleloo, B., Hervan, E. M. & Fatehi, F. Foliar-applied selenium nanoparticles can alleviate soil-cadmium stress through physio-chemical and stomatal changes to optimize yield, antioxidant capacity, and fatty acid profile of wheat (Triticum aestivum L). J. Soil. Sci. Plant. Nutr. 22 (2), 2469–2480 (2022).
Malik, I. et al. Nano-selenium and compost vitalized morpho-physio-biochemical, antioxidants and osmolytes adjustment in soybean under tannery effluent polluted soil. Plant Physiol. Biochemistry, 108807 (2024).
Hassan, M. & Mansoor, S. Oxidative stress and antioxidant defense mechanism in mung bean seedlings after lead and cadmium treatments. Turk. J. Agric. For. 38 (1), 55–61 (2014).
Ahmad, R. et al. Hydrogen sulfide alleviates chromium stress on cauliflower by restricting its uptake and enhancing antioxidative system. Physiol. Plant. 168 (2), 289–300 (2020).
Gill, R. A. et al. Chromium-induced physio-chemical and ultrastructural changes in four cultivars of Brassica napus L. Chemosphere 120, 154–164 (2015).
Heile, A. O. et al. Alleviation of cadmium phytotoxicity using silicon fertilization in wheat by altering antioxidant metabolism and osmotic adjustment. Sustainability 13 (20), 11317 (2021).
Hussain, A. et al. Role of zinc–lysine on growth and chromium uptake in rice plants under cr stress. J. Plant Growth Regul. 37, 1413–1422 (2018).
Waqas Mazhar, M. et al. Seed nano-priming with zinc oxide nanoparticles in rice mitigates drought and enhances agronomic profile. PLoS One. 17 (3), e0264967 (2022).
Lichtenthaler, H. K. Chlorophylls and carotenoids: pigments of photosynthetic biomembranes. In: Packer, L., Douce, R., (eds) Methods in Enzymology. vol. 148: Elsevier; : 350–382 (1987).
Hniličková, H., HNILIČK, F., Orsák, M. & Hejnák, V. Effect of salt stress on growth, electrolyte leakage, Na + and K + content in selected plant species. Plant Soil. & Environment 65(2), 90–96 (2019).
Heath, R. L. & Packer, L. Photoperoxidation in isolated chloroplasts: I. Kinetics and stoichiometry of fatty acid peroxidation. Arch. Biochem. Biophys. 125 (1), 189–198 (1968).
Zaman, Q. et al. Synergistic effect of arbuscular mycorrhizal fungi, Biochar and seaweed extract for improving the copper tolerance in hemp. Ind. Crops Prod. 224, 120358 (2025).
Molazem, D. & Bashirzadeh, A. Impact of salinity stress on proline reaction, peroxide activity, and antioxidant enzymes in maize (Zea mays L). Polish J. Environ. Studies 24(2), 597–603 (2015).
Bates, L. S., Waldren, R. P. A. & Teare, I. D. Rapid determination of free proline for water-stress studies. Plant. Soil. 39, 205–207 (1973).
Bradford, M. M. A rapid and sensitive method for the quantitation of microgram quantities of protein utilizing the principle of protein-dye binding. Anal. Biochem. 72 (1–2), 248–254 (1976).
Abbas, T. et al. Effect of Biochar on cadmium bioavailability and uptake in wheat (Triticum aestivum L.) grown in a soil with aged contamination. Ecotoxicol. Environ. Saf. 140, 37–47 (2017).
Anwar, S. et al. Effect of cadmium stress on seed germination, plant growth and hydrolyzing enzymes activities in Mungbean seedlings. J. Seed Sci. 43, e202143042 (2021).
Huang, S. et al. Effect of bio-nano-selenium on yield, nutritional quality and selenium content of radish. J. Food Compos. Anal. 115, 104927 (2023).
Kaur, S. & Nayyar, H. Selenium fertilization to salt-stressed Mungbean (Vigna radiata L. Wilczek) plants reduces sodium uptake, improves reproductive function, pod set and seed yield. Sci. Hort. 197, 304–317 (2015).
Cheng, B. et al. Selenium nanomaterials improve the quality of lettuce (Lactuca sativa L.) by modulating root growth, nutrient availability, and photosynthesis. NanoImpact 29, 100449 (2023).
Wu, Z. et al. Effects of selenite on the responses of lettuce (Lactuca sativa L.) to polystyrene nano-plastic stress. Ecotoxicol. Environ. Saf. 262, 115138 (2023).
Samynathan, R. et al. A recent update on the impact of nano-selenium on plant growth, metabolism, and stress tolerance. Plants 12 (4), 853 (2023).
Shukla, U., Singh, J., Joshi, P. & Kakkar, P. Effect of bioaccumulation of cadmium on biomass productivity, essential trace elements, chlorophyll biosynthesis, and macromolecules of wheat seedlings. Biol. Trace Elem. Res. 92, 257–273 (2003).
Zhang, H. et al. Toxic effects of heavy metal cd and Zn on chlorophyll, carotenoid metabolism and photosynthetic function in tobacco leaves revealed by physiological and proteomics analysis. Ecotoxicol. Environ. Saf. 202, 110856 (2020).
Sami, H. et al. Remediation potential of Biochar and selenium for mitigating chromium-induced stress in spinach to minimize human health risk. South. Afr. J. Bot. 163, 237–249 (2023).
El Rasafi, T. et al. Cadmium stress in plants: A critical review of the effects, mechanisms, and tolerance strategies. Crit. Rev. Environ. Sci. Technol. 52 (5), 675–726 (2022).
Anjum, S. A. et al. Alteration in growth, leaf gas exchange, and photosynthetic pigments of maize plants under combined cadmium and arsenic stress. Water Air Soil Pollut. 228, 1–12 (2017).
Abdalla, Z. F., El-Bassiony, A. E. M., El-Ramady, H. & El-Sawy, S. Broccoli biofortification using biological nano-and mineral fertilizers of selenium: A comparative study under soil nutrient deficiency stress. Egypt. J. Soil Sci. 63 (1), 57–66 (2023).
Aqeel, M. et al. Elucidating the distinct interactive impact of cadmium and nickel on growth, photosynthesis, metal-homeostasis, and yield responses of mung bean (Vigna radiata L.) varieties. Environ. Sci. Pollut. Res. 28, 27376–27390 (2021).
Eskander, S. B. & Saleh, H. M. Heavy metal-induced oxidative stress and related cellular process. Cellular Mol. Phytotoxicity Heavy Metals, 99–123 (2020).
Rasheed, A. et al. Heavy metals stress and plants defense responses. In: Fahad et al., (eds) Sustainable Soil and Land Management and Climate Change. CRC; : 57–82. (2021).
Varma, S. & Jangra, M. Heavy metals stress and defense strategies in plants: an overview. J. Pharmacognosy Phytochemistry. 10 (1), 608–614 (2021).
Haider, I., Ali, M. A. & Sanaullah, M. Change in lettuce nutrients, soil enzymes, soil microbial biomass and activities under chromium toxicity. Pak J. Bot. 55, 89–96 (2023).
Hashem, A. H., Abdelaziz, A. M., Attia, M. S. spsampsps Salem, S. S. Selenium and nano-selenium-mediated biotic stress tolerance in plants. In: Hossain et al., (eds) Selenium and nano-selenium in Environmental Stress Management and Crop Quality Improvement. Springer; 209–226 (2022).
Sandalio, L., Dalurzo, H., Gomez, M., Romero-Puertas, M. & Del Rio, L. Cadmium‐induced changes in the growth and oxidative metabolism of pea plants. J. Exp. Bot. 52 (364), 2115–2126 (2001).
Grobelak, A., Świątek, J., Murtaś, A. & Jaskulak, M. Cadmium-induced oxidative stress in plants, cadmium toxicity, and tolerance in plants: from physiology to remediation. In: Hasanuzzaman et al., (eds) Cadmium Toxicity and Tolerance in Plants. Elsevier; 213–231 (2019).
Giannakoula, A., Therios, I. & Chatzissavvidis, C. Effect of lead and copper on photosynthetic apparatus in citrus (Citrus aurantium L.) plants. The role of antioxidants in oxidative damage as a response to heavy metal stress. Plants 10 (1), 155 (2021).
Kolahi, M., Kazemi, E. M., Yazdi, M. & Goldson-Barnaby, A. Oxidative stress induced by cadmium in lettuce (Lactuca sativa Linn.): Oxidative stress indicators and prediction of their genes. Plant Physiol. Biochem. 146, 71–89 (2020).
Ebrahimi, R., Ebrahimi, M. & Shakeri, M. Mitigating the adverse effects of lead and cadmium heavy metals-induced oxidative stress by phytogenic compounds in poultry. Poultry 2 (2), 235–251 (2023).
Wang, M. et al. Foliar application of selenium nanoparticles alleviates cadmium toxicity in maize (Zea mays L.) seedlings: evidence on antioxidant, gene expression, and metabolomics analysis. Sci. Total Environ. 899, 165521 (2023).
Ikram, M. et al. Phytogenic selenium nanoparticles elicited the physiological, biochemical, and antioxidant defense system amelioration of Huanglongbing-infected ‘kinnow’mandarin plants. Nanomaterials 12 (3), 356 (2022).
El-Badri, A. M. et al. Comparative efficacy of bio-selenium nanoparticles and sodium selenite on morpho-physiochemical attributes under normal and salt stress conditions, besides selenium detoxification pathways in Brassica napus L. J. Nanobiotechnol. 20 (1), 163 (2022).
Qin, X., Wang, Z., Lai, J., Liang, Y. & Qian, K. The synthesis of selenium nanoparticles and their applications in enhancing plant stress resistance: A review. Nanomaterials 15 (4), 301 (2025).
Deng, H. et al. The effects of titanium dioxide nanoparticles on cadmium bioaccumulation in Ramie and its application in remediation of cadmium-contaminated soil. Alexandria Eng. J. 86, 663–668 (2024).
Gardea-Torresdey, J., Peralta-Videa, J., Montes, M., De la Rosa, G. & Corral-Diaz, B. Bioaccumulation of cadmium, chromium and copper by Convolvulus arvensis L.: impact on plant growth and uptake of nutritional elements. Bioresour. Technol. 92 (3), 229–235 (2004).
Dong, X., Yang, F., Yang, S. & Yan, C. Subcellular distribution and tolerance of cadmium in Canna indica L. Ecotoxicol. Environ. Saf. 185, 109692 (2019).
Shaari, N. et al. Cadmium toxicity symptoms and uptake mechanism in plants: a review. Brazilian J. Biology. 84, e252143 (2022).
Zulfiqar, U. et al. Cadmium toxicity in plants: recent progress on morpho-physiological effects and remediation strategies. J. Soil. Sci. Plant. Nutr. 22 (1), 212–269 (2022).
Emamverdian, A. et al. Responsible mechanisms for the restriction of heavy metal toxicity in plants via the co-foliar spraying of nanoparticles. Agronomy 13 (7), 1748 (2023).
Karnwal, A., Martolia, S., Dohroo, A., Al-Tawaha, A. R. M. S. & Malik, T. Exploring bioremediation strategies for heavy metals and pops pollution: the role of microbes, plants, and nanotechnology. Front. Environ. Sci. 12, 1397850 (2024).
Rahman, R., Khan, Z. spsampsps Upadhyaya, H. Plant nanonutrients for sustainable agriculture. In: Abd-Elsalam, K.A., Alghuthaymi, M.A., (eds) Nanofertilizers for Sustainable Agroecosystems: Recent Advances and Future Trends. Springer; 151–179 (2023).
Zhu, Y., Dong, Y., Zhu, N. & Jin, H. Foliar application of biosynthetic nano-selenium alleviates the toxicity of cd, pb, and hg in Brassica chinensis by inhibiting heavy metal adsorption and improving antioxidant system in plant. Ecotoxicol. Environ. Saf. 240, 113681 (2022).
Acknowledgements
The authors would like to extend their sincere appreciation to the Ongoing Research Funding program, (ORF-2025-194), King Saud University, Riyadh, Saudi Arabia.
Funding
The authors would like to extend their sincere appreciation to the Ongoing Research Funding program, (ORF-2025-194), King Saud University, Riyadh, Saudi Arabia.
Author information
Authors and Affiliations
Contributions
Author statement K.F., K.A., S.T., N.J.: Data analysis, Investigation, Methodology and Formal analysis; A.T.A., K.F., M.A., A.H.: Experimental part, Investigation and Methodology; K.F., Z.A., A.H., M.A., S.T; Data curation; K.F., N.J., K.S., M.A.: Writing the original draft; K.F., MH.S., T.R., K.S., S.A., A.H., Z.A., M.A.: Conceptualization, A.T.A., M.H.S., S.A., T.R., Q.u.Z.: Writing-review & editing, M.H.S., A.T.A.,T.R., K.S., Z.A., S.A., A.F.: Supervision; Q.u.Z., K.S., A.H.
Corresponding author
Ethics declarations
Competing interests
The authors declare no competing interests.
Additional information
Publisher’s note
Springer Nature remains neutral with regard to jurisdictional claims in published maps and institutional affiliations.
Rights and permissions
Open Access This article is licensed under a Creative Commons Attribution-NonCommercial-NoDerivatives 4.0 International License, which permits any non-commercial use, sharing, distribution and reproduction in any medium or format, as long as you give appropriate credit to the original author(s) and the source, provide a link to the Creative Commons licence, and indicate if you modified the licensed material. You do not have permission under this licence to share adapted material derived from this article or parts of it. The images or other third party material in this article are included in the article’s Creative Commons licence, unless indicated otherwise in a credit line to the material. If material is not included in the article’s Creative Commons licence and your intended use is not permitted by statutory regulation or exceeds the permitted use, you will need to obtain permission directly from the copyright holder. To view a copy of this licence, visit http://creativecommons.org/licenses/by-nc-nd/4.0/.
About this article
Cite this article
Fatima, K., Ashraf, K., Jamshaid , N. et al. Enhancing cadmium stress tolerance in mungbean through foliar application of selenium nanoparticles by modulating photosynthetic efficiency and antioxidative mechanisms. Sci Rep 15, 32159 (2025). https://doi.org/10.1038/s41598-025-10273-x
Received:
Accepted:
Published:
Version of record:
DOI: https://doi.org/10.1038/s41598-025-10273-x













