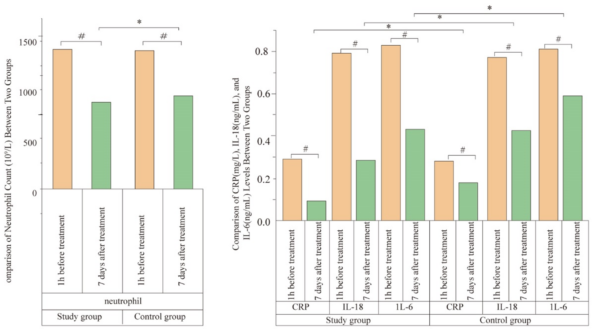
Fig. 2

Comparison of neutrophils, inflammatory cytokines (CRP, IL-18, IL-6) between groups. This figure displays the changes in neutrophil count (109/L), C-reactive protein (CRP, mg/L), interleukin-18 (IL-18, ng/mL), and interleukin-6 (IL-6, ng/mL) levels before (1 h before treatment) and after 7 days of treatment in both groups. All inflammatory markers were significantly reduced in both groups after treatment compared to baseline (#P < 0.05). The study group showed significantly lower levels of neutrophils, CRP, IL-18, and IL-6 than the control group after 7 days of treatment (*P < 0.05). Data are presented as mean values. #P < 0.05 compared to the same group before treatment; *P < 0.05 for the comparison between the study group and the control group after 7 days of treatment.