Abstract
Recently, lead-free Cs4CuSb2Cl12 has garnered attention as an excellent material to be used as an absorber of perovskite solar cells (PSCs). In this work, Cs4CuSb2Cl12 absorber-based PSCs were studied and the conditions to get high performance for PSCs were investigated. Here, six different materials for electron transport layers (ETLs) and 10 different materials for hole transport layers (HTLs) were studied. A numerical approach was followed by using SCAPS-1D simulator. During the work, various device parameters of PSC were investigated such as thickness variation of the absorber and ETL layers, acceptor density variation of the absorber and HTL layers, variation of the donor density of the ETL layer, and effect of total defect density of absorber. Also, other parameters such as the impact of resistance, temperature, J-V graph, Q-E graph, and carrier generation rate at different positions of the PSCs were assessed. Among the studied 10 HTL materials, MWCNTs outperformed other studied materials, hence it was selected for further investigations. Then the structures were optimized based on the device parameters outcome, and the structure having MZO and STO ETLs both showed the maximum power conversion efficiency (PCE) of 28.23%. (Al/FTO/MZO/Cs4CuSb2Cl12/MWCNTs/Au) the structure showed an open-circuit voltage (Voc) of 1.249 V, short-circuit current density (Jsc) of 25.11 mA/cm2 and a fill factor (FF) of 90.1%. The performance was also evaluated with respect to key electrical parameters. Optimum performance was achieved at a series resistance of 1 Ω·cm² and a shunt resistance of 1000 Ω·cm², beyond which performance gains saturated. The other best-performing STO ETL-based (Al/FTO/STO/Cs4CuSb2Cl12/MWCNTs/Au) structure had Voc of 1.25 V, Jsc of 25.11 mA/cm2, and FF of 90.01% Under the optimized condition other structure with CdS, PC61BM, SnS2 and ZnSe ETLs showed PCE of 27.68%, 27.8%, 25.67% and 28.22%. This work gives good insights into several Cs4CuSb2Cl12 based PSC structures and shows in the future they have great potential to be developed practically for highly efficient performances.
Similar content being viewed by others
Introduction
To overcome the global challenge of heavy reliance on natural resources for energy and to ensure the smooth transition in the future to green energy the policy makers are now focusing on the development of renewable energy sources1,2,3,4,5,6. Different renewable sources of energy such as windmills, hydroelectricity, bioenergy, and solar cells7,8,9,10,11,12 are the most reliable and have the quality to be used on a large scale13,14,15,16. Among these options, solar cells have the best potential to develop, can be used everywhere from a smaller scale to a larger scale, have good durability, and need less effort to maintain making them the best energy source for usage17,18,19. Solar cells convert the energy of photons and convert them to generate electricity. It is a clean and reliable source of energy. There are different types of solar cell technologies: DSCC20,21,22,23crystalline solar cells24polycrystalline solar cells25silicon solar cells26,27,28,29and thin-film solar cells (TFSC)17,30,31. TFSC needs comparatively less material than other technologies and it is more environment friendly. Among the several types of TFSC perovskite solar cells32,33,34,35,36,37,38,39one of the best-performing technologies shows high power conversion efficiency (PCE)40,41,42,43. It is cheap, environment-friendly, and suitable for production in industries44,45. It shows convenient electrical, and optical properties and a good absorption coefficient making it an excellent choice for the usage of solar cells46,47.
Copper-Zinc-Telluride-Sulfide (CZTS)48Copper-Zinc-Telluride selenide (CZTSe)49,50CdTe11and etc. inorganic absorber material-based PSC currently popular in the scientific studies for their potentials. Recently, several organic-inorganic absorber materials have gained a lot of attraction in PSC research. Formamidinium lead Iodide (FAPbI3)51Formamidinium Tin Iodide (FASnI3)52Methylammonium Tin Iodide (MASnI3)53Methylammonium Lead Iodide (MAPbI3)54 are some of the bests performing organic-inorganic absorbers of TFSC. Many perovskites have AMX3 general formula where A can be Cesium (Cs), Flouridinium (FA), or methyl ammonium (MA); X represents halogen such as Cl, Br, I and M denotes cations such as Pb, Sn, or Ge based organic-inorganic have been discovered. These perovskites show remarkable optoelectronic properties such as a high absorption coefficient of > 105 cm− 1, tunable band gap, and a wide range of light for absorption9,10. Having these suitable properties perovskites with AMX3 general formula can be used for optoelectronic devices including LEDs50,55,56photodetectors57and solar cells58,59. However, the presence of Pb in perovskites makes them detrimental to the environment60 so choosing Pb for solar cells is not ideal. One of the solutions is to replace Pb2+ with Sn2+ and Ge2+ which is not viable since both make perovskite centers susceptible to oxidation, thus hampering the longevity of perovskites61. So, heterovalent Bi3+ and Sb3+ have been used as lead-free alternatives in zero-dimensional and two-dimensional chalcogenides62,63. Lately, a new three-dimensional A2B’B” X6 double perovskite structure has been studied64,65. This structure can contain non-toxic cations and metal ions and shows stability. However, Cs2AgBiBr6, which shows the best optoelectronic properties among the structures without Pb presence that follows the AMX3 general formula, has a wide bandgap of 2.19 eV that limits the potential to be used in solar cells66,67. However, by applying techniques such as pressure-assisted band gap tuning68 and dilute alloying69 the bandgap can be reduced to make it applicable in photovoltaics.
Mostly, 3D structured double perovskites which are lead-free are bad absorbers due to the property of large indirect bandgap. After exploring suitable perovskites, Cs4CuSb2Cl12 (CCSC) showed suitable photoelectric properties having a band gap of 1eV69. Cs4CuSb2Cl12 bulk has high electron effective mass which causes slow electron mobility and thus deteriorates performances of solar cells. The strategy to decrease the particle size of Cs4CuSb2Cl12 (CCSC) to nanoscale paved the way to tune energy band structure69. In two experimental studies, the average particle size of (CCSC) with nanocrystals (NCs) was constructed as 3 nm70 and 3.9 nm71 using different research methods. Perovskites with nanocrystals have some salient properties including variable bandgap, high electrical conductivity, and large absorption spectrum which are conducive to the applications of photovoltaics72,73,74.
Exploration on Cs4CuSb2Cl12 absorber-based PSCs structure designing is in the initial stages since the material is developed in the recently made suitable for application. In one study, 16.6% PCE75 was obtained using these Cs4CuSb2Cl12 NCs. In a simulation study where (FTO/TiO2/CCSCNCs/Cu2O/Au) PSC device structure was studied and showed a PCE of 23.07%76 when optimized using the SCAPS-1D simulator. (FTO/WS2/Cs4CuSb2Cl12/CuSbS2/Ni) PSC device structure was proposed after examining several materials for ETL and HTL layers in one of the recent works on Cs4CuSb2Cl12 absorber PSCs. 23.10% PCE77 was achieved after the optimization of the PSC device using SCAPS-1D simulator. In another research article, after examining 244 different PSC device structures using SCAPS-1D simulator, two different device structures were proposed, one structure showed 29.71% PCE having an HTL layer, and the other device structure was designed without any HTL layer but Pt as the back contact showed 29.61% PCE78. In both device structures, SnO2 was used as an ETL layer.
There is a big gap in research studies on the ETLs and HTLs for Cs4CuSb2Cl12 PSCs. Understanding the potential of this absorber and limited conducted studies on ETL and HTL materials, here six ETL materials were investigated: PC61BM, ZnSe, STO, MZO, CdS, and SnS2. Besides 10 HTLs were also studied as follows: ZnTe, Sb2S3, MWCNTs, MoO3, Cu: NiO, MASnBr3, TiO2:N, CZGS, NiCo2O4 and CuAlO2. A broad exploration of the performances of the PSC devices for different charge transport layer materials was conducted. This study examines designs of many possible device structures of the Cs4CuSb2Cl12−PSC technology which could give useful insights in the future for practical implementations. The objectives of this paper could be summarized as: (i) exploration of ETL and HTL materials for the Cs4CuSb2Cl12-absorber-based PSC technology, (ii) study different PSC structures and optimize them to get highly efficient device performances, (iii) assess the performances of the devices for optimum conditions, (iv) propose the best device structures after evaluating practical challenges, and (v) provide an outline of device structure modifications for future works.
Methodology
SCAPS-1D simulation
Here, the SCAPS-1D tool was used which was developed by the Electrical and Information Engineering Department of the University of Gent of Belgium59,79,80,81,82. This tool is specifically designed for the simulation works of solar cells which has been proved reliable when compared to the experimental research in many works. This tool is useful in solar cell research works since close results of real performances can be replicated in simulation and it is now widely used. SCAPS-1D tool is effective in TFSC simulation works. It can be used to study performance characteristics such as Jsc, Voc, FF, and PCE of solar cells. Besides, it can be used to study different graphs such as the J-V curve, Q-V curve, C-f curve, band diagram, etc. Other factors that impact TFSCs such as series resistance, shunt resistance, temperature, etc. can studied. The device structure of PSCs can design and parameters of materials such as band diagram, mobility of electrons and holes, electron affinity, doping density of carriers, several types of defects such as defects at the interfaces of material layers, recombination defect, etc. can be defined in the device’s structure designing. Up to seven different layers of materials can be used to construct the expected device structures. SCAPS-1D uses several equations to calculate the performances of PSCs such as Poisson’s equation, electron continuity equation, hole continuity equation, drift, and diffusion of carriers’ equations, etc. This tool uses numerical methods such as Newton-Raphson, continuity equations to solve equations.
The Poisson’s equation can be defined as Eq. 1. Here, ψ is represented as the potential of the electric field, ∈₀ is denoted as permittivity in free space whereas ∈r is represented as permittivity in a relative medium. q is denoted as the amount of charge, ρn is represented as the distribution of electrons, and ρp is represented as the distribution of holes. NA is the density of acceptor carriers and ND is symbolized as the density of donor carriers.
The continuity equations can be defined as Eqs. 2 and 3. Here, Eq. 2 is the continuity equation of electrons, and Eq. 3 is the continuity equation of holes. Here, Jn is denoted as the current density for electrons and Jp is denoted as the current densities of holes. Gn is denoted as the electron recombination rate and Gp is symbolized as the hole recombination rate.
Equation 4 and Eq. 5 represent the relation of charge carrier drift-diffusions to calculate the current densities of the electrons and holes of solar cells. Here q represents the total number of charges; µn and µp are the mobility of electron and hole carriers respectively.
The performance of a photovoltaic cell is measured by the quality fill factor (FF). FF depends on the product value of the maximum voltage and maximum current representing the maximum power to the calculated theoretical power (Pt), considering the open circuit voltage (Voc) and short circuit current (Jsc) shown in Eq. 6. The power conversion efficiency (PCE) (Eq. 7) shows the ratio of output energy that can be found from the photovoltaic solar cells to the given input energy. Its performance relies on the product of Voc, Jsc, and FF to the given input power as shown in the Eq.
Structure of the Cs4CuSb2Cl12 -absorber devices
In this work, Al/FTO/ETL/ Cs4CuSb2Cl12/HTL/Au structure devices were studied. Six different ETLs were studied as follows: CdS, PC61BM, SnS2, MZO, STO, and ZnSe. Besides, 10 HTLs were investigated for the Cs4CuSb2Cl12 absorber-based structure. Sb2Se3, Cu doped with NiO. Cu2Te, ZnTe, MoTe2, CuAlO2, CZGS, MASnBr3, MoO3, MWCNTs, NiCo2O4, and TiO2 doped with nitrogen were initially chosen for device structures to study. Here, gold (Au) was selected as the back contact50 and Al as the front contact layer. FTO was chosen as the window layer for the structure devices. This work, extensively focused on studying the performances of ETL and HTL layers. All the configurations of the device structure were investigated using the SCAPS-1D tool (input parameters are given in Tables 1, 2 and 3) under the 1.5 AM solar radiation condition and 100 mW/cm2 power density was applied. The Cs4CuSb2Cl12-based proposed PSC device structures are shown in Fig. 1.
Cs4CuSb2Cl12 based proposed PSC device structures.
Result and discussion
Energy band alignment
Energy band alignment of the studied PSC device structures based on various ETL materials with MWCNTs as the HTL.
Figure 2 represents the energy band diagrams for the studied PSC structures. Proper energy band alignment between layers is essential for efficient charge carrier transport1,40. The conduction band offset (CBO) and valence band offset (VBO) describe the energy difference between the conduction bands and valence bands, respectively, of two adjacent materials. These offsets are primarily influenced by the differences in electron affinity (for CBO) and ionization energy (for VBO). The electron transport layer (ETL) does not absorb photon energy; rather, its primary role is to facilitate the extraction and transport of photogenerated electrons from the absorber layer to the electrode. For efficient electron transport, a small or near-zero CBO at the ETL/absorber interface is preferred. If the conduction band edge of the absorber lies below that of the ETL, a spike-shaped CBO is formed, which may hinder electron extraction. Conversely, if the absorber’s conduction band is above the ETL’s, a cliff-shaped CBO occurs, which can promote recombination. Therefore, optimizing the CBO is critical for enhancing device performance40,43.
Device optimization
HTL optimization
Comparison of performances of HTL materials on PSC parameters.
At the beginning of the work, the most suitable HTL layer for the Cs4CuSb2Cl12 absorber-based PSCs was selected. Among the studied HTLs ZnTe and CuAlO2 showed the poorest PCE of 0.77% and 4.44% (Fig. 3). Among other HTL materials Sb2S3, CZGS, NiCo2O4, MASnBr3, MoO3, Cu: NiO, and TiO2:N when used as the HTL layer showed 20.95%, 22.52%, 18.57%, 22.63%, 23.74%, 23.72%, and 23.22% PCE respectively in the Cs4CuSb2Cl12-based PSC structures. MWCNTs showed the best performance showing a 24.65% PCE in PSC structure when applied as an HTL layer. Also, Voc of 1.14 V, Jsc of 24.82 mA/cm2, and FF of 87.07% were achieved for the device structure (Fig. 3). Here, the PSC structure with MWCNTs HTL showed 0.91% higher PCE than the second-best Cu: NiO HTL material. Considering overall performances, MWCNTs were chosen as the HTL material for further investigation.
Thickness optimization of absorber and ETL
Effect of (a) thickness variation of absorber, and (b) thickness variation of ETL on device performance (PCE, FF, VOC, and JSC) .
To optimize the PSCs structure at first the impact of varying thickness of absorber material on six different device structures was studied. Figure 4(a) shows the effect on performances when absorber thickness was changed from 0.5 μm to 1.20 μm. As the thickness of absorber material increases PSCs can capture more photons which leads to more electron-hole pairs resulting in converting absorbed energy from photons to electricity. From Fig. 4(a), it is evident that the absorber showed the best PCE with the MZO ETL combination, reaching a PCE of 25.56% at 1 μm. Similar to PCE, Jsc increases until gets saturated when absorber thickness is enhanced. For tall the combinations Jsc increased as the thickness was increased. In all the combinations a stable FF was observed. For Voc, except for the combination with CdS structure, all others remained unaffected by the alteration of the thickness of the absorber. In the CdS ETL combination structure, a small slump of Voc was observed at an absorber thickness of 0.8 μm and then it became saturated. Notably, the CdS-based structure exhibits a slight decrease in efficiency when the absorber thickness reaches 1.0 μm, which may be due to increased parasitic absorption in the CdS layer and enhanced recombination losses at the CdS/Cs4CuSb2Cl12 interface. This contrasts with other ETLs such as MZO and ZnSe, which maintain or improve performance due to their wider bandgaps and better optical transparency64,65.
Having an optimum thickness for the ETL layer helps to have minimal effect of recombination and provide effective performance. The best PCE for the structure in obtained for the different configurations when CdS, MZO, PC61BM, SnS2, STO, and ZnTe had a thickness of 0.15 μm, 0.15 μm, 0.02 μm, 0.15 μm, 0.03 μm and 0.05 μm thickness respectively. For the ETL layer at 0.15 μm, the highest PCE of 25.56% was achieved (Fig. 4(b)). For all parameters of FF, Jsc, and Voc all the ETL device structures showed relatively stable performances over the variation of ETL layers from 0.01 μm to 0.5 μm thickness except the PC61BM ETL combination showed degrading when thickness was increased. Therefore, a minimum of 0.02 μm was chosen as the optimum thickness for PC61BM ETL material. Figure 4(b) shows that performance variation with ETL thickness depends on material properties. Inorganic ETLs (e.g., MZO, STO, ZnSe) maintain stable performance due to high electron mobility and favorable energy alignment. In contrast, PC61BM shows a marked decline with increasing thickness, mainly due to its lower electron mobility and higher series resistance, which increase recombination and reduce charge collection efficiency59.
Effect of variation of doping density and defect density in the absorber
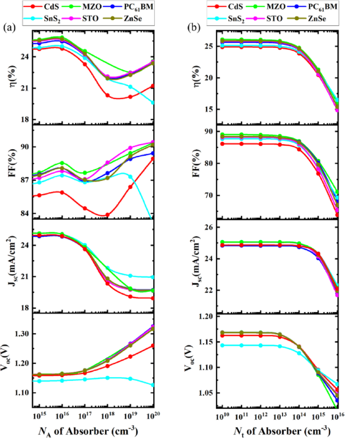
An increase in acceptor density helps the material’s ability to move holes more effectively and thus increases conductivity. However, enhancing acceptor density also leads to an increase in defects with a higher density which leads to deterioration of the overall PCE of the photovoltaic device. Figure 5(a) shows the effect on overall performances when the acceptor density of the absorber was studied between 1015 cm− 3 to 1020 cm− 3. For all the PSC combinations 1016 cm− 3 had the best PCE. After reaching an acceptor density of 1016 cm− 3 of absorber for all the structures PCE performance degraded. Among all the studied ETLs, the SnS2-based structure showed a comparatively sharper decrease in PCE beyond the optimum acceptor density of 10¹⁶ cm⁻³. This behavior is likely due to increased interfacial recombination resulting from the energy level mismatch and potential interface traps at the SnS₂/Cs4CuSb2Cl12 interface, which becomes more pronounced at higher doping concentrations59,81,82. Overall, the MZO ETL combination for absorbers with the highest PCE of 25.84% was achieved. Similarly to PCE, after reaching an optimum acceptor density for the absorber they had a fall in Jsc value since the value gets hampered by the presence of higher defect density due to the presence of a higher acceptor density.
Figure 5(b) represents the effect of the total defect density of absorber material. A higher defect density in PSC absorbers leads to trapping charge carriers. As a result, it can increase recombination and have a negative impact on an electric field. So, both Voc and FF get affected directly which also leads to the deterioration of PCE performance. In Fig. 5(b), the defect density of the absorber was varied from 1010 cm− 3 to 1016 cm− 3. Until 1013 cm− 3 PCE, Voc, Jsc, and FF had stable results. After reaching the threshold defect density, impaired material properties started to lead to a quick fall in performance in all device structure combinations. Therefore, 1013 cm− 3 can be considered the highest tolerable defect density of the absorber.
Significance of variation of absorber (a) acceptor density, and (b) defect density on device performances.
Effect of the variation of donor density of ETL and acceptor density of HTL
Figure 6(a) shows the effect of changing the donor density of ETL from 1014 cm− 3 to 1020 cm− 3. When SnS2 and CdS ETLs reached donor density at 1017, a sharp rise in PCE and FF was witnessed in their structures. PCE and FF remained steady for the change in other ETLs. Jsc was stable in PSCs when donor density was varied in MZO, SnS2, ZnSe, and STO ETLs. However, a minor increase was found in the CdS ETL layer’s device, and a decrease was witnessed in the combination of the PC61BM layer’s device. Voc was increased when the donor density of SnS2 and CdS ETLs were enhanced from 1019 cm− 3 to 1020 cm− 3 in the PSCs. The change had no visible impact on other device structures67.
Figure 6(b) represents the impact of acceptor density variation on PSCs. Having a higher acceptor density in HTLs helps to have a strong electron field presence at the interface of the absorber and HTL. It helps to minimize recombination and separate electron-hole pairs more effectively. Therefore, it affects PSC by improving performance in general. From Fig. 6(b), a similar expected performance can be seen. Acceptor density for ETLs varied from 1015 to 1020 cm− 3 where a surge in PCE was observed. Device structures having CdS, MZO, PC61BM, SnS2, STO, and ZnTe HTLs showed improved PCE from 21,48% to 27,56%, 22.28–27.99%, 22.08–27.57%, 21.28–25.75%, 22.29–27.29% and 22.18–27.98% respectively.
Effect of (a) donor density of ETL, (b) acceptor density variation of HTL on device performances.
Effect of various parameters on PV performance
Effect of series resistance, shunt resistance, and temperature on device
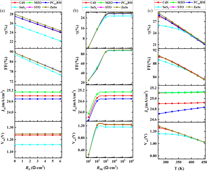
The combined resistance of metal layers and semiconductor layers is known as series resistance (Rs). High series resistance causes hampers in carriers’ mobility in PSCs that result in the degrading performance of PCE and FF. Figure 7(a) shows series resistance was studied between 0 Ω-cm2 to 6 Ω-cm2. For all the device structures PCE and FF decreased linearly. Whereas Jsc and Voc maintained an unchanged performance over the variation of series resistance. This behavior can be explained by the role of Rs in the solar cell operation. Series resistance primarily impacts the current flow in the external circuit and causes power losses during load conditions, which significantly affects FF and PCE59. However, Jsc is determined under short-circuit conditions (zero voltage), where Rs has minimal influence, and Voc is derived from the intrinsic properties of the absorber and junction, which are not directly altered by Rs. Therefore, Rs has a negligible effect on these two parameters within the studied range. Overall, the decline in PCE was not more than 4% in all of the PSC combinations and the device structures showed reliable performance when a higher series resistance was considered.
Effect of variation of (a) series resistance, (b) shunt resistance, and (c) temperature on VOC (V), JSC (mA cm− 2), FF (%) and η (%).
Figure 7(b) represents the effect of shunt resistance (Rsh) on our PSC devices. The shunt is the resistance in the junction of PSC that provides an alternative path for the current. Lower shunt resistance causes a high loss of PCE whereas higher shunt resistance can help to bypass the intended path to the external circuit more effectively, hence showing improved overall performances. Here, shunt resistance was studied from 10 Ω-cm26 to 10 Ω-cm2. In all combinations, PCE and FF increased sharply from 10 Ω-cm23 to 10 Ω-cm2 and then both PCE and FF became stable. However, beyond a certain threshold (10³ Ω·cm²), the shunt resistance becomes sufficiently high that leakage currents are effectively negligible. At this stage, further increases in Rsh do not significantly impact the current pathways or performance of the device, leading to a saturation in the values of PCE, FF, Jsc, and Voc. Hence, all PV parameters remain unchanged for Rsh values greater than 10³ Ω·cm². This plateau indicates the device has reached an optimal regime where shunt resistance no longer limits performance81. The STO and MZO ETL combination PSCs showed the highest PCE of 27.69% at 106 Ω-cm2. Jsc and Voc achieved became saturated at 1012 Ω-cm2 in all PSC structures.
Higher temperature has an inverse relationship with PCE and FF. It increases resistance and leads to more recombination, which reduces the overall performance of the PSC. So, PCE and FF deteriorate when at higher temperatures. Figure 7(c) shows the effect of temperature variations from 275 K to 450 K. At 275 K temperature the highest PCE was observed in the structure with an STO ETL layer of 29.06% followed by the structure having a ZnSe ETL layer of 29.04%. Among all the PSCs, the combination with SnS2 showed the best resilience over the enhancement of temperature. Its PCE at 275 K was 25.98% which dropped to 21.43% at 450 K, meaning a decrease of 4.55%which is smaller than the decrease observed in PSCs with MZO, STO, CdS, and PC61BM ETLs, where the PCE dropped by more than 7%. In FF and Voc output results a comparable change is observed to PCE. A small linear increment in Jsc was found when the temperature was increased in the PSC structures. An increase in temperature provides more thermal energy and enhances the electron-hole generation rate, hence increasing Jsc in the output59,81,82.
Effect of variation of absorber thickness with absorber defect density
Figure 8 represents the contour mapping of the impact of variation of the absorber layer thickness and with the change of total defect density of absorber Nt. The presence of Nt in heterojunction devices negatively impacts performances by curbing the mobility of carriers. For the studied devices the best PCE performances were observed when the thickness of the absorber layer was between 950 nm and 1100 nm. From 1010 to 1012 cm− 3 the absorber showed good stability in performances. At a defect density of 1010 cm− 3, a noticeable increase in VOC was observed due to the minimal recombination losses in the simulation, which does not account for interfacial defects. This idealized scenario can temporarily elevate VOC values beyond typical limits like the Shockley–Queisser threshold, highlighting the impact of ultra-low defect densities in enhancing carrier lifetimes and quasi-Fermi level splitting40,43,83.
For the studied six PSCs its stable performance in PCE was observed from 1010 to 1012 cm− 3. In the CdS ETL-based device, the PCE of 27.99% was observed when the studied thickness of the absorber was 1100 nm and Nt 1010 cm− 3. In the MZO-based ETL structure, a maximum of 28.31% PCE was noted at an absorber thickness and Nt of 1100 nm and 1010 cm− 3. For, the same optimum conditions other ETL materials-based PSCs showed their best PCE. When PC61BM, SnS2, STO, and, ZnSe were used as the ETL layers the highest PCE was noted at 27.88%, 25.84%, 28.31%, and 28.3% respectively.
Contour mapping of PCE photovoltaic parameter with respect to thickness of absorber, and total density of absorber in device structures based on various ETL materials.
Effect of the variation of acceptor density of absorber with defect density of absorber
Contour mapping of PCE photovoltaic parameter with respect to acceptor density and total defect density variation on various ETL materials based PSC devices.
Figure 9 shows the contour mapping of the variation of acceptor density and defect density variation of absorber where acceptor density was varied from 1013 to 1018 cm− 3 and defect density was changed from 1010 to 1015 cm− 3 for the studied PSC devices. Higher defect density in semiconductor materials of PSCs is unwanted since it leads to the degradation of performances. However, defects in materials are found so the impact of it has to be considered while designing PSCs. Materials that show high stability at comparatively higher defect density can be considered ideal for practical implementation. For the variation of acceptor density and defect density, Fig. 9 shows all the device structures maintained high PCE at 1013 cm− 3. When choosing the ideal acceptor density, an optimum density is needed. Low acceptor density in absorber lacks effectiveness and a high density can increase recombination leading to an unoptimized PCE performance. From Fig. 9, the optimum condition for PCE was found at the acceptor density of the absorber of 1017 cm− 3. Among the studied PSCs for both MZO and PTO ETL-based device structures the highest PCE of 28.23% was found when the acceptor density of the absorber was 1013 cm− 3 and the defect density of the absorber was 1010 cm− 3. It is important to note that the optimum acceptor density of 1013 cm− 3 reported here corresponds to a condition of ultra-low defect density (1010 cm− 3). This contrasts with the single-variable study in Sect. 3.2.3, where an acceptor density of 1016 cm− 3 was found optimal under a fixed defect density. This highlights the importance of considering combined parameter interactions when optimizing device performance.
Effect of carrier generation and recombination rates
Carrier generation rate (a) before optimization (b) after optimization in the device structures. Carrier recombination rate (c) before optimization, (d) after optimization in the device structures.
Figure 10 illustrates the spatial distribution of photogenerated carriers within the studied PSCs. Carrier generation, the process of creating electron-hole pairs through photon absorption, is primarily concentrated in the absorber layer, as shown in Fig. 10(a). However, through structural optimization, the generation profile can shift toward the ETL side, as seen in Fig. 10(b), resulting in a more distributed and efficient generation of charge carriers throughout the device. This shift is achieved by optimizing the ETL properties such as thickness, doping concentration, and energy level alignment. A well-optimized ETL enhances the absorption of incident light near the ETL/absorber interface and facilitates efficient charge extraction40,43,59,64. These modifications reduce carrier recombination, improve band alignment for smoother electron transport, and maintain a strong internal electric field to support carrier separation and collection. As a result, devices show increased carrier lifetimes and improved performance metrics, particularly in Jsc and FF. Therefore, the optimization process involves tailoring both the optical and electronic environments of the ETL and absorber layers. By controlling where carriers are generated and ensuring their efficient extraction, overall device efficiency is enhanced59,67,81.
Figure 10(c) and 10(d) present the carrier recombination profiles across the device structure before and after optimization, respectively. Recombination, the loss mechanism where photogenerated electrons and holes annihilate without contributing to current, is a critical factor in determining the photovoltaic performance1,40,43. In the unoptimized structure (Fig. 10(c)), elevated recombination rates are observed, particularly near the absorber interfaces, indicating inefficient charge extraction and higher losses. After optimization (Fig. 10(d)), a notable suppression of recombination is achieved throughout the active layers, especially near the ETL/absorber and absorber/HTL interfaces. This reduction is attributed to improved energy level alignment, enhanced carrier mobility, and reduced defect densities introduced by tuning the ETL parameters. Lower recombination not only leads to higher carrier lifetimes but also contributes to increased open-circuit voltage (Voc) and fill factor (FF). Thus, minimizing recombination alongside enhancing generation ensures that more carriers contribute to the photocurrent, enabling a more realistic and efficient device performance40,43,59,64.
Analysis of J–V characteristics and quantum efficiency of PSC structures
Figures 11(a) and (b) illustrate the current density and open-circuit voltage (Voc) of the PSCs before and after optimization. The current density remains largely unchanged, indicating consistent carrier collection across all configurations. In contrast, Voc shows a noticeable increase after optimization, suggesting a reduction in non-radiative recombination and better energy level alignment at interfaces. Since the FF is directly influenced by Voc, this enhancement contributes to an overall improvement in PCE59,67,81.
Figures 11(c) and (d) present the external quantum efficiency (EQE) spectra before and after optimization. EQE measures the efficiency with which incident photons are converted into charge carriers at each wavelength. Across all devices, a peak EQE of nearly 100% is observed around 360 nm, particularly for CdS, MZO, SnS₂, STO, and ZnSe-based ETLs. After optimization, a slight increase in EQE is noted over a broad spectral range (300–800 nm), confirming improved carrier generation and collection40,43,59,64.
(a) J-V curve before optimization, (b) J-V curve after optimization, (c) quantum efficiency before optimization, and (d) quantum efficiency after optimization in the device structures.
Although the spectral response range does not expand significantly post-optimization, the observed enhancements in Voc and EQE confirm better device operation due to reduced losses and improved interfacial quality. This indicates that the optimization process mainly enhanced charge transport and reduced recombination rather than altering the optical absorption characteristics of the absorber layer40,43,59,64. Absorber thickness and optical modeling were not varied in this specific analysis, and their effect on light harvesting may be considered in future work.
Comparison of results with previous works
Table 4 presents a comparison of the recent research works76,77,78,99 on the Cs4CuSb2Cl12 absorber PSC devices. Among the studies, only one work78 shows over 25% PCE after device optimizations. To close the gap of existing knowledge on Cs4CuSb2Cl12−absorber-based PSCs, in this work, an extensive study was carried out on charge transport layers. Over 27% PCE was obtained under the optimized condition for the six different ETL materials.
Among the studied HTL materials, MWCNTs highlighted superior performances to other studied materials so it was chosen as the preferred HTL material here. Both MZO and STO ETLs in the device structures showed 28.23% PCE. Among these materials, MZO consists of elements that are cheap and less toxic. However, it faces adversity to the exposure of moisture therefore, water-restrained additive methods in MZO are used for better durability100. STO is comparatively more expensive and detrimental to the environment. STO is not susceptible to moisture and has excellent chemical and thermal stability making it a great choice to be deemed for longevity101,102. Overall, the (Al/FTO/MZO/Cs4CuSb2Cl12/MWCNTs/Au) device structure is appropriate to maintain cost-effectiveness and to ensure less environmental damage. (Al/FTO/STO/Cs4CuSb2Cl12/MWCNTs/Au) device structure can be considered if getting the best long-term durability in PSC performances is the primary priority.
Conclusion and future outlook
In this work, among 10 studied HTL materials, MWCNTs were selected as the best-performing HTL layer in the Cs4CuSb2Cl12 PSC device structure for further exploration. Al/FTO/STO/Cs4CuSb2Cl12/MWCNTs/Au and Al/FTO/MZO/Cs4CuSb2Cl12/MWCNTs/Au device structures demonstrated the best performances, showing over 28% PCE after optimization. Increasing the thickness of the absorber layer for the studied structures showed enhancement in performance and showed the best PCE when the thickness was 1 μm. PSC structure having CdS ETL showed a big drop off in performance compared to the other devices’ structure when the thickness was increased further. On the other side, the performances of PSC structures were affected slightly with the increase of ETL thickness except the PC61BM affected the PSC structure significantly when the thickness was increased from 0.02 μm.
Further optimization of absorber properties revealed that The acceptor density of 1016 cm− 3 of absorber showed the best performance on the studied devices. The defect density of the acceptor was stable until 1014 cm− 3. After that, increasing further total defect density sharply damaged the PSC devices’ performances. Donor densities of ETLs and acceptor densities of HTL were examined. As ETL materials MZO, and STO had the best donor density in the Cs4CuSb2Cl12 -PSC device at 1018 cm− 3 and 1016 cm− 3 respectively. Changing temperature exhibited linear degradation in all the studied devices. Overall, the examined device structures demonstrated excellent PCE at 300 K and over 20% PCE at an extreme 450 K temperature. A similar effect was noticed when series resistance was enhanced. Shunt resistance showed the optimum performance from 1000 Ω-cm2and showed saturated performance when the resistance was enhanced further. These findings emphasize the crucial role of device physics parameters in determining overall stability and efficiency, highlighting the value of multi-parameter optimization.
Post-optimization, J–V and quantum efficiency (QE) curves confirmed significant performance improvements in the best-performing structures. These included an increase in open-circuit voltage and enhanced quantum efficiency across the visible range. Such improvements validated the effectiveness of the chosen transport layers and structural modifications in boosting device performance. This indicates that a combination of proper energy alignment, material selection, and structural optimization can significantly improve charge extraction and light absorption, leading to high device performance under various conditions.
In future works, organic materials can be widely studied as charge transport layers for the Cs4CuSb2Cl12 PSCs. Besides, device modifications such as the effect of the back-surface field layer, and the effect of double HTLs can be considered. Studied MZO could be considered the best performing ETL if we consider cost and toxicity issues, though STO could show better durability than MZO. The findings of these studies can be further researched by working experimentally by following the framework of this work. Overall, this study provides a comprehensive framework for developing efficient, lead-free PSC devices and serves as a valuable reference for experimental validation and future commercialization efforts.
Data availability
The raw/processed data required to reproduce these findings cannot be shared at this time as the data also forms part of an ongoing study and are available from the corresponding author on reasonable request.
References
Hossain, M. K. et al. Design and simulation of CsPb.625Zn.375IBr2-based perovskite solar cells with different charge transport layers for efficiency enhancement. Sci. Rep. 14, 30142 (2024).
Fleck, A. K. & Anatolitis, V. Achieving the objectives of renewable energy policy – Insights from renewable energy auction design in Europe. Energy Policy. 173, 113357 (2023).
Zhang, H., Jing, Z., Ali, S., Asghar, M. & Kong, Y. Renewable energy and natural resource protection: unveiling the nexus in developing economies. J. Environ. Manag. 349, 119546 (2024).
Zhang, X., Yu, G., Ibrahim, R. L. & Sherzod Uralovich, K. Greening the E7 environment: how can renewable and nuclear energy moderate financial development, natural resources, and digitalization towards the target? Int. J. Sustain. Dev. World Ecol. 31, 447–465 (2024).
Han, Z., Zakari, A., Youn, I. J. & Tawiah, V. The impact of natural resources on renewable energy consumption. Resour. Policy. 83, 103692 (2023).
Lei, X., Yang, Y., Alharthi, M., Rasul, F. & Faraz Raza, S. M. Immense reliance on natural resources and environmental challenges in G-20 economies through the lens of COP-26 targets. Resour. Policy. 79, 103101 (2022).
Hossain, M. K., Rahman, M. T., Basher, M. K., Manir, M. S. & Bashar, M. S. Influence of thickness variation of gamma-irradiated DSSC Photoanodic TiO2 film on structural, morphological and optical properties. Optik (Stuttg). 178, 449–460 (2019).
Hossain, M. I. et al. Effect of back reflectors on photon absorption in thin-film amorphous silicon solar cells. Appl. Nanosci. 7, 489–497 (2017).
Jung, H. S. & Park, N. Perovskite solar cells: from materials to devices. Small 11, 10–25 (2015).
Baikie, T. et al. Synthesis and crystal chemistry of the hybrid perovskite (CH3NH3)PbI3 for solid-state sensitised solar cell applications. J. Mater. Chem. A. 1, 5628 (2013).
Kirk, A. P. Comment on CdTe solar cell efficiency. J. Alloy Metall. Syst. 5, 100050 (2024).
Hossain, M. K. et al. Efficiency enhancement of natural dye sensitized solar cell by optimizing electrode fabrication parameters. Mater. Sci. 35, 816–823 (2017).
Chowdhury, A. F. M. K. et al. Hydropower expansion in eco-sensitive river basins under global energy-economic change. Nat. Sustain. https://doi.org/10.1038/s41893-023-01260-z (2024).
Ali, B. et al. A comparative study to analyze wind potential of different wind corridors. Energy Rep. 9, 1157–1170 (2023).
Pourasl, H. H., Barenji, R. V. & Khojastehnezhad, V. M. Solar energy status in the world: A comprehensive review. Energy Rep. 10, 3474–3493 (2023).
Errera, M. R., Dias, T. A., d., C., Maya, D. M. Y. & Lora, E. E. Global bioenergy potentials projections for 2050. Biomass Bioenerg. 170, 106721 (2023).
Aftab, S. et al. Advances in flexible perovskite solar cells: A comprehensive review. Nano Energy. 120, 109112 (2024).
Wu, C. et al. Ultrahigh durability perovskite solar cells. Nano Lett. 19, 1251–1259 (2019).
Green, M. A. et al. Solar cell efficiency tables (Version 64). Prog. Photovolt. Res. Appl. 32, 425–441 (2024).
Hossain, M. K. et al. Influence of natural dye adsorption on the structural, morphological and optical properties of TiO 2 based photoanode of dye-sensitized solar cell. Mater. Sci. 36, 93–101 (2017).
Venkatesan, S., Chang, Y. C., Teng, H. & Lee, Y. L. Enhance the performance of dye-sensitized solar cells with effective compact layers and direct contact cell structure. J. Power Sources. 628, 235889 (2025).
Mahalingam, S. et al. Recombination suppression in TiO₂/boron-doped reduced graphene oxide-based dye-sensitized solar cells. Renew. Sustain. Energy Rev. 209, 115088 (2025).
Hossain, M. K., Rahman, M. T., Basher, M. K., Afzal, M. J. & Bashar, M. S. Impact of ionizing radiation doses on nanocrystalline TiO2 layer in dssc’s photoanode film. Results Phys. 11, 1172–1181 (2018).
Liang, B. et al. Progress in crystalline silicon heterojunction solar cells. J. Mater. Chem. A. https://doi.org/10.1039/D4TA06224H (2025).
Tachibana, T. et al. Highly passivating and blister-free electron selective Poly-Si based contact fabricated by PECVD for crystalline silicon solar cells. Sol. Energy Mater. Sol. Cells. 282, 113339 (2025).
Basher, M. K., Hossain, M. K., Uddin, M. J., Akand, M. A. R. & Shorowordi, K. M. Effect of pyramidal texturization on the optical surface reflectance of monocrystalline photovoltaic silicon wafers. Optik (Stuttg). 172, 801–811 (2018).
van Nijen, D. A. et al. Analyzing the PN junction impedance of crystalline silicon solar cells across varied illumination and temperature conditions. Sol. Energy Mater. Sol. Cells. 279, 113255 (2025).
Adnan, M., Irshad, Z. & Lim, J. Impact of structural advancements interface engineering operational stability and commercial viability of perovskite/silicon tandem solar cells. Sol. Energy. 286, 113190 (2025).
Basher, M. K. et al. Study and analysis the Cu nanoparticle assisted texturization forming low reflective silicon surface for solar cell application. AIP Adv. 9, 1–6 (2019).
Sharma, S., Jain, K. K. & Sharma, A. Solar cells: in research and Applications—A review. Mater. Sci. Appl. 06, 1145–1155 (2015).
Goetzberger, A., Luther, J. & Willeke, G. Solar cells: past, present, future. Sol. Energy Mater. Sol. Cells. 74, 1–11 (2002).
Kundara, R. & Baghel, S. Performance analysis of LaFeO3 perovskite solar cells: A theoretical and experimental study. Solid State Commun. 389, 115590 (2024).
Kundara, R. & Baghel, S. Performance optimization of lead-free KGeCl3 based perovskite solar cells using SCAPS-1D. Sol. Energy. 287, 113253 (2025).
Investigating the Efficiency. and Optimization of Germanium-based perovskite solar cell using SCAPS 1D. Indian J. Eng. Mater. Sci. 30 (2023).
Kundara, R. & Baghel, S. Performance optimization of CsSnI3-based perovskite solar cells using SCAPS-1D and machine learning analysis. J. Opt. https://doi.org/10.1007/s12596-025-02510-3 (2025).
Bouri, N. et al. Comparative study of solar cells based on triple and graded absorber layers with the compound CsSn1-xGexI3: numerical study and optimization. J. Phys. Chem. Solids. 199, 112561 (2025).
Bouri, N., Geleta, T. A., Guji, K. W., Behera, D. & Nouneh, K. Numerical analysis of photovoltaic performance in NaSnCl3 and KSnCl3 perovskite absorber layers for solar energy harvesting: SCAPS-1D study. Mater. Today Commun. 40, 110014 (2024).
Bouri, N. et al. CH3NH3Pb1-xCuxI3-based solar cell: numerical study and optimization with different inorganic hole transport layers. Chem. Phys. Impact. 10, 100873 (2025).
Guji, K. W., Geleta, T. A., Bouri, N. & Ramirez Rivera, V. J. First principles study on the structural stability, mechanical stability and optoelectronic properties of alkali-based single halide perovskite compounds XMgI 3 (X = Li/Na): DFT insight. Nanoscale Adv. 6, 4479–4491 (2024).
Hossain, M. K. et al. Enhancing efficiency and performance of Cs2TiI6-based perovskite solar cells through extensive optimization: A numerical approach. Inorg. Chem. Commun. 168, 112964 (2024).
Afroz, M., Ratnesh, R. K., Srivastava, S. & Singh, J. Perovskite solar cells: progress, challenges, and future avenues to clean energy. Sol. Energy. 287, 113205 (2025).
He, W., Lan, C., Zhou, Y., Li, R. & Guli, M. Effects of aromatic compounds as interfacial layer materials on the performance of perovskite solar cells. J. Power Sources. 626, 235731 (2025).
Hossain, M. K. et al. An extensive study on charge transport layers to design and optimization of high-efficiency lead-free Cs2PtI6-based double-perovskite solar cells: A numerical simulation approach. Results Phys. 61, 107751 (2024).
Yang, Z., Zhang, S., Li, L. & Chen, W. Research progress on large-area perovskite thin films and solar modules. J. Mater. 3, 231–244 (2017).
Röhm, H. et al. Ferroelectric properties of perovskite thin films and their implications for solar energy conversion. Adv. Mater. 31, 1806661 (2019).
Zheng, X. et al. Synthesis, structural and optical properties of a novel double perovskite for LED applications. Ceram. Int. 50, 1474–1487 (2024).
Chen, H., Li, M., Wang, B., Ming, S. & Su, J. Structure, electronic and optical properties of CsPbX3 halide perovskite: A first-principles study. J. Alloys Compd. 862, 158442 (2021).
Chauhan, P. et al. Impact on generation and recombination rate in Cu 2 ZnSnS 4 (CZTS) solar cell for ag 2 S and in 2 se 3 buffer layers with CuSbS 2 back surface field layer. Prog. Photovolt. Res. Appl. 32, 156–171 (2024).
Mukhamale, S. V., Kartha, M. J. & Khirade, P. P. Experimental, theoretical and numerical simulation-based investigations on the fabricated Cu2ZnSn thin-film-based Schottky diodes with enhanced electron transport for solar cell. Sci. Rep. 14, 15970 (2024).
Ahamed, T. et al. Optimization of buffer layers for CZTSSe solar cells through advanced numerical modelling. J. Phys. Chem. Solids. 204, 112744 (2025).
Zhao, C. et al. Design of Bridge molecules for High-Efficiency FAPbI 3 -Based perovskite solar cells. ACS Energy Lett. 9, 1405–1414 (2024).
Saha, P., Singh, S. & Bhattacharya, S. FASnI3-based eco-friendly heterojunction perovskite solar cell with high efficiency. Micro Nanostruct. 186, 207739 (2024).
Shah, M. et al. Utilizing density functional theory and SCAPS simulations for modeling High-Performance MASnI3‐Based perovskite solar cells. Energy Technol. 12 (2024).
Ritu, P., Kumar, V., Kumar, R. & Chand, F. A theoretical comparison of MAPbI3, FAPbI3 and (FAPbI3)1 – xMAPb (Br3 – yCly)x based solar cells. J. Opt. 53, 2625–2630 (2024).
Jung, E. I. et al. Recent progress on chiral perovskites as chiroptical active layers for next-generation leds. Mater. Sci. Eng. Rep. 160, 100817 (2024).
Rahman, M. S. et al. Insights from computational analysis on novel Lead-Free FrGeCl3 perovskite solar cell using DFT and SCAPS-1D. Inorg. Chem. Commun. 171, 113578 (2025).
Yao, Z. et al. Tunable periodic nanopillar array for MAPbI 3 perovskite photodetectors with improved light absorption. ACS Omega. 9, 2606–2614 (2024).
Kaleemullah, N. S., Hussain, M. S., Ashwin, V., Ajay, G. & Sirajuddeen, M. M. S. Novel ternary halide perovskite AMX3(A/M = Li, na, K, rb, be, mg, ca, sr, ba, x = br, cl, F, I) for optoelectronic applications. Chem. Phys. Impact. 8, 100545 (2024).
Hossain, M. K. et al. Exploring the optoelectronic and photovoltaic characteristics of Lead-Free Cs 2 TiBr 6 double perovskite solar cells: A DFT and SCAPS‐1D investigations. Adv. Electron. Mater. 11, 2400348 (2025).
Schileo, G. & Grancini, G. Lead or no lead? Availability, toxicity, sustainability and environmental impact of lead-free perovskite solar cells. J. Mater. Chem. C. 9, 67–76 (2021).
Xiao, Z., Meng, W., Wang, J. & Yan, Y. Thermodynamic Stability and Defect Chemistry of Bismuth-Based Lead‐Free Double Perovskites. ChemSusChem 9, 2628–2633 (2016).
Pal, J. et al. Synthesis and optical properties of colloidal M 3 Bi 2 I 9 (M = Cs, Rb) perovskite nanocrystals. J. Phys. Chem. C. 122, 10643–10649 (2018).
Pal, J. et al. Colloidal synthesis and photophysics of M 3 Sb 2 I 9 (M = Cs and Rb) nanocrystals: Lead-Free perovskites. Angew. Chem. Int. Ed. 56, 14187–14191 (2017).
Hossain, M. K. et al. High-Efficiency Lead-Free La 2 NiMnO 6 -Based double perovskite solar cell by incorporating charge transport layers composed of WS 2, zno, and Cu 2 FeSnS 4. Energy Fuels. 37, 19898–19914 (2023).
Islam, S. et al. Introducing a new and highly efficient Double-Absorber solar cell with combination of Sr3PBr3 and CsPbI3 perovskites. Phys. Status Solidi Appl. Mater. Sci. 2500148, 1–12 (2025).
Zhou, L., Xu, Y., Chen, B., Kuang, D. & Su, C. Synthesis and Photocatalytic Application of Stable Lead-Free Cs 2 AgBiBr 6 Perovskite Nanocrystals. Small 14 (2018).
Hossain, M. K. et al. An in-depth study on charge transport layers for designing and optimizing high-efficiency lead-free CsSnGeI3-based double-perovskite solar cells: A numerical approach. J. Phys. Chem. Solids. 203, 112715 (2025).
Li, Q. et al. High-Pressure Band‐Gap engineering in Lead‐Free Cs 2 AgBiBr 6 double perovskite. Angew. Chem. Int. Ed. 56, 15969–15973 (2017).
Slavney, A. H. et al. Defect-Induced Band-Edge reconstruction of a Bismuth-Halide double perovskite for Visible-Light absorption. J. Am. Chem. Soc. 139, 5015–5018 (2017).
Wang, X. D. et al. The top-down synthesis of single-layered Cs 4 CuSb 2 Cl 12 halide perovskite nanocrystals for photoelectrochemical application. Nanoscale 11, 5180–5187 (2019).
A, PP et al. Layered Cs 4 CuSb 2 Cl 12 nanocrystals for Sunlight-Driven photocatalytic degradation of pollutants. ACS Appl. Nano Mater. 4, 1305–1313 (2021).
Rathod, R. et al. Restricting anion migrations by atomic Layer-Deposited alumina on perovskite nanocrystals while preserving structural and optical properties. Chem. Mater. 36, 1719–1727 (2024).
Suhail, A., Teron, G., Yadav, A. & Bag, M. Tuneable structural and optical properties of inorganic mixed halide perovskite nanocrystals. Appl. Res. 3 (2024).
Morales-Acevedo, A. Fundamentals of solar cell physics revisited: common pitfalls when reporting calculated and measured photocurrent density, open-circuit voltage, and efficiency of solar cells. Sol. Energy. 262, 111774 (2023).
Burgelman, M., Nollet, P. & Degrave, S. Modelling polycrystalline semiconductor solar cells. Thin Solid Films. 361–362, 527–532 (2000).
He, Y., Xu, L., Yang, C., Guo, X. & Li, S. Design and numerical investigation of a lead-free inorganic layered double perovskite cs4cusb2cl12 nanocrystal solar cell by scaps-1d. Nanomaterials 11, 1–19 (2021).
Karmaker, H., Siddique, A., Das, B. K. & Islam, M. N. Modeling and performance investigation of novel inorganic Cs4CuSb2Cl12 nanocrystal perovskite solar cell using SCAPS-1D. Results Eng. 22, 102106 (2024).
Yadav, S. C., Manjunath, V., Srivastava, A., Devan, R. S. & Shirage, P. M. Stable lead-free Cs4CuSb2Cl12 layered double perovskite solar cells yielding theoretical efficiency close to 30%. Opt. Mater. (Amst). 132, 112676 (2022).
Saidarsan, A., Guruprasad, S., Malik, A., Basumatary, P. & Ghosh, D. S. A critical review of unrealistic results in SCAPS-1D simulations: causes, practical solutions and roadmap ahead. Sol. Energy Mater. Sol Cells. 279, 113230 (2025).
Kumar, S., Allam, L., Bharadwaj, S. & Barman, B. Enhancing SrZrS3 perovskite solar cells: A comprehensive SCAPS-1D analysis of inorganic transport layers. J. Phys. Chem. Solids. 196, 112378 (2025).
Uddin, M. S. et al. An In-Depth investigation of the combined optoelectronic and photovoltaic properties of Lead‐Free Cs 2 AgBiBr 6 double perovskite solar cells using DFT and SCAPS‐1D frameworks. Adv. Electron. Mater 10 (2024).
Hossain, M. K. et al. Design insights into La 2 NiMnO 6 -Based perovskite solar cells employing different charge transport layers: DFT and SCAPS-1D frameworks. Energy Fuels. 37, 13377–13396 (2023).
Hossain, M. K. et al. Effect of various Electron and hole transport layers on the performance of CsPbI 3 -Based perovskite solar cells: A numerical investigation in DFT, SCAPS-1D, and WxAMPS frameworks. ACS Omega. 7, 43210–43230 (2022).
Kumar, A., Gupta, N., Jain, A., Goyal, A. K. & Massoud, Y. Numerical assessment and optimization of highly efficient lead-free hybrid double perovskite solar cell. Results Opt. 11, 100387 (2023).
Nowsherwan, G. A. et al. Preparation and Numerical Optimization of TiO2:CdS Thin Films in Double Perovskite Solar Cell. Energies 16, (2023).
Alipour, H. & Ghadimi, A. Optimization of lead-free perovskite solar cells in normal-structure with WO3 and water-free PEDOT: PSS composite for hole transport layer by SCAPS-1D simulation. Opt. Mater. (Amst). 120, 111432 (2021).
Singh, N., Agarwal, A. & Agarwal, M. Performance evaluation of lead–free double-perovskite solar cell. Opt. Mater. 114, 110964 (2021).
Singh, N. K., Agarwal, A. & Kanumuri, T. Performance enhancement of environmental friendly Ge-Based perovskite solar cell with Zn 3 P 2 and SnS 2 as charge transport layer materials. Energy Technol. 10 (2022).
Bansal, S. & Aryal, P. Evaluation of new materials for electron and hole transport layers in perovskite-based solar cells through SCAPS-1D simulations. Conf. Rec IEEE Photovolt. Spec. Conf. 2016, 747–750 (2016).
Singh, N. K. & Agarwal, A. Performance assessment of sustainable highly efficient CsSn0.5Ge0.5I3/FASnI3 based perovskite solar cell: A numerical modelling approach. Opt. Mater. 139, 113822 (2023).
Singh, N. K. & Agarwal, A. Numerical investigation of electron/hole transport layer for enhancement of ecofriendly Tin-Ge based perovskite solar cell. Energy Sources Part Recov. Util. Environ. Eff. 45, 3087–3106 (2023).
Mohammed, K. A. M. et al. Improving the performance of perovskite solar cells with carbon nanotubes as a hole transport layer. Opt. Mater. 138 (2023).
Shamna, M. S. & Sudheer, K. S. Device modeling of Cs2PtI6-based perovskite solar cell with diverse transport materials and contact metal electrodes: a comprehensive simulation study using solar cell capacitance simulator. J. Photon. Energy. 12, 1–17 (2022).
Saha, P., Singh, S. & Bhattacharya, S. Efficient and Lead-Free perovskite solar cells based on Defect-Ordered Methyl ammonium antimony iodide. IEEE Trans. Electron. Devices. 70, 1095–1101 (2023).
Sabbah, H. Numerical simulation of 30% efficient Lead-Free perovskite CsSnGeI3-Based solar cells. Mater. (Basel). 15, 3229 (2022).
Pochont, N. R. & Sekhar, Y. R. Numerical simulation of Nitrogen-Doped titanium dioxide as an inorganic hole transport layer in mixed halide perovskite structures using SCAPS 1-D. Inorganics 11, 1–17 (2023).
Jamil, M. et al. Numerical simulation of perovskite/Cu2Zn(Sn1-x Gex)S4 interface to enhance the efficiency by Valence band offset engineering. J. Alloys Compd. 821, 1–6 (2020).
Mottakin, M. et al. Photoelectric performance of environmentally benign Cs2TiBr6-based perovskite solar cell using spinel NiCo2O4 as HTL. Optik (Stuttg). 272, 170232 (2023).
Deepthi Jayan, K. Bandgap tuning and input parameter optimization for Lead-Free All‐Inorganic single, double, and ternary Perovskite‐Based solar cells. Sol RRL. 6, 2100971 (2022).
Sarswat, P. K. & Free, M. L. Long-term stability of mixed perovskites. MRS Proc. 1771, 193–198 (2015).
Rabha, S. & Dobbidi, P. Structural, electrical properties and stability in microwave dielectric properties of (1 – x) MgTiO3-x SrTiO3 composite ceramics. J. Alloys Compd. 872, 159726 (2021).
Medvedeva, J. E. et al. Structure and electronic properties of amorphous strontium titanate. Phys. Rev. Mater. 6, 075605 (2022).
Acknowledgements
The SCAPS-1D program was kindly provided by Dr. M. Burgelman of the University of Gent in Belgium. The authors would like to express their gratitude to him. The authors extend their appreciation to Taif University, Saudi Arabia for supporting this work through project number (TU-DSPP-2024-19).
Funding
The research was funded by Taif University Saudi Arabia project number TU-DSPP-2024-19.
Author information
Authors and Affiliations
Contributions
M.K. Hossain: Conceptualization, Data curation, Formal Analysis, Funding acquisition, Investigation, Methodology, Project administration, Resources, Software, Supervision, Validation, Visualization, Writing – original draft, and Writing – review & editing; K.M. Sadat: Formal Analysis, Investigation, Software, Validation, Visualization, and Writing – original draft, M.S. Uddin, Prabhu P, S. Islam, A.M.S. Alhuthali, M.H. Abdellattif, and V. K. Mishra: Data curation, Formal Analysis, Investigation, Software, Validation, Visualization, and Writing – review & editing; A. Aggarwal, K. Gopalakrishna, P.S. Kiran, A.K. Mishra, and S.K. Shah: Formal Analysis, Investigation, Validation, Visualization, and Writing – review & editing.
Corresponding authors
Ethics declarations
Competing interests
The authors declare no competing interests.
Additional information
Publisher’s note
Springer Nature remains neutral with regard to jurisdictional claims in published maps and institutional affiliations.
Rights and permissions
Open Access This article is licensed under a Creative Commons Attribution 4.0 International License, which permits use, sharing, adaptation, distribution and reproduction in any medium or format, as long as you give appropriate credit to the original author(s) and the source, provide a link to the Creative Commons licence, and indicate if changes were made. The images or other third party material in this article are included in the article’s Creative Commons licence, unless indicated otherwise in a credit line to the material. If material is not included in the article’s Creative Commons licence and your intended use is not permitted by statutory regulation or exceeds the permitted use, you will need to obtain permission directly from the copyright holder. To view a copy of this licence, visit http://creativecommons.org/licenses/by/4.0/.
About this article
Cite this article
Sadat, K.M., Hossain, M., Uddin, M.S. et al. Exploration and optimization of different charge transport layers for Cs4CuSb2Cl12 based perovskite solar cells. Sci Rep 15, 25100 (2025). https://doi.org/10.1038/s41598-025-10731-6
Received:
Accepted:
Published:
Version of record:
DOI: https://doi.org/10.1038/s41598-025-10731-6













