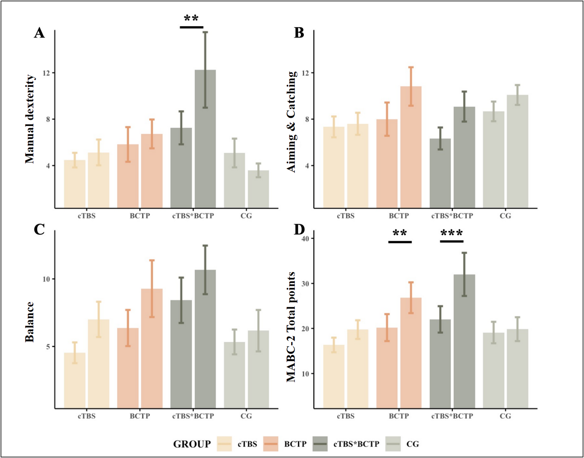
Fig. 4

Changes in MD in children with ASD before and after intervention. Notes: Alterations in the total score of the MABC-2 and its three subdimensions in children with ASD before and after intervention. Error bars represent standard deviation. ** p < 0.01; *** p < 0.001.