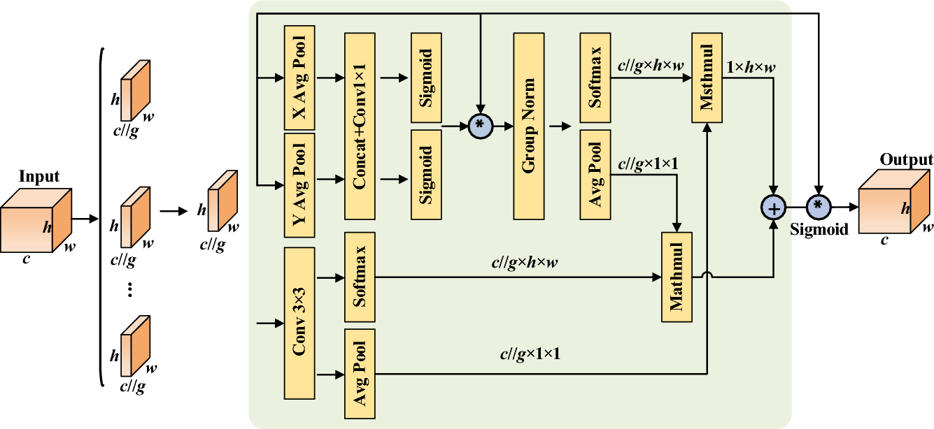
Fig. 4 | Scientific Reports