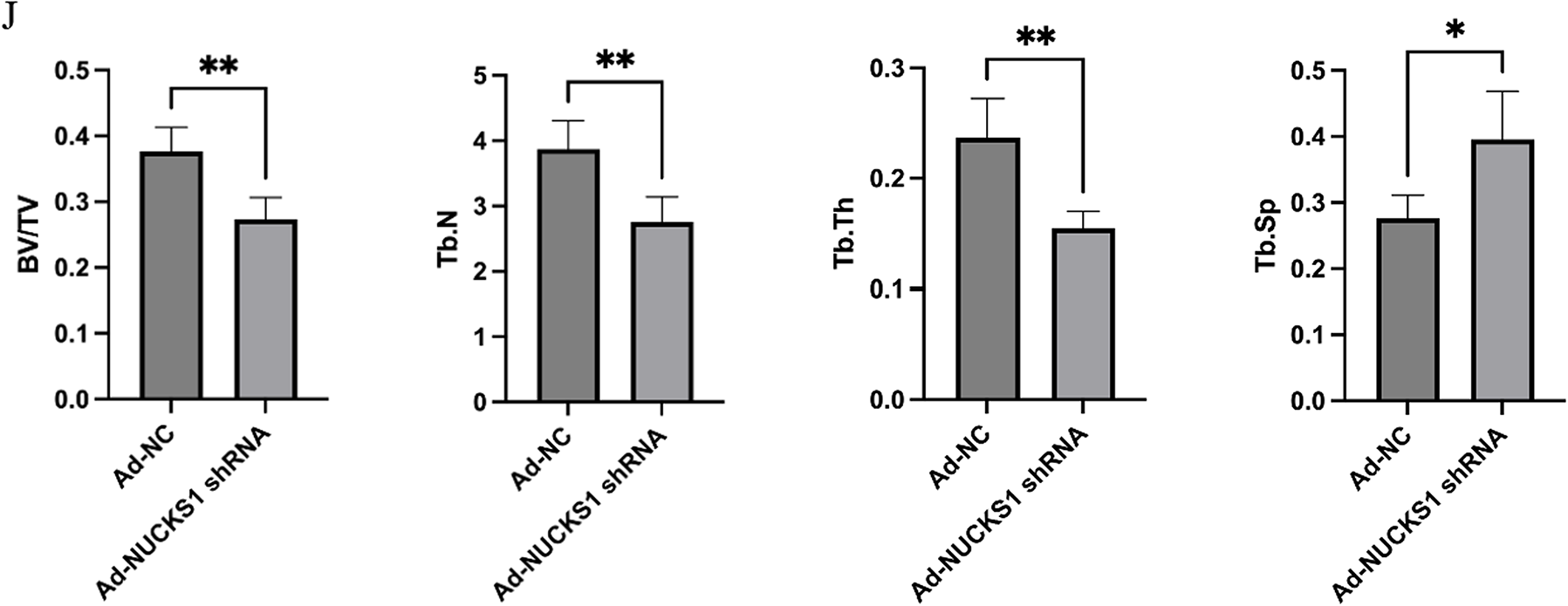
Fig. 4


Radiological analysis of mouse femur fractures 2 weeks after exogenous BDNF administration and adeno-associated virus transfection. (A) and (B) Representative X-ray images and Lane–Sandhu X-ray scores in the exogenous BDNF (100 ng/mL) and control groups 2 weeks after fracture. (C) Representative three-dimensional micro-CT images of the exogenous BDNF (100 ng/mL) and control groups 2 weeks after fracture. D Statistical analysis of BV/TV, Tb.N, Tb.Th, and Tb.Sp in (C). (E) Western blots showing NUCKS1 expression in mouse callus tissue 2 weeks after adeno-associated virus transfection. (F) Statistical analysis of results in (E). (G) and (H) Representative X-ray images and Lane–Sandhu X-ray scores in the groups 2 weeks after fracture. I Representative three-dimensional, coronal, and transverse micro-CT images of the Ad-NC and Ad-NUCKS1-shRNA groups 2 weeks after fracture. (J) Statistical analysis of BV/TV, Tb.N, Tb.Th, and Tb.Sp in (I). Each group included four mice. *p < 0.05, **p < 0.01, ***p < 0.001.