Fig. 8

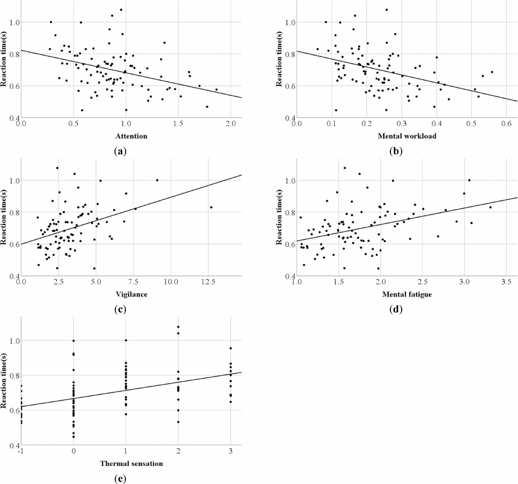
Linear regression analysis of reaction time with attention (a), mental workload (b), vigilance (c), mental fatigue (d), thermal sensation (e).

Linear regression analysis of reaction time with attention (a), mental workload (b), vigilance (c), mental fatigue (d), thermal sensation (e).