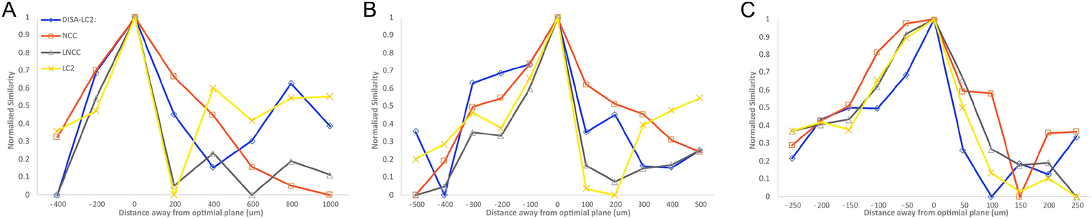
Fig. 4
From: 2D-3D deformable image registration of histology slide and micro-CT with DISA-based initialization

The similarity values between the histology image and the CT slices extracted from various distances away from the optimal plane. DISA-\(\text {LC}^2\), NCC, LNCC, and \(\text {LC}^2\) are computed, normalized to the corresponding min and max values in the current range. (A) Similarity values of the histology image and the CT slices sampled from the range [−400 µm, 1000 µm] with an interval of 20 µm. (B) Similarity values from the range [−500 µm, 500 µm] with an interval of 200 µm. (C) Similarity values from the range [−250 µm, 250 µm] with an interval of 50 µm.