Fig. 3
From: Interplay of electronic and magnetic phase modulation in a spin-polarised nanomagnet

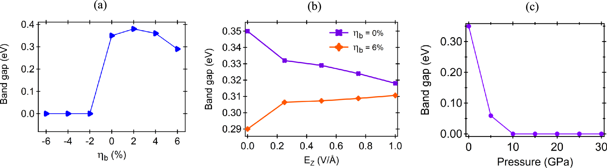
The evolution of band gap in 2D VSe\(_2\) under (a) strain, (b) electric field, (c) pressure.
From: Interplay of electronic and magnetic phase modulation in a spin-polarised nanomagnet

The evolution of band gap in 2D VSe\(_2\) under (a) strain, (b) electric field, (c) pressure.