Fig. 6
From: Bi-objective jellyfish algorithm for team formation problem

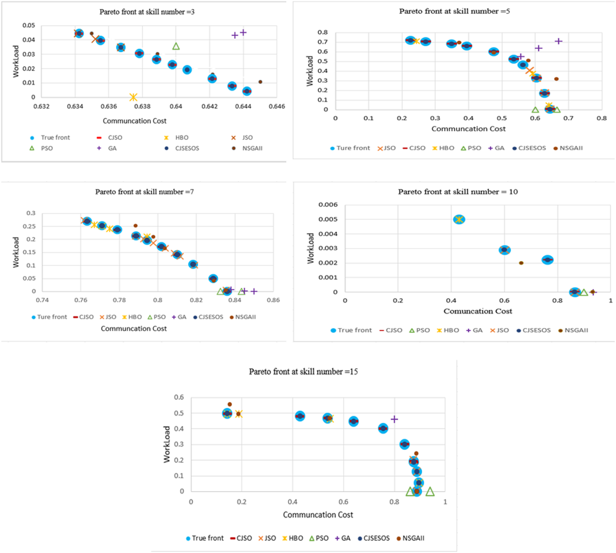
The approximated non-dominated solutions set of bi-objective TF problem by different algorithms at skills number = 3,5,7,10,15.
From: Bi-objective jellyfish algorithm for team formation problem

The approximated non-dominated solutions set of bi-objective TF problem by different algorithms at skills number = 3,5,7,10,15.