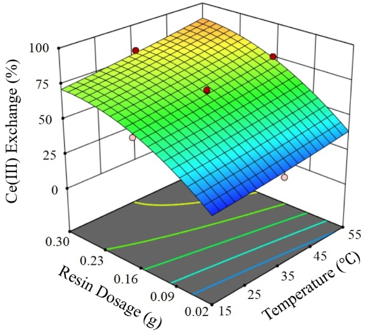
Fig. 5.

3D plot of the effect of temperature and resin dosage on the Ce(III) Exchange (%) drawn by Design Expert software (version 11). Initial Ce(III) concentration 50 mg L−1, H2SO4 concentration 0.6 M, solution volume 50 mL, shaker speed 150 rpm, contact times 24 h.