Abstract
The 2H-phase of monolayer vanadium diselenide (VSe\(_2\)) has recently emerged as a very intriguing material in spintronics due to its intrinsic ferromagnetism with semiconducting properties. In the present work, first-principles based calculations have been employed to systematically study the electronic, magnetic, and optical behaviour of 2D VSe\(_2\) for investigating the impact of different external excitations such as strain, electric field, and pressure on the material. Specifically, the magnetic moment, band gap, Curie temperature (T\(_c\)), and absorption coefficient could be modulated, as the states near the Fermi level are mainly contributed by the in-plane atomic orbitals. The presence of different electronic phases in 2D VSe\(_2\) can be modulated from semiconductor to half-metal and even normal metal under the influence of external stimuli. Furthermore, the in-plane biaxial strain can effectively tune the T\(_c\) and attains a maximum value of 354K at \(\eta _b\) = 6%. The maximum observed absorption coefficient is found to be 5.05 \(\times\) 10\(^5\) cm\(^{-1}\) (at 1.4 eV) under the applied pressure of 30 GPa, indicating that the VSe\(_2\) exhibits strong light absorption in the visible region. The unique combination of electronic phases, robust ferromagnetism, and optical activity makes the 2H-VSe\(_2\) a suitable candidate for flexible electronic, optoelectronic, and spintronic applications.
Similar content being viewed by others
Introduction
Two-dimensional (2D) ferromagnetic materials stand out uniquely due to their specific electronic properties, making them highly attractive for the development of next-generation spintronic and nanoelectronic devices1,2. The manipulation and regulation of electron spins in these 2D ferromagnetic materials enable the emergence of distinctive properties as compared to the non-magnetic 2D materials3,4,5. This capability is essential for progressing semiconductor technology, opening avenues for the development of innovative and highly efficient spintronic devices in the future. The Mermin-Wagner theorem6 states that thermal fluctuations are enough to destroy the spontaneous magnetic ordering in 2D systems. However, the substantial magnetic anisotropy energy has the ability to inhibit spontaneous spin reorientations caused by thermal fluctuations, thereby offering a distinct possibility of observing intrinsic 2D magnetic ordering. Recently, magnetism in 2D Van der Waals (vdW) materials have been observed experimentally for CrI\(_3\)7, CrGeTe\(_3\)8,9, and Fe\(_3\)GeTe\(_2\)10. Subsequently, extensive experimental and theoretical investigation were dedicated to explore the intrinsic magnetism within 2D materials.
The majority of 2D magnetic materials exhibit a Curie temperature (T\(_c\)) that is below room temperature, limiting their practical applications11. Furthermore, the existence of sustainable long range magnetic ordering and semiconducting properties are also rare in most of the 2D magnets12. However, the application of directional strain13,14, electric field15, pressure16, dopants17, adatoms18,19, vacancies20, interlayer twist21,22 could all be employed to tune the electronic, optical, magnetic, and transport properties in 2D materials. The newly synthesized 2H-VSe\(_2\)23 has emerged as a potential candidate for spintronic applications due to the coexistence of high T\(_c\) (\(\sim\) 300 K) with semiconducting properties. In addition, the ferromagnetic order in monolayer VSe\(_2\) breaks not only the inversion symmetry but also the time reversal symmetry. As a consequence, it offers an easily accessible valley degree of freedom for its promising applications in future electronics24,25. Therefore, an in-depth investigation of the intrinsic physical properties of the 2H-VSe\(_2\) is highly required for its potential applications in nanoelectronic and spintronic devices.
In this present work, we have systematically investigated the electronic, magnetic, and optical properties of 2D 2H-VSe\(_2\) under different external excitations such as directional strain, electric field, and pressure. Specifically, the strain and electric field engineering methods have proven to be effective approaches for fine-tuning the overall properties of a 2D material. Moreover, 2D materials are usually strained in heterostructures26,27. In addition, the application of pressure to 2D materials can induce significant changes in their properties, offering a versatile method for property modulation. This modulation technique extends beyond theoretical exploration; it has been empirically validated through experimental evidence. The pressure can be applied experimentally by using different methods such as diamond anvil cell (DAC), piston-cylinder cell, and gas or liquid pressure cells. Specifically, the bandgap opening effect was induced by pressure in monolayer semiconducting MoS\(_2\) on SiO\(_2\)/Si up to 30 GPa using a neon PTM (Pressure Transmitter Media) at ambient temperature28. We were also able to tune the critical temperature accordingly using an electric field. A multi-stimulus technique (strain + electric field) allows for more \(T_c\) tuning, which has not been previously investigated.
Methodology
The electronic, optical, and magnetic characteristics were analyzed using spin-polarized first-principles calculations inside the density functional theory (DFT) framework, as implemented in the Quantum ATK29. The Perdew–Burke–Ernzerhof (PBE) generalised gradient approximation (GGA) was utilised with a maximum energy cutoff limit of 650 eV. This value was chosen based on a convergence test with respect to the total energy, as demonstrated in Figure S130. To account for the on-site Coulomb interaction of Cr 3d electrons, SGGA+U method is used with a U = 3.68 eV for the d-orbital of V atom31. Under periodic boundary conditions, the wave-functions were expanded into a double-\(\zeta\) polarised basis set using the linear combination of atomic orbital (LCAO) basis sets, which provides higher accuracy at lower energy cut-off. A 12 \(\times\) 12 \(\times\) 1 Monkhorst–Pack k-grid32 in the reciprocal space centered around the \(\Gamma\)-point was used to estimate the total energy of the monolayer.
The used lattice parameters are a = b = 3.325 Å , where a and b are the lattice constants along the x and y directions, respectively. These values were obtained using geometry optimization with a numerical convergence criterion set with a tolerance of \(10^{-6}\) eV in energy and \(10^{-3}\) eV\(^{-1}\) in force per atom. A 2 \(\times\) 2 sized supercell of the central structure was prepared for calculations involving electronic, optical, and magnetic properties. To reduce the contact between the mirror layers, a vacuum space of 20 Å was created in the non-periodic directions. The phonon spectrum was calculated with the finite displacement method by using the PHONOPY code. The Kubo-Greenwood formula33 was used to calculate the susceptibility tensor for exploring the optical spectrum as given in equation (1):
where \(p^i_{nm}\) and \(p^j_{mn}\) belong to \(i^{th}\) and \(j^{th}\) component of the dipole matrix element between state n and m, respectively, V is the volume of the material, \(\delta\) is broadening parameter, and \(f_{nk}\) indicates the Fermi function evaluated at the band energy \(E_n(k)\).
Results and discussion
(a) Schematic structural representation, (b) phonon band structure, and (c) electronic band structure and density of states of 2D VSe\(_2\) in the unstrained condition.
The top and side view of the 2H-VSe\(_2\) monolayer is shown in Fig. 1(a). The VSe\(_2\) monolayer features a hexagonal honeycomb lattice arrangement of V and Se atoms with an intermediate V atomic layer sandwiched between two Se atomic layers. In this work, all the calculations are performed on 2H-VSe\(_2\) as previous studies indicate that the 2H phase is more thermodynamically favourable than 1T phase. The phonon dispersion was calculated by considering a 2 \(\times\) 2 \(\times\) 1 supercell of 2D VSe\(_2\). All the phonon frequencies are found to be positive, demonstrating the dynamical stability of the monolayer, as shown in Fig. 1(b). Furthermore, mechanical stability is a fundamental aspect that underpins the reliability, processing, and performance of 2D materials in various technological applications. It also ensures the successful integration of these 2D materials into the real-world devices. The 2D Young’s moduli (Y) and Poisson’s ratio (\(\nu\)) are determined along the x and y direction(s) by using the Born-Huang criteria 34 as given below in equation (2-3):
Here, \(C_{11}\), \(C_{12}\) and \(C_{22}\) are the nonzero elastic constants along the xx, xy, and yy directions, respectively. The calculated 2D Young’s modulus and Poisson’s ratio for 2D VSe\(_2\) are: \(Y_x\) = 41.69 GPa , \(Y_y\) = 41.28 GPa, \(\nu _x\) = 0.30, and \(\nu _y\) = 0.31. This value is quite low as compared to traditional 2D materials like Graphene35, MoS\(_2\)36 and phosphorene37, indicating the flexible nature of this monolayer. The Young’s modulus is quite similar along both the x and y-directions, due to the honeycomb crystal symmetry. The binding energy (E\(_{form}\)) per unit atom is also computed in order to prove the energetic stability of the VSe\(_2\) monolayer as given by Equation (4):
Here, E\(_{V}\) and E\(_{Se}\) are the total energies of vanadium and selenium atoms respectively, and E\(_{VSe_2}\) is the total energy of a VSe\(_2\) unit cell consisting of p = 1 and q = 2 atoms each of V and Se, respectively. The equation 4 yields a formation energy of 4.39 eV/atom for the monolayer VSe\(_2\), which is well comparable with its isostructural compound 2H-VSeX (X = S, Se)38. Furthermore, the molecular dynamics (MD) simulations were used to investigate the thermal stability of the monolayer VSe\(_2\) at high temperatures of 400 K, 600 K, and 800 K, as shown in Figure S230. The calculations were performed in the canonical ensemble (fixed particle number, volume, and temperature) using a Nose–Hoover thermostat at 400 K, 600 K, and 800 K, with a time step of 1 fs for 10000 steps. Our calculated results indicate that the fluctuations in total energy for VSe\(_2\) remain minimal at 400 K, 600 K, and 800 K. This confirms the thermal stability of VSe\(_2\) at higher temperatures, making VSe\(_2\) extremely useful in high-temperature applications.
Studies conducted earlier have indicated that the monolayer VSe\(_2\) is a room temperature ferromagnetic semiconductor. In order to assess the robustness of this ferromagnetic property, investigate potential electronic transitions, and explore its optical properties, we have subjected the 2D VSe\(_2\) to various external stimuli. These included the application of biaxial strain, electric fields, and pressure. The implementation of these excitations has the capability to effectively manipulate the properties of 2D materials. The applied in-plane biaxial strain is defined as: \(\eta _b\) = \(\frac{a - a_0}{a_0}\) \(\times\) 100\(\%\), where a and a\(_0\) represent the lattice constants of the strained and unstrained 2D VSe\(_2\) structures, respectively. An electric field (E\(_z\)) is also applied along the z-direction, perpendicular to the xy-plane of the monolayer. Furthermore, an isotropic pressure was uniformly applied across the entire volume of the monolayer. The VSe\(_2\) monolayer undergoes in-plane biaxial strain ranging from -5\(\%\) to 20\(\%\), an electric field is applied up to 1 V/Å at intervals of 0.25 V/Å, and pressure is applied up to 30 GPa.
The formation energy was also computed under the application of biaxial strain and pressure, as shown in Figure S3(a-b)30. The analysis indicates a reduction in the formation energy under the application of strain and pressure, whereas it exhibits minimal variation with the electric field. This suggests that the formation energy is more responsive to strain and pressure and exhibits a relatively stable behaviour under the influence of the electric field. This energy mostly varies between 4 - 5 eV/atom. Similarly, \(Ni_2X\) exhibited formation energies of 4.80 eV/atom and 4.42 eV/atom for X=Si and Ge, respectively. A novel class of 2D transition metal borides (MnB) offers an average formation energy of 6.08 eV/atom. This value is quite favorable for exfoliating the layers in the fabrication and manipulation of theses 2D materials for flexible electronics and spintronics applications. Figure S4 in the SI 30 shows the phonon band structure of the VSe\(_2\) monolayer under an external pressure of 5 GPa, while Figure S5(a–d)30 presents the phonon band structures under different biaxial strain conditions. The phonon spectra for \(\eta _b = 0 \%, -5\%\), and \(\eta _b = +5\%\), and under 5 GPa external pressure exhibit absence of imaginary frequencies, indicating that the monolayer remains dynamically stable under these conditions. At \(\eta _b = 20\%\) tensile strain, a very shallow imaginary frequency (approximately 0.1 meV) appears near the \(\Gamma\)-point, indicating a minor dynamical instability. However, this imaginary mode is extremely small in magnitude, not extending throughout the Brillouin zone. As such, it can be safely ignored, consistent with observations reported in previous studies 39. Additionally, as the tensile strain increases, the phonon frequencies, particularly those of the high-frequency optical modes, are significantly reduced due to the softening of the interatomic force constants caused by lattice expansion. In our results, the maximum phonon frequency decreases from approximately 12 THz at \(-5\%\) (compressive strain) to about 7 THz at \(+20\%\) (tensile strain), which is in good agreement with physical expectations and previous literature40.
Magnetic properties
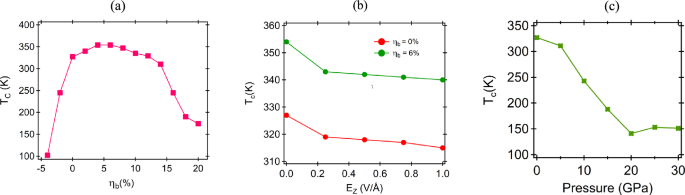
The modulation of the Curie temperature (\(T_c\)) in 2D VSe\(_2\) under the influence of (a) strain, (b) electric field, and (c) pressure.
In order to confirm the sustainable magnetic ordering, four distinct magnetic configurations are considered to determine the preferred magnetic interactions in the ground state of 2D VSe\(_2\). The considered four magnetic configurations consist of one ferromagnetic (FM) and three antiferromagnetic (AFM) states, as shown in Figure S630. The exchange energy is calculated using Equation 5 given by,
Here, E\(_{FM}\) and E\(_{AFM}\) are the energies per V-atom in the FM and AFM configurations, respectively. The Curie temperature (T\(_c\)) for this monolayer is computed using the conventional Heisenberg Hamiltonian in conjunction with Monte Carlo (MC) simulations, employing the following formulas41.
Here, J and H are the exchange integral and Hamiltonian, respectively. The MC simulation was performed on a 100 \(\times\) 100 supercell of 2D VSe\(_2\) with 10\(^5\) iterations. The outcome of a typical MC simulation for the unperturbed monolayer VSe\(_2\) is illustrated in Figure S7(a-d) 30. The temperature dependence of the magnetization represents an FM \(\rightarrow\) paramagnetic (PM) phase transition at 327 K. The T\(_c\) can be estimated accurately from the specific heat peak as shown in Figure S7(c) 30. The transition from FM \(\rightarrow\) PM state is characterized as a second-order phase transition, as indicated by the behavior of magnetic susceptibility.
The 2D VSe\(_2\) has a T\(_c\) of 327K in the absence of any external excitations. The evolution of Curie temperature under the application of strain, electric field, and pressure is presented in Fig. 2(a-c). Under the application of tensile strain (Fig. 2a), the T\(_c\) experiences an increment, reaching a value of 354 K at a strain value of \(\eta _b\)= 6%. However, for strains above \(\eta _b\) = 6%, a gradual drop in T\(_c\) is observed with an average rate of reduction \(\sim\) 13 K/% strain from \(\eta _b\) = 6% \(\rightarrow\) 20%, finally falling to a value of 174 K at \(\eta _b\) = 20%. These findings point to the potential of adjustable FM ordering in VSe\(_2\), with a twofold increase in the T\(_c\) when strain is applied from the unstrained condition. The existence of a high temperature FM ordering, which may be achieved through the use of strain, facilitates this 2D VSe\(_2\) in the fabrication of different spin circuits. Furthermore, the critical temperature (\(T_c\)) begins to decrease as the strength of the electric field increases, reaching 319 K at E\(_z\)= 0.25 V/Å, and then nearly saturating up to 1 V/Å. The impact of multistimuli (strain + electric field) on 2D VSe\(_2\) was investigated and also depicted in Fig. 2(b). A similar pattern was observed when \(\eta _b\)=6% strained VSe\(_2\) is subjected to variable electric field, with a steady drop in T\(_c\) and reaching a value of 337 K at E\(_z\)= 1 V/Å. Even though combining electric field and strain does not significantly improve T\(_c\) value, but it doesn’t impede the FM ordering. In addition, the application of pressure is found to be an efficient way of modulating T\(_c\) in this particular case as shown in Fig. 2(c). The T\(_c\) value decreases with an increase in pressure, and it attains a value of 150K at a pressure of 30 GPa. Therefore, the increase or decrease in T\(_c\) predominantly relies on the charge transfer between the V and Se atoms and the hybridization of orbitals under various external excitations. This highlights the significant role played by these factors in influencing the magnetic ordering temperature.
Electronic properties
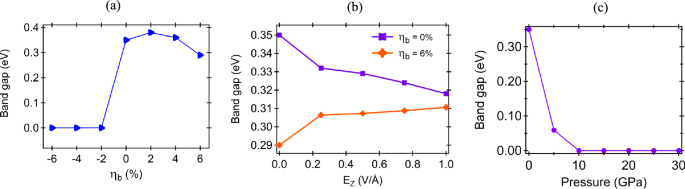
The evolution of band gap in 2D VSe\(_2\) under (a) strain, (b) electric field, (c) pressure.
The monolayer VSe\(_2\) is an indirect band gap semiconductor with a band gap value of 0.35 eV. Figure 1(c) depicts the band structure and density of states of 2D VSe\(_2\). The valence band maxima (VBM) is situated at the K-point, while the conduction band minima (CBM) is positioned between the \(\Gamma\) and M-points. The DOS confirms that both the valence and conduction bands are dominated by the d-orbital of V-atom. The evolution of band gap with biaxial strain, electric field, and pressure is depicted in Fig. 3(a-c). The band gap slightly increases at \(\eta _b\) =2% to 0.38 eV and then starts decreasing gradually thereafter on applying tensile strain. Under a strain of \(\eta _b\) = 6%, the band gap attains a value of 0.29 eV while effectively preserving the semiconducting property. Furthermore, in the compressive strain regime, the system turns metallic at \(\eta _b\) = -2% due to occupation of spin-\(\uparrow\) states at Fermi level (E\(_F\)) while being semiconducting for spin-\(\downarrow\) states. The trend in variation of the band gap with the application of biaxial strain was also calculated by considering the HSE06 exchange correlation functional, as shown in Figure S8 30. Monolayer VSe\(_2\) demonstrates an HSE06 band gap of 0.97 eV, consistent with the previous studies 42. The band gap increases under compressive strain and decreases with tensile strain. This qualitative trend is consistent with the GGA results; however, a key difference arises in the compressive strain region. While GGA significantly underestimates the band gap and predicts a metallic character (zero band gap) under compression, the HSE06 calculations capture a finite band gap, revealing the material’s semiconducting nature even in that regime. This discrepancy arises from the well-known limitation of the Generalized Gradient Approximation (GGA) functionals in underestimating band gaps 43,44, which is effectively addressed by the hybrid HSE06 method. Therefore, the HSE06 results offer a more accurate and reliable description of the electronic behaviour under strain. In addition, a noticeable increase in the band gap is observed at 6\(\%\) strain compared to 4\(\%\) case. This behavior arises from strain-induced modifications to the band edge states. At 4\(\%\) tensile strain, the conduction band minimum (CBM) and valence band maximum (VBM) approach each other closely, resulting in a narrow band gap. However, at 6\(\%\) strain, the CBM and VBM shift to different k-points in the Brillouin zone due to enhanced orbital rehybridization, leading to the formation of an indirect band gap with a larger magnitude. This sudden increase reflects a transition in the electronic structure that alters both the band curvature and the character of the involved states. Such non-monotonic trends under large strain are not uncommon in two-dimensional monolayers 45.
Aside from strain, another method of modifying electronic properties is through the application of an external electric field. An electric field has been applied at \(\eta _b\) = 6%, considering that this strain value demonstrated the maximum enhancement in T\(_c\). The band gap undergoes minimal variation when the unperturbed 2D VSe\(_2\) is subjected to an external electric field. When exposing VSe\(_2\) strained at \(\eta _b\) = 6% to an electric field, the system remains semiconducting in nature. Nevertheless, with the increase in the field strength, the band gap experiences an increment, reaching its maximum value of 0.31 eV at E\(_z\) = 1 V/Å. This scenario was unaffected by changing the polarity of the applied electric field. Figure 3(c) shows the variation of band gap with pressure. As pressure intensifies, the band gap value diminishes, ultimately transitioning to a fully metallic state once the pressure exceeds 10 GPa. This metallic behavior persists consistently up to a pressure level of 30 GPa. The projected density of states (PDOS) of the unperturbed VSe\(_2\) is illustrated in Fig. 4(a). It is evident that the valence band is predominantly occupied by the p\(_x\) and p\(_z\) orbitals of the Se atom, while the d\(_{x^2-y^2}\) and d\(_{z^2}\) orbitals of the V atom play a significant role in the conduction band. The band structure and spin density of states for \(\eta _b\) = 6% (E\(_z\) = 0.25 V/Å) and pressure = 10 GPa are plotted in Fig. 4(b) and 4(c), respectively. A phenomenon of spin filtration is evident with the application of pressure, signifying that the valence band is predominantly occupied by spin-\(\uparrow\) states, while the conduction band is primarily filled with spin-\(\downarrow\) states.
(a) The projected density of states (PDOS) of 2D Vse\(_2\) at \(\eta _b\) = 0%. The band structure and spin density of states (SDOS) of monolayer VSe\(_2\) under the application of (b) = \(\eta _b\) = 6%, E\(_z\) = 0.25 V/Å and (c) pressure = 10 GPa.
In order to understand the presence of different electronic phases and such robust ferromagnetism, we have calculated the spin electron density isosurface in different planes as illustrated in Fig. 5. It could be seen that as the strain is increased, the orbital contributions from the Se atoms (with a substantial contribution from the \(p_z\) orbital) increase considerably near the Fermi level, owing to the high \(T_c\) value observed at \(\eta _b\) = 6%. The strength of exchange interaction (J) is determined by the degree of orbital overlap, which further encourages a rise in \(T_c\). At \(\eta _b\) = 6%, the extent of overlap between the \(d_{x^2-y^2}/d_{z^2}\) orbitals of V atoms is maximum. As we move beyond 6% strain, the overlap extension breaks down, resulting in a drop in \(T_c\). There was a decrease in \(T_c\) , observed when unstrained as well as \(\eta _b\) = 6% strained VSe\(_2\) were exposed to an electric field. The reason for this also lies in the superexchange interaction between the atoms of V via Se atom. There is a drastic decrease in the density of states of all the p orbitals of Se on the application of electric field, owing to the decrease in \(T_c\). Furthermore, the degree of orbital overlapping also decreases with an increase in pressure, resulting in the decrease of T\(_c\) value. It is noteworthy that the ferromagnetic ordering is maintained with the application of external excitations, confirming the presence of sustainable ferromagnetic ordering in 2D VSe\(_2\). The angle between the V-Se-V atoms and the bond length undergoes significant changes in response to external stimuli. This alteration influences the d orbitals of V atoms and the p orbitals of Se atoms, impacting the degree of hybridization between these orbitals. Hence, various electronic phases emerge as a direct consequence of these structural modifications.
Spin electron density iso-surface of VSe\(_2\) for \(\eta _b\) = 6% with an iso-value of 0.02 Å\(^{-3}\) along with the orbital bonding picture in the (a) yz plane and (b) xy plane.
Magnetoanisotropic energy along various crystallographic directions and the variation in magnetic moment of the monolayer VSe\(_2\) as a function of strain.
Magnetoanisotropy energy (MAE) influences the preferred orientation of magnetic moments within a material. In 2D materials, the ability to control magnetic properties is vital for potential applications in spintronics and magnetic memory devices. The MAE is expressed by the Equation 10 provided below;
Here, E\(_{[100]}\) and E\(_{[001]}\) present energies along the [100] and [001] crystallographic directions, respectively.
The MAE and the magnetic moment are calculated and plotted in Fig. 6 for different strains. The moments prefer to align in the out-of-plane arrangement in the unstrained situation. However, in the presence of a tensile biaxial strain, the moments find it more energetically favorable to align along the in-plane direction. The opposite situation is observed for compressive strain, where spin alignment along the out of plane direction is favored. The unperturbed 2D VSe\(_2\) has a magnetic moment of 1.24 \(\mu _B\)/V atom. The magnetic moment value increases, reaching 1.41 \(\mu _B\)/V atom at \(\eta _b\) = 6%, supporting the earlier claims that the maximum enhancement in T\(_c\) was observed at this specific strain level. The change in magnetic moment is minimal with the application of an electric field, while a sharp fall in magnetic moment is evident under the influence of pressure, as illustrated in Figure S930. These findings provide guidance for exploring the different electromagnetic phases, which could be extremely useful in developing tunable spintronic memory devices and other advanced nanoelectronic device applications.
Optical properties
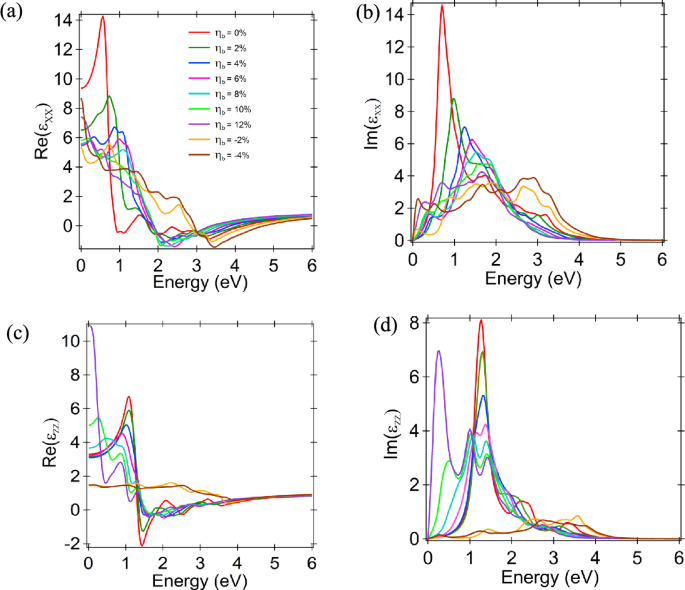
(a) and (b) represent the variation of the real and imaginary components of the dielectric constant under the influence of strain along the in-plane direction (\(\epsilon _{XX}\)), while (c) and (d) show these variations for the out-of-plane direction (\(\epsilon _{ZZ}\)).
To gain deeper insights into the potential optical applications of VSe\(_2\) monolayer, the optical properties under different external excitations are calculated. In this analysis, we have employed the frequency-dependent dielectric function, \(\epsilon (\omega ) = \epsilon _1(\omega ) + i\epsilon _2(\omega )\), to determine the optical characteristics of VSe\(_2\). The real part, \(\epsilon _1(\omega )\), and the imaginary part, \(\epsilon _2(\omega )\), of the dielectric constants are evaluated using the Kubo-Greenwood formalism. The imaginary component of the complex dielectric function, \(\epsilon _2(\omega )\) is obtained from the momentum matrix elements between the occupied and unoccupied electronic states. Mathematically, this could be expressed by eqn. (11) 46:
Here, \(\psi _{k}^c\) and \(\psi _{k}^v\) are the conduction band and valence band wave functions with wave vector k, \(\omega\) is the angular frequency of electromagnetic radiation in energy units, and \(\epsilon _{0}\) is the free space permittivity. \(\vec {u}\) and \(\vec {r}\) denote the polarization vector and position vector of the EM field, respectively.
The real part of the dielectric function, \(\epsilon _1 (\omega )\) is determined from the, \(\epsilon _2(\omega )\) by using Kramers-Kronig transformation in eqn. (12),
where P denotes the principal value of the integral.
Additionally, the corresponding optical constant, such as absorption coefficient (\(\alpha (\omega )\)) can be calculated using the dielectric constant 47:
Where \(\omega\) is the angular frequency.
The optical characteristics of 2D VSe\(_2\) were calculated within the photon energy range of 0–10 eV. The dielectric function was evaluated along both the in-plane (\(\epsilon _{XX}\)) and out-of-plane (\(\epsilon _{ZZ}\)) directions. Figures 7(a) and (b) show the variation of the real and imaginary components of the dielectric constant under the influence of strain in the in-plane direction, while Figures 7(c) and (d) illustrate these variations for the out-of-plane direction. The dispersion and absorption effects are described by the real and imaginary components of the dielectric function, respectively. The refractive index is conveyed by the real part of the dielectric function, while the absorption coefficient is revealed by the imaginary part. It is noted that the refractive index decreases with an increase in both biaxial strain and pressure, although the alteration is minimal under the application of an electric field. The maximum value of refractive index was 7.9 under a pressure of pressure = 15 GPa and 3.05 for \(\eta _b\) = 2% along the in-plane direction. The variation of real and imaginary components of dielectric function under the application of pressure is illustrated in Figure S1030. There are some negative values for the real part of dielectric constant under both biaxial strain and pressure. This indicates the metallic nature of VSe\(_2\) in that energy range. The absorption coefficient of the system is associated with the imaginary part of the dielectric function. It serves as an indicator of how efficiently a material absorbs light at specific wavelengths. These absorption peaks correspond to the transition of electrons from valence bands to conduction bands in the material and represent the maximum light absorption for these wavelengths. The optical band gap of a material is defined by the threshold value of photon energy at which the absorption spectra start to increase or when an optical transition occurs. The entire optical spectrum, as depicted in Fig. 7(b) and (d), originates from zero, indicating the absence of an optical band gap in 2D VSe\(_2\). After 6 eV, the imaginary part of dielectric constant becomes zero, suggesting that transparency of the material behind this energy range. The variation of absorption spectrum under the application of biaxial strain and pressure is depicted in Figure S1130. The maximum observed absorption coefficient is 5.05 \(\times\) 10\(^5\) cm\(^{-1}\) (at 1.4 eV) under the external pressure = 30 GPa, and 4.9 \(\times\) 10\(^5\) cm\(^{-1}\) (at 3.4 eV) for \(\eta _b\) = -4%, indicating that VSe\(_2\) exhibits strong light absorption in the visible and UV regions. To examine the accuracy and effect of quasiparticle corrections on the optical properties, we performed GW calculations for the unstrained VSe\(_2\) monolayer. As shown in Figure S1230, the GW-calculated absorption spectrum (red dashed line) exhibits an overall trend similar to the DFT-based spectrum (blue solid line), although slight differences in peak positions and intensities are observed. Notably, the optical band gap increases and approaches the electronic band gap value obtained using the HSE06 functional (0.97 eV). Due to the high computational cost and time required, GW calculations were limited to the unstrained structure. The strong absorption of light in the visible and UV regions is of particular interest due to its potential application in various optoelectronic devices such as photodetectors, solar cells, and light-emitting diodes (LEDs).
To address the important role of excitonic effects in strained 2D materials, we note that although our optical property calculations did not include explicit G\(_0\)W\(_0\) + BSE corrections under strain, recent studies have confirmed that strain can strongly influence excitonic behavior and optical absorption. For example, Shu et al.48 demonstrated that applying even a small biaxial strain (+1%) can transform the band alignment of GaN/MoSi\(_2\)P\(_4\) heterobilayers from type-I to type-II, effectively tuning the excitonic absorption features and enhancing performance for optoelectronic and photocatalytic applications. Similarly, in a strained \(C_3B\) monolayer, Shu et al.40 showed that the exciton binding energy increased by more than 100 meV under biaxial tensile strain, with minimal shift in peak position, indicating enhanced exciton stability. Additionally, strained \(MoSi_2N_4\) bilayer exhibits clear modulation of optical absorption due to excitonic effects when analyzed using G\(_0\)W\(_0\) + BSE49. These findings highlight the critical role of excitonic effects in accurately predicting the optical properties of strained 2D systems.
Conclusion
In summary, we have investigated the magnetic, electronic, and optical properties of the 2D 2H-VSe\(_2\) with the application of biaxial strain, electric field, and pressure by using first principles based DFT calculations. The in-plane biaxial strain can effectively tune the Curie temperature and attains a maximum value of 354K at \(\eta _b\) = 6%. The magnetic ordering in monolayer VSe\(_2\) remains unaltered even under the influence of external excitations, suggesting the presence of enduring and sustainable magnetic ordering in the material. An electronic phase transition is also observed with the application of pressure, transitioning from a semiconducting to a metallic state. The overall properties of this material are predominantly influenced by the superexchange interaction and the orbital hybridization between the d-orbitals of the V atom and the p-orbitals of the Se atom. Furthermore, the 2D VSe\(_2\) is highly sensitive to electromagnetic radiation, representing optical activity in both visible and ultraviolet regions. The present findings have shed light on the effectiveness of the use of external excitations such as strain, pressure, and electric field to tune the material properties. This has significant potential for applications in 2D VSe\(_2\) in optoelectronics and spintronics.
Data availability
The data that support the findings of this study are available from the corresponding author upon reasonable request.
References
Li, H., Ruan, S. & Zeng, Y. J. Intrinsic van der Waals magnetic materials from bulk to the 2D limit: new frontiers of spintronics. Adv. Mater. 31(27), 1900065 (2019).
Hossain, M., Qin, B., Li, B. & Duan, X. Synthesis, characterization, properties and applications of two-dimensional magnetic materials. Nano Today 42, 101338 (2022).
Mak, K. F., Shan, J. & Ralph, D. C. Probing and controlling magnetic states in 2D layered magnetic materials. Nat. Rev. Phys. 1(11), 646–661 (2019).
Xing, S., Zhou, J., Zhang, X., Elliott, S. & Sun, Z. Theory, properties and engineering of 2D magnetic materials. Prog. Mater. Sci. 132, 101036 (2023).
Khan, Y. et al. Recent breakthroughs in two-dimensional van der Waals magnetic materials and emerging applications. Nano Today 34, 100902 (2020).
Mermin, N. D. & Wagner, H. Absence of ferromagnetism or antiferromagnetism in one-or two-dimensional isotropic Heisenberg models. Phys. Rev. Lett. 17(22), 1133 (1966).
Huang, B. et al. Electrical control of 2D magnetism in bilayer CrI 3. Nat. Nanotechnol. 13(7), 544–548 (2018).
Lin, G. T. et al. Tricritical behavior of the two-dimensional intrinsically ferromagnetic semiconductor CrGeTe 3. Phys. Rev. B. 95(24), 245212 (2017).
Xing, W. et al. Electric field effect in multilayer Cr2Ge2Te6: a ferromagnetic 2D material. 2D Materials, 4(2), p.024009 (2017).
Ding, B. et al. Observation of magnetic skyrmion bubbles in a van der Waals ferromagnet Fe3GeTe2. Nano. Lett. 20(2), 868–873 (2019).
Lu, X., Fei, R. & Yang, L. Curie temperature of emerging two-dimensional magnetic structures. Phys. Rev. B. 100(20), 205409 (2019).
Rahaman, Towhidur, Abhishek Kumar, Soumya Jyoti Ray, and Debangsu Roy. “Two-Dimensional van der Waals Materials and Heterostructures for Spin-Orbit Torque Applications.” In Spin, 14, 02, 2340026. World Scientific Publishing Company, (2024)
Kar, S., Nair, A. K. & Ray, S. J. 2020: Supreme enhancement of ferromagnetism in a spontaneous-symmetry-broken 2D nanomagnet. J. Phys. D Appl. Phys. 54(10), 105001 (2020).
Ray, S. J. & Venkata Kamalakar, M. Unconventional strain-dependent conductance oscillations in pristine phosphorene. Physical Chemistry Chemical Physics 20(19), 13508–13516 (2018).
Kar, S., Rani, S. & Ray, S. J. Stimuli assisted electronic, magnetic and optical phase control in CrOBr monolayer. Physica E: Low-dimensional Systems and Nanostructures 143, 115332 (2022).
Tantardini, C., Kvashnin, A. G., Gatti, C., Yakobson, B. I. & Gonze, X. Computational modeling of 2D materials under high pressure and their chemical bonding: Silicene as possible field-effect transistor. ACS nano 15(4), 6861–6871 (2021).
Feng, S., Lin, Z., Gan, X., Lv, R. & Terrones, M. Doping two-dimensional materials: ultra-sensitive sensors, band gap tuning and ferromagnetic monolayers. Nanoscale Horizons 2(2), 72–80 (2017).
Chaudhury, A., Majumder, S. & Ray, S. J. Proximity-induced colossal conductivity modulation in phosphorene. Physical Review Applied 11(2), 024056 (2019).
Huang, Z. et al. Structures, properties and application of 2D monoelemental materials (Xenes) as graphene analogues under defect engineering. Nano Today 35, 100906 (2020).
Liu, Y., Xiao, C., Li, Z. & Xie, Y. Vacancy engineering for tuning electron and phonon structures of two-dimensional materials. Advanced Energy Materials 6(23), 1600436 (2016).
Kar, S., Kumari, P., Venkata Kamalakar, M. & Ray, S. J. Twist-assisted optoelectronic phase control in two-dimensional (2D) Janus heterostructures. Scientific Reports 13(1), 13696 (2023).
Gupta, N., Rani, S., Kumari, P., Ahuja, R. & Ray, S. J. Ultralow lattice thermal conductivity and thermoelectric performance of twisted graphene/boron nitride heterostructure through strain engineering. Carbon 215, 118437 (2023).
Ma, Y. et al. Evidence of the existence of magnetism in pristine VX2 monolayers (X= S, Se) and their strain-induced tunable magnetic properties. ACS nano 6(2), 1695–1701 (2012).
Manchon, A., Koo, H. C., Nitta, J., Frolov, S. M. & Duine, R. A. New perspectives for Rashba spin–orbit coupling. Nature materials 14(9), 871–882 (2015).
Kumari, P. et al. An all phosphorene lattice nanometric spin valve. Scientific Reports 14(1), 9138 (2024).
Guan, Z. & Ni, S. Insights from first principles graphene/gC 2 N bilayer: gap opening, enhanced visible light response and electrical field tuning band structure. Applied Physics A 123, 1–8 (2017).
Guan, Z., Ni, S. & Hu, S. Band gap opening of graphene by forming a graphene/PtSe 2 van der Waals heterojunction. RSC advances 7(72), 45393–45399 (2017).
Nayak, A. P. et al. Pressure-dependent optical and vibrational properties of monolayer molybdenum disulfide. Nano. Lett. 15(1), 346–353 (2015).
Smidstrup, S. et al. QuantumATK: An integrated platform of electronic and atomic-scale modelling tools. Journal of Physics: Condensed Matter 32(1), 015901 (2019).
Supporting Information on “Tuning the electronic, magnetic ordering, and optical properties in VSe\(_2\) via structural modulation” by S. Kar, N. Gupta, D. Roy, S. J. Ray.
Wines, D., Tiihonen, J., Saritas, K., Krogel, J. T. & Ataca, C. A Quantum Monte Carlo Study of the Structural, Energetic, and Magnetic Properties of Two-Dimensional H and T Phase VSe2. The Journal of Physical Chemistry Letters 14(14), 3553–3560 (2023).
Monkhorst, H. J. & Pack, J. D. Special points for Brillouin-zone integrations. Phys. Rev. B. 13(12), 5188 (1976).
Sipe, J. E. & Ghahramani, E. Nonlinear optical response of semiconductors in the independent-particle approximation. Phys. Rev. B. 48(16), 11705 (1993).
Rani, Shivani, Nair, A. K., Venkata Kamalakar, M. & Ray, Soumya Jyoti. Spin-selective response tunability in two-dimensional nanomagnet. Journal of Physics: Condensed Matter 32(41), 415301 (2020).
Gómez-Navarro, C., Burghard, M. & Kern, K. Elastic properties of chemically derived single graphene sheets. Nano. Lett. 8(7), 2045–2049 (2008).
Castellanos-Gomez, A. et al. Mechanical properties of freely suspended semiconducting graphene-like layers based on MoS 2. Nanoscale Res. Lett. 7, 1–4 (2012).
Jiang, J. W. & Park, H. S. Mechanical properties of single-layer black phosphorus. J. Phys. D Appl. Phys. 47(38), 385304 (2014).
Qi, S., Jiang, J., Wang, X. & Mi, W. Valley polarization, magnetic anisotropy and Dzyaloshinskii-Moriya interaction of two-dimensional graphene/Janus 2H-VSeX (X= S, Te) heterostructures. Carbon 174, 540–555 (2021).
Liu, H. et al. Strain engineering the structures and electronic properties of Janus monolayer transition-metal dichalcogenides. J. Appl. Phys. 125(8) (2019).
Shu, H. Assessing stability and optoelectronic properties of 2D carbon-boron compounds under elastic strains. Surfaces and Interfaces, p.106702. (2025).
Nair, A. K. & Ray, S. J. Electronic phase-crossover and room temperature ferromagnetism in a two-dimensional (2D) spin lattice. RSC advances 11(2), 946–952 (2021).
Fuh, H. R. et al. Newtype single-layer magnetic semiconductor in transition-metal dichalcogenides VX2 (X= S, Se and Te). Sci. Rep. 6(1), 32625 (2016).
Khera, E. A. et al. An insight into structural, electronic and optical characteristics of Mo1-xMxO3 (M= Zr, Y, ZrY) for the formation of conducting filaments in optoelectronic memory devices: a first principles study. Optik 258, 168913 (2022).
Shu, H. Adjustable electro-optical properties of novel graphene-like SiC2 via strain engineering. Applied Surface Science 559, 149956 (2021).
Khan, F. et al. Unveiling the strain induced electronic optical and thermoelectric properties of monolayer SMoSiN2 and SeMoSiN2. Applied Physics A 130(11), 1–12 (2024).
Gupta, N., Sachin, S., Kumari, P., Rani, S. & Ray, S. J. Twistronics in two-dimensional transition metal dichalcogenide (TMD)-based van der Waals interface. RSC advances 14(5), 2878–2888 (2024).
Shu, H. & Guo, J. Strain effects of stability, transport, and electro-optical properties of novel Ga2TeS monolayer. J. Mater. Sci. 59(6), 2403–2415 (2024).
Shu, H., Wang, F., Ren, K. & Guo, J. Strain-tunable optoelectronic and photocatalytic properties of 2D GaN/MoSi2P4 heterobilayers: potential optoelectronic/photocatalytic materials. Nanoscale. (2025).
Shu, H. Strain-driven tunable electronic and optical properties of bilayer MoSi2N4: A many-body calculation. Vacuum 235, 114147 (2025).
Acknowledgements
The authors gratefully acknowledge the support and resources provided by the ‘PARAM Kamrupa’ Facility at the IIT Guwahati under the NSM of Government of India.
Author information
Authors and Affiliations
Contributions
S. K and N. G performed the primary investigation and wrote the manuscript. N. G performed the revisions. All authors reviewed the manuscript.
Corresponding author
Ethics declarations
Competing interests
The authors declare no competing interests.
Additional information
Publisher’s note
Springer Nature remains neutral with regard to jurisdictional claims in published maps and institutional affiliations.
Supplementary Information
Rights and permissions
Open Access This article is licensed under a Creative Commons Attribution-NonCommercial-NoDerivatives 4.0 International License, which permits any non-commercial use, sharing, distribution and reproduction in any medium or format, as long as you give appropriate credit to the original author(s) and the source, provide a link to the Creative Commons licence, and indicate if you modified the licensed material. You do not have permission under this licence to share adapted material derived from this article or parts of it. The images or other third party material in this article are included in the article’s Creative Commons licence, unless indicated otherwise in a credit line to the material. If material is not included in the article’s Creative Commons licence and your intended use is not permitted by statutory regulation or exceeds the permitted use, you will need to obtain permission directly from the copyright holder. To view a copy of this licence, visit http://creativecommons.org/licenses/by-nc-nd/4.0/.
About this article
Cite this article
Kar, S., Gupta, N., Roy, D. et al. Interplay of electronic and magnetic phase modulation in a spin-polarised nanomagnet. Sci Rep 15, 28818 (2025). https://doi.org/10.1038/s41598-025-10653-3
Received:
Accepted:
Published:
Version of record:
DOI: https://doi.org/10.1038/s41598-025-10653-3









