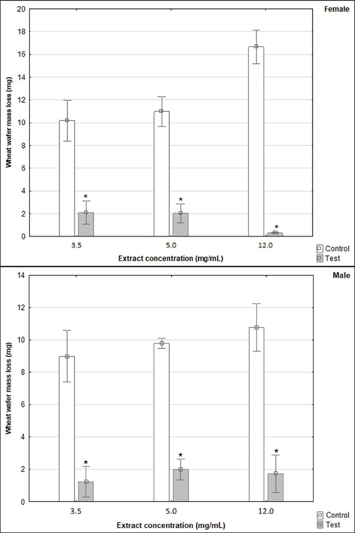
Fig. 1

Loss of wheat wafer mass as a result of feeding by Sitophilus granarius females and males under the influence of black cherry leaves methanolic extract of various concentrations (Mean ± SE). Significant differences between pairs (control vs. tested concentration of the Prunus serotina extract) were estimated using the Mann–Whitney U test, marked with *n = 5.