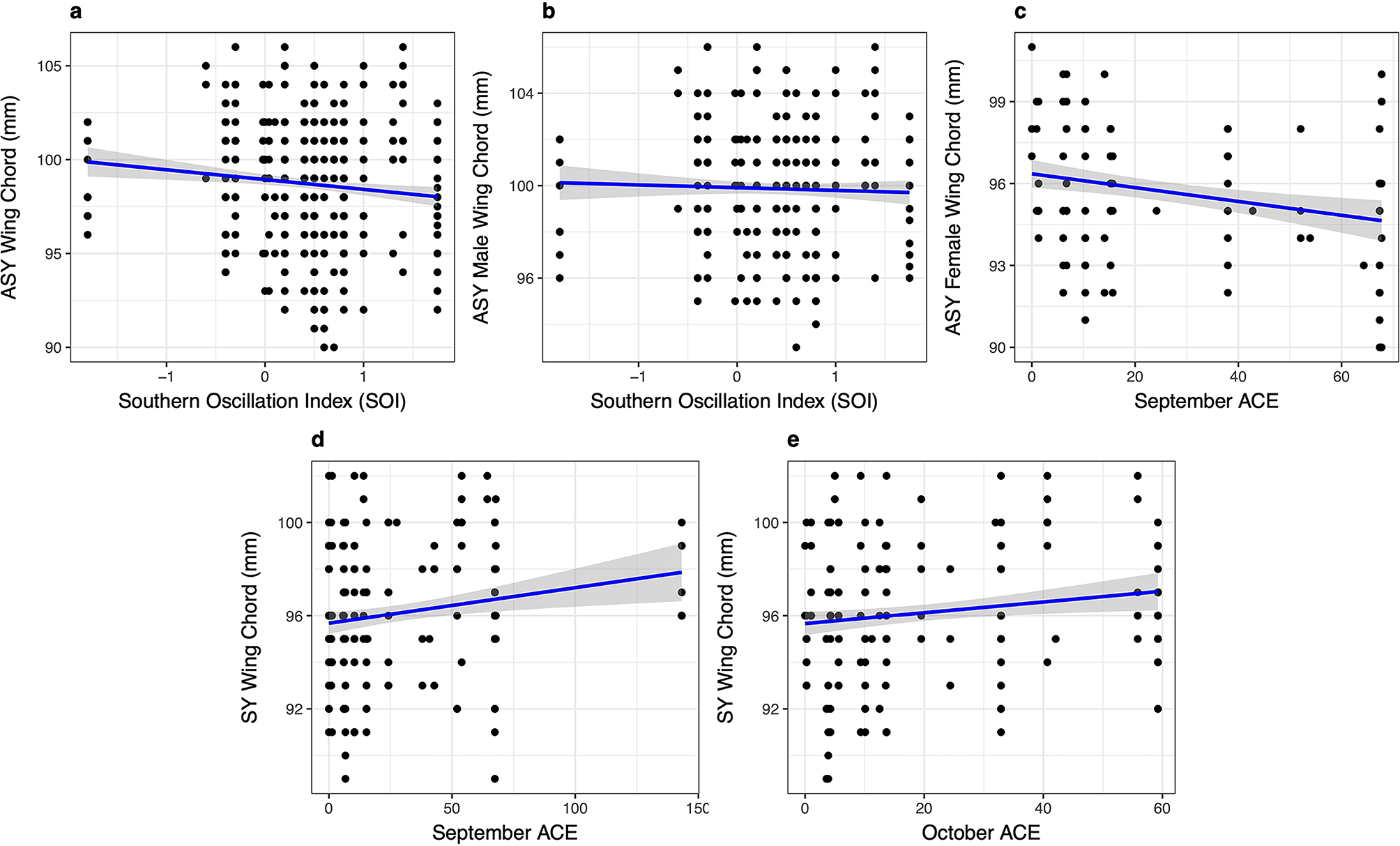
Fig. 2

Relationship between three independent predictor variables and the wing chord of Veeries returning to a Delaware and Pennsylvania, USA, breeding site over a 23-year period (2000–2023): (a) relationship between the Southern Oscillation Index (SOI) and adult (after second-year; ASY) wing chord (n = 359); (b) relationship between SOI and adult male wing chord (n = 252); (c) relationship between September ACE values and adult female wing chord (n = 99); (d) relationship between September ACE and second-year (SY) wing chord (n = 155); (e) relationship between October ACE and second-year wing chord (n = 155). Shaded area represents 85% confidence interval boundaries. SOI values are the mean value from the 12-month period prior to capture, and ACE values are from the western Atlantic Basin during the period of southward passage preceding capture (August to November; see text).