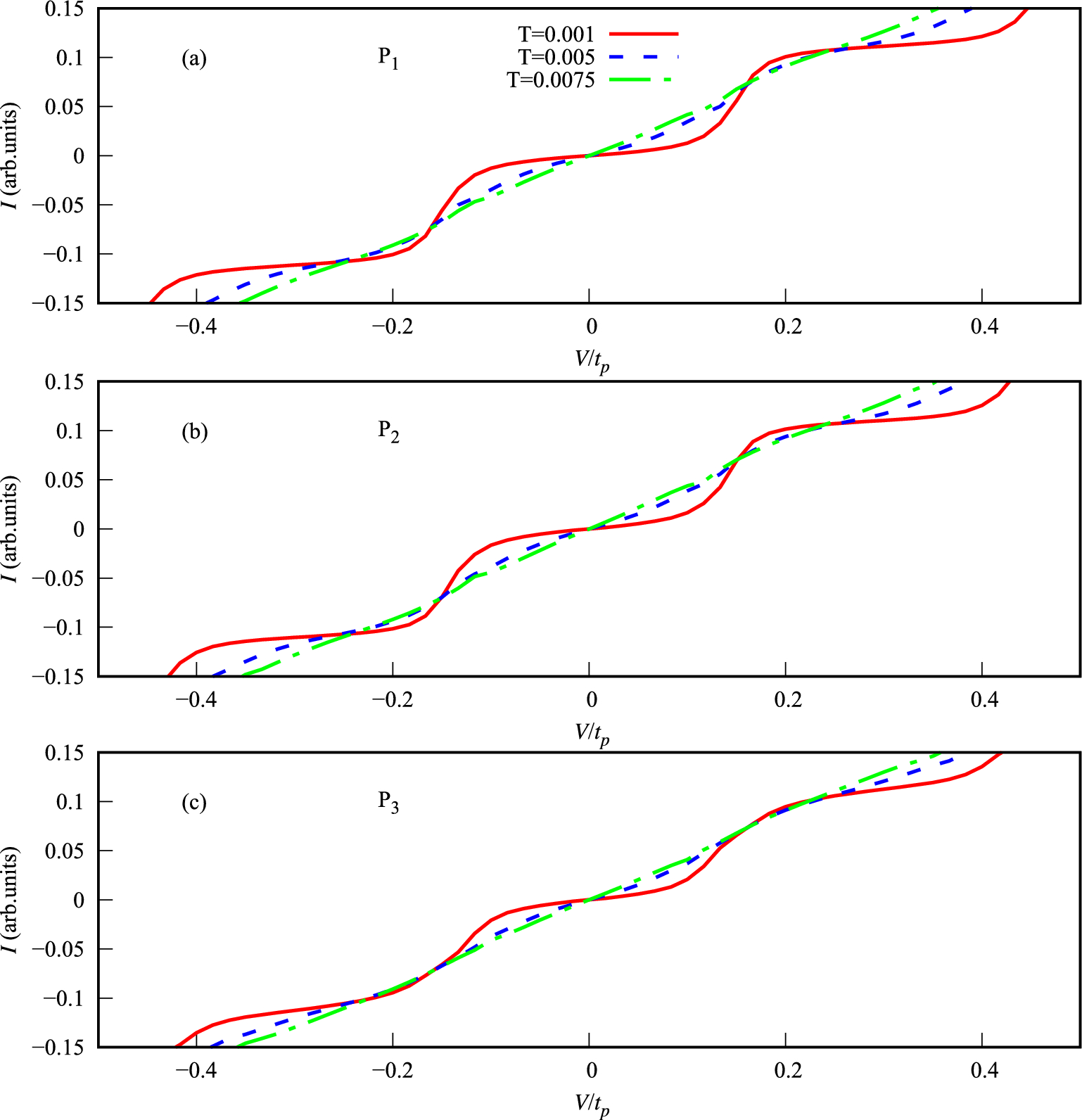
Fig. 5

The \(I-V\) curves are illustrated for a fixed value of electrode width, \(W=26\), encompassing three different conformations of the protein chain, \(\{\mathrm {P_{1}},\mathrm {P_{2}},\mathrm {P_{3}}\}\), and three amounts of temperature, \(T=0.001, 0.005, 0.0075\).