Abstract
Comprehending the optimal indoor temperature to augment the productivity and cognitive well-being of prefabricated construction workers (PCWs) is essential for enhancing efficiency and safety in construction. Twenty-four workers participated in experiments conducted at indoor temperatures of 24℃, 27℃, 30℃, and 33℃. During the experiments, workers underwent neurobehavioral tests at different indoor temperatures, and thermal sensation and comfort questionnaires were administered post-test to evaluate thermal comfort. Productivity was measured by the accuracy and reaction time in the neurobehavioral tests. Electroencephalogram (EEG) recordings during the tests provided data on attention, mental workload, vigilance, and mental fatigue. The results demonstrate that indoor temperature directly affects workers’ productivity and indirectly impacts it through cognitive states and thermal comfort. Analyzing correlations of cognitive state indicators and their changes over time, 27℃ and 30℃ are more conducive to enhancing PCWs’ productivity. Furthermore, it was observed that workers’ productivity is higher in longer tasks at the same indoor temperature compared to shorter tasks. These results offer practical guidelines for optimizing indoor temperature to better PCWs’ working conditions. By identifying productivity-enhancing temperature ranges, the study provides actionable insights to boost worker efficiency, reduce cognitive strain, and sustain performance.
Similar content being viewed by others
Prefabricated construction, characterized by the production of certain components in a controlled environment with standardized designs and mechanized manufacturing processes1,2, is considered an effective means to achieve the industrialization of prefabricated construction workers (PCWs)3. With the rapid development and expansion of prefabricated construction technology in the construction industry, PCWs have become a large and significant workforce4. Their productivity is a key factor affecting the quality and output of prefabricated components. Additionally, their professional knowledge in handling and assembling these components is crucial for achieving project goals, which can significantly impact project schedules, costs, and final quality.
Notably, PCWs engaged in prefabricated component production factories exhibit a distinctive array of characteristics that demarcate them from both traditional on-site construction workers and office workers. With respect to the working environment, in stark contrast to traditional on-site construction workers who are incessantly subjected to the capricious outdoor elements and intricate terrains, PCWs predominantly conduct their operations within an indoor setting. Albeit safeguarded from extreme meteorological conditions, they are nonetheless obliged to grapple with various factors. The incessant din generated by operating equipment, the stringent regulation of temperature and humidity essential for component quality assurance, and the relatively constricted workspace that demands dexterous maneuvering within confined quarters, all pose challenges that are unique to their work environment5. When considering work tasks, whereas traditional on-site construction workers are preponderantly occupied with labor-intensive manual undertakings, PCWs are tasked with achieving a delicate equilibrium between physical and mental exertions. Beyond the routine handling of proficient operation of machinery, they are required to meticulously adhere to standardized production protocols. This entails the intricate interpretation of complex technical blueprints and the execution of precise calculations for component fabrication. Evidently, such responsibilities necessitate a substantially higher degree of mental engagement in comparison to their traditional counterparts6,7. The skill requisites for PCWs are equally idiosyncratic. They are compelled not only to attain mastery over conventional construction competencies but also to remain abreast of the latest breakthroughs in prefabricated technology. This encompasses advanced mold manipulation techniques and the proficient management of automated production lines. In essence, their skill set amalgamates the fundamental proficiencies of traditional construction workers with the agility to adapt to novel technologies, akin to the technological acumen expected of office workers8. In the realm of safety risks, while PCWs circumvent certain perilous scenarios typical of outdoor construction, such as falls from great heights due to scaffolding instability or being struck by falling objects in an open and chaotic site environment, they are by no means immune to potential hazards. During equipment operation, malfunctions or improper handling can lead to accidents, and material handling processes also carry risks of strains, impacts, or collisions9. Overall, the level of risk they face situates itself between that of traditional on-site construction workers, who endure a plethora of high-risk outdoor perils, and office workers, who operate in a relatively hazard-free indoor office environment. Moreover, in their daily work routine, PCWs in component production factories demonstrate remarkable similarities to office workers, especially when handling assembly line-like operations. Similar to how office workers adhere to organized procedures for tasks such as data entry or document processing, PCWs follow standardized protocols meticulously during the production of prefabricated components10. They transition from one task station to another in an orderly, systematic manner, much like office workers moving through sequential work steps. For example, when assembling a specific prefabricated part, PCWs first scrutinize incoming materials against a detailed checklist, a practice reminiscent of office workers verifying data accuracy. Then, using specialized tools, they assemble components with great precision as per technical instructions, similar to office tasks demanding attention to detail. Finally, they conduct quality checks following established criteria, mirroring the quality control measures in office workstreams11. This workflow not only requires a high level of mental focus and discipline, typical of office-bound tasks, but also reveals that PCWs, in these aspects, are more akin to office workers. Their work processes, emphasizing precision, orderliness, and quality assurance, align closely with those in office settings, illustrating a notable degree of similarity that sets them apart from the more erratic nature of traditional on-site construction work12.
Governments and businesses have been actively exploring methods to enhance the knowledge levels and productivity of PCWs, implementing various measures. For example, some countries and regions have included the training of assembly PCWs in their development plans. However, the outcomes have been inconclusive13. Scholars have conducted research on improving the learning efficiency of PCWs, but the majority of these studies have focused on the impact of training methods and technological innovations on learning outcomes14,15,16,17with limited attention given to the influence of the working environment on productivity18. In practical terms, workers’ productivity are closely tied to the on-site working environment19,20.
Cognitive state refers to an individual’s conscious level of perception, reasoning, judgment, intuition, and memory, including attention, mental workload, vigilance, and mental fatigue21. Attention refers to the ability of the subject to focus on something while excluding other events22and mental workload refers to the cognitive effort or mental work required by the subject to complete a task23. Vigilance refers to the subject’s alertness to the external environment24and mental fatigue refers to the degree of physiological fatigue experienced by the subject due to physical or mental labor25. Both low attention and low vigilance, as well as high mental workload and high mental fatigue, can lead to workers neglecting risks in their work, increasing the likelihood of accidents and impacting production work24,26,27,28. Research has shown that the thermal environment at work can have a direct impact on cognitive state29,30and among the many factors in a thermal environment, indoor temperature has a more significant impact on productivity and cognitive state31,32. Extreme conditions such as high or low temperatures can negatively affect the cognitive state of groups such as office workers and reduce productivity33,34. Unlike groups such as office workers, PCWs are required to work in hot environments, whether indoor temperature directly affects the productivity of PCWs and whether there is a relationship between workers’ cognitive state and productivity are important issues to consider. Therefore, exploring indoor temperatures that are conducive to maintaining good cognitive states for PCWs and effectively improving productivity is of great value for enhancing the quality and output of prefabricated components.
The productivity of PCWs plays a crucial role in determining the quality and output of prefabricated components, which in turn can significantly influence project progress and company performance35. While previous studies have shown that uncomfortable indoor temperatures reduce the productivity of office workers and similar professions36,37it remains unclear whether these findings directly apply to PCWs, who operate under different working conditions. This gap in the literature raises an important question: Can indoor temperature impact the productivity of PCWs in a similar manner? Additionally, Fanger38 defined thermal comfort as an individual’s subjective evaluation of their thermal environment, encompassing sensations, satisfaction, and overall comfort. Building on this, Clements-Croome and Kaluarachchi39 found that thermal comfort directly influences people’s productivity in various work environments. Therefore, investigating whether adjusting the thermal environment to enhance the thermal comfort of PCWs can lead to productivity improvements is a key consideration for advancing prefabricated construction technologies.
Literature review
Research on the impact of thermal environments on participants’ productivity generally employs two main approaches. One approach is to directly assess the influence of thermal environments on productivity by collecting participants’ subjective feedback or having them complete specific experimental tasks. For example, studies have used subjective questionnaires to explore the effects of indoor temperature on students’ thermal comfort, mental workload, motivation, and productivity, as well as their interrelationships40. Similarly, neurobehavioral tests have investigated the impact of indoor temperature on the productivity of office workers41. Another approach involves using physiological measurement tools to evaluate participants’ physiological indicators and cognitive states. This method explores the relationship between productivity and cognitive state to assess participants’ productivity. For instance, studies have used electroencephalogram (EEG) technology to investigate the effects of thermal environments on participants’ productivity, cognitive states, and thermal comfort42,43,44. Saliva detection technology has been employed to study the effects of indoor temperature on participants’ vigilance and productivity, and their interrelationships37. Additionally, electrocardiogram measurement technology has been used to examine the effects of thermal environments on participants’ thermal comfort and learning performance45,46. Some studies have combined multiple physiological measurement tools to investigate the effects of thermal environments on participants’ thermal comfort, productivity, cognitive states, and their interrelationships36,47.
EEG technology, as a portable physiological measurement tool, has been applied to various groups such as students, office workers, and drivers to study the impact of thermal environments on cognitive states48,49,50,51,52. In recent years, research on the influence of indoor temperature on participants’ cognitive states has gained increasing attention. For example, Choi et al.53 used EEG to measure changes in attention at different indoor temperatures and found that extreme indoor temperatures lead to poorer attention, subsequently affecting productivity. Kim et al.54 used EEG to measure students’ cognitive states, such as mental workload, vigilance, and mental fatigue, and found that changes in indoor temperature can cause psychological and physiological responses, thus affecting cognitive states. Zhang et al.55 studied the effects of indoor temperature on participants’ EEG power and found that the absolute power in different frequency bands is lowest at neutral temperatures, impacting cognitive states. Wang et al.56 found in their study on the effect of indoor temperature on mental workload that participants’ mental workload is higher in slightly warm environments compared to slightly cool and neutral temperature environments, demonstrating that the thermal environment affects productivity by influencing participants’ mental workload.
The conventional approach to measuring productivity typically hinges on task completion evaluation, with participants fulfilling work tasks and productivity being gauged accordingly. This method, while practical, has limitations as it fails to capture the intricate cognitive elements that underlie effective work performance. Neurobehavioral tests, which incorporate perception, learning, memory, and action, present a more refined means of quantifying productivity. They can detect early manifestations of mental fatigue and cognitive strain that often evade the notice of standard productivity assessment methods. By zeroing in on the cognitive processes during work, these tests offer a more comprehensive and nuanced understanding of workers’ productive capabilities, surpassing the explanatory depth of conventional measurement techniques41. Several studies have employed different types of neurobehavioral tests to explore the impact of thermal environments on participants’ productivity, finding that changes in thermal environments affect neurobehavioral test results to varying degrees. For example, Lan et al.36 quantified participants’ productivity using 13 computerized neurobehavioral tests in a study on the effect of indoor temperature on productivity, finding that uncomfortable temperatures lead to reduced productivity. In further research on thermal discomfort caused by increased indoor temperatures, they used neurobehavioral tests involving tasks such as digital memory and grammatical reasoning, discovering that thermal discomfort negatively affects productivity. Participants were most productive when they felt slightly cool, indicating a relationship between thermal comfort and productivity57. Tham and Willem37 used the Tsai-Partington test to measure participants’ productivity in a study on the effect of indoor temperature on vigilance and productivity, finding that while participants were more vigilant at lower temperatures, their productivity as reflected in the test was lower. Cui et al.40 used a neurobehavioral test involving memory typing to measure participants’ productivity in a study on the effect of indoor temperature on productivity, concluding that comfortable indoor temperatures enhance productivity.
With the introduction of EEG measurement technology, combining EEG and neurobehavioral tests provides a more objective method for evaluating productivity and enhances the cognitive understanding of how the thermal environment impacts productivity. Zhang et al.48 studied the effect of indoor temperature on participants’ mental workload and measured productivity using a neurobehavioral test with serial addition while recording EEG signals. They found that indoor temperature did not significantly affect the test results, indicating that indoor temperature did not impact productivity or mental workload. Nayak et al.49 investigated the effect of different indoor temperatures on productivity, using addition and typing tasks as neurobehavioral tests. They recorded EEG signals during the tests and discovered that EEG signals were related to the type of neurobehavioral test, allowing the prediction of participants’ productivity at different indoor temperatures based on EEG frequency bands. Dong et al.58 examined the effect of environmental temperature on the productivity of underground workers and found a correlation between EEG signals and neurobehavioral test results. They used tests such as text memorization, typing, numerical addition, and picture matching to assess productivity and recorded EEG signals during the tests. They further found that the optimal temperature for the highest productivity was between 27.3℃ and 28.8℃. Wang et al.56 studied the effect of the indoor thermal environment on mental workload and productivity. They used computerized neurobehavioral tests to evaluate productivity and recorded EEG signals to measure mental workload during the tests. The results showed that mental workload was related to different neurobehavioral tests, with varying levels of mental workload required for different tests. They also found that participants required higher mental workload to achieve better productivity in a slightly warm environment. Given the notable similarities between PCWs and office workers in work processes, especially regarding the requisites of mental focus, methodical order, and strict adherence to standardized procedures, and considering the parallel with underground workers in terms of being affected by specific environmental factors during their laborious tasks, it is plausible to employ neurobehavioral tests for gauging PCWs’ productivity. Analogous to office workers, PCWs partake in tasks that hinge on cognitive capabilities, such as painstaking attention to technical minutiae, sequential task execution, and quality assurance by fixed criteria. These cognitive facets are amenable to being detected and quantified via neurobehavioral evaluations. Applying pertinent neurobehavioral tests enables a more accurate determination of the influence exerted by diverse factors, especially the thermal environment, on PCWs’ productivity. This methodology not only facilitates comprehension of the nexus between working conditions and their performance but also lays the groundwork for devising targeted strategies to enhance their productivity. Importantly, it underlines that neurobehavioral tests, which have proven effective for understanding the cognitive and productive states of both office workers and underground workers in relevant research, are equally suitable and valuable when applied to PCWs, given their overlapping work characteristics demanding mental engagement.
Lan and Lian59 noted that combining neurobehavioral tests with thermal comfort questionnaires provides more comprehensive information on the impact of the thermal environment on productivity. This suggests a relationship between participants’ thermal comfort and their productivity, indicating that productivity can be evaluated based on participants’ thermal comfort. Thermal comfort is assessed using subjective questionnaires to collect participants’ thermal sensations and comfort levels during experimental tasks in a thermal environment. The thermal comfort questionnaire primarily includes thermal sensation vote and comfort vote questionnaires. The thermal sensation vote questionnaire collects participants’ perceptions of the thermal environment, with responses ranging from cold to hot. The comfort vote questionnaire collects participants’ comfort levels in the thermal environment, with responses ranging from uncomfortable to comfortable38. Thermal comfort questionnaires can effectively reflect participants’ subjective feedback in a thermal environment and explore the relationship between thermal comfort and productivity. For instance, Ye et al.60 evaluated the thermal environment using thermal sensation and comfort questionnaires in a study on the impact of thermal environment on productivity, and found that participants were most productive in a slightly cool environment. Schellen et al.61 explored participants’ thermal sensations and comfort levels in environments with convective cooling and radiant cooling using thermal comfort questionnaires, and found that participants reported lower thermal sensations in both conditions. Shan et al.51 studied the relationship between thermal sensation and productivity using thermal sensation vote questionnaires in a study on the impact of indoor temperature on productivity, and found that different indoor temperatures led to different thermal sensations, with neutral temperatures resulting in higher productivity.
The above studies indicate that indoor temperature directly affects participants’ cognitive states, which can be measured and validated using EEG technology. Real-time monitoring with physiological indicators such as EEG can effectively assess changes in participants’ cognitive states under different indoor temperature conditions. EEG has been used in studies involving students, office workers, and drivers, demonstrating its universality and wide applicability. The results of neurobehavioral tests can reflect participants’ productivity in specific indoor thermal environments; higher accuracy or shorter reaction times in neurobehavioral tests indicate higher productivity. EEG technology supports neurobehavioral tests from a cognitive perspective, providing a more comprehensive evaluation of the impact of indoor temperature on productivity. Thermal sensation and comfort questionnaires can effectively assess participants’ thermal comfort under different indoor temperatures. Indoor temperature directly affects participants’ thermal comfort, and when combined with neurobehavioral tests, it can better evaluate the impact of indoor temperature on participants’ productivity. Research has already shown that indoor temperature has a direct impact on the productivity of various groups. However, there is currently limited research on the impact of indoor temperature on the productivity of PCWs. Comprehensive evaluations of PCWs’ productivity, both direct and indirect, are lacking. Specifically, it is not well understood whether indoor temperature directly affects the productivity of PCWs or indirectly affects it through changes in their cognitive states or thermal comfort. Additionally, studies evaluating productivity through cognitive states often use single cognitive state indicators and lack real-time research on changes in cognitive states during tasks.
Hypotheses and research roadmap
Based on the literature review and the characteristics of PCWs, following the research roadmap in Fig. 1. The hypothesis relationships are discussed below.
Studies by Lan et al.57 and Wyon62 highlight the significant impact of indoor temperature on workers’ performance and productivity, showing that temperature extremes can directly reduce task performance in various work settings. Research by Lin et al.63 shows that higher temperatures result in decreased task accuracy, particularly in cognitive tasks, due to reduced cognitive function under thermal stress. Studies by Hancock et al.64 and Lan et al.57 indicate that elevated temperatures slow down cognitive and motor responses, resulting in longer reaction time during work tasks. Thus, the following hypothesis is proposed:
H1
Indoor temperature has a direct impact on the productivity of PCWs.
H1a
An increase in indoor temperature leads to a decrease in accuracy.
H1b
An increase in indoor temperature leads to longer reaction time.
Studies such as those by Lan et al.36 indicate that indoor temperature directly influences thermal comfort and participants’ perception of their environment. Elevated temperatures cause participants to report warmer thermal sensations. Research by Fanger38 shows that as the thermal environment becomes warmer, participants experience discomfort, especially when the temperature exceeds what is considered thermally neutral. Thus, the following hypothesis is proposed:
H2
Indoor temperature has a direct impact on thermal comfort of PCWs.
H2a
An increase in indoor temperature leads to a higher thermal sensation.
H2b
An increase in indoor temperature leads to a decrease in comfort.
Lan et al.57 found that extreme indoor temperatures affect cognitive states, particularly attention, with warmer environments leading to reduced focus and slower task performance. This was also corroborated by Lin et al.63who demonstrated that higher temperatures impair attentiveness in tasks requiring sustained mental effort. Warmer indoor temperatures can significantly increase mental workload, as found by Hancock et al.64. In this study, elevated temperatures caused participants to expend more cognitive resources to complete tasks, indicating an increase in mental workload under thermal stress. Studies by Lan et al.36 found that vigilance, or sustained attention, decreases as temperatures rise. This reduction in vigilance is attributed to the increased mental and physical discomfort associated with higher temperatures. Elevated temperatures are shown to accelerate the onset of mental fatigue, as cognitive resources are more quickly depleted in warmer environments. Wyon62 found that workers in higher temperature settings experienced increased mental fatigue due to thermal discomfort, which impacted their overall productivity and cognitive function. Thus, the following hypothesis is proposed:
H3
Indoor temperature has a direct impact on cognitive states of PCWs.
H3a
An increase in indoor temperature leads to decreased attention.
H3b
An increase in indoor temperature leads to increased mental workload.
H3c
An increase in indoor temperature leads to decreased vigilance.
H3d
An increase in indoor temperature leads to increased mental fatigue.
Fanger38 introduced the Predicted Mean Vote (PMV) model, which demonstrates that deviations from neutral thermal conditions reduce thermal comfort, leading to decreased productivity. Additionally, Lan et al.57 found that workers in uncomfortable thermal environments experience a decrease in their comfort levels, which directly impacts their ability to perform tasks efficiently. As workers become less comfortable, their cognitive and physical abilities are impaired, reducing overall productivity. Thus, the following hypothesis is proposed:
H4
Indoor temperature indirectly affects the productivity of PCWs through thermal comfort.
Hancock et al.64 demonstrated that elevated temperatures increase mental workload and decrease attention, impairing performance on tasks that require sustained cognitive effort. Similarly, Wyon62 found that warmer environments lead to mental fatigue, reducing the ability to perform complex tasks. These cognitive impairments reduce productivity, showing that indoor temperature indirectly affects task performance by altering cognitive states. Thus, the following hypothesis is proposed:
H5
Indoor temperature indirectly affects the productivity of PCWs through cognitive states.
Methods
This section describes the selection of participants, experimental instruments, experimental conditions, design of neurobehavioral tests and subjective questionnaires, experimental procedure, and data collection and analysis.
Participants
The participants were PCWs, The sample size of participants was determined by an F-test based on one-way analysis of variance, calculated using GPower software, with an effect size of 0.4, a significance level of α = 0.05, and a power of 1-β = 0.8, resulting in a required sample size of 22 participants44,65. To ensure data integrity, a total of 24 participants were selected for this study.
Notably, a more in-depth demographic breakdown of these 24 participants has been incorporated. The cohort comprised 4 females and 20 males, with ages spanning from 18 to 55 years, yielding an average age of 32 years. In terms of educational attainment, participants exhibited a diverse range of levels, encompassing junior high school, high school, secondary technical school, junior college, and undergraduate. Their work experience averaged approximately 4 years, with a minimum of 1 year and a maximum of 18 years. Regarding their attire during the experiment, 7 participants donned long-sleeved tops and long trousers, 13 opted for short-sleeved tops and long trousers, and 4 chose short-sleeved tops and short trousers. The sample was further stratified with 12 participants falling within the 18–29 age bracket and 12 within the 30–55 age range. This strategic age-based categorization was implemented to mitigate potential biases stemming from baseline demographic characteristics. All participants were in good health and satisfied the experimental prerequisites. All participants were in good health and met the experimental requirements.
The study obtained approval from the Ethics Committee of Hainan University (Approval No. HL202306NS001), and all procedures were performed in accordance with the relevant guidelines and regulations. Participants volunteered to participate, providing written informed consent. Participants were required to clean their heads before the experiment and abstain from smoking, drinking alcohol, or engaging in other activities that could affect neural responses. They were also required to have sufficient sleep before the experiment. Participants were instructed to wear clothing that they felt comfortable in, and changing clothes during the experiment was not allowed.
Furthermore, the alignment between the experimental tasks and the participants’ real-world occupational demands has been explicitly elucidated. The reaction-time tests in the experiment were deliberately crafted to mirror their professional requirement to promptly respond to machine alarms in prefabricated component production. Similarly, the attention-related tasks were designed to parallel the visual inspection of component surfaces for quality control purposes. This congruence between the experimental tasks and their routine work ensures that the experimental setup accurately captures the cognitive demands relevant to their occupational context.
Experimental instruments
The instruments used in the experiment were primarily for measuring indoor temperature and the participants’ EEG signals. The instrument used to measure indoor temperature was the UNI-T UT333BT thermometer-hygrometer, with a temperature range of −10℃ to 60℃ and a resolution of 0.1℃. The instrument used to measure EEG signals was the EMOTIV EPOC X EEG headset, with a sampling rate of 128 Hz and 14 EEG sensor channels (AF3, F7, F3, FC5, T7, P7, O1, O2, P8, T8, FC6, F4, F8, AF4), conforming to the international 10–20 system of electrode placement.
Experimental conditions
The experiment was conducted during the summer, with an average outdoor temperature of 30℃. Five offices were converted into laboratories, each measuring 4 m (length) × 3 m (width) × 2.8 m (height), and equipped with doors, windows, desks, chairs, lighting, and air conditioning systems. The laboratory environment is shown in Fig. 2. One of the laboratories served as a preparation room with a temperature set at 24℃. The temperatures in the other four laboratories were set at 24℃, 27℃, 30℃, and 33℃, respectively. The indoor temperatures of 24℃, 27℃, 30℃, and 33℃ were strategically selected based on a synthesis of industrial field data and thermal comfort research. Field investigations of prefabricated construction factories have demonstrated that summer indoor temperatures typically fluctuate within the range of 24℃ to 33℃, with 27℃−30℃ representing the modal interval. This temperature gradient enables a comprehensive evaluation of productivity across both thermally comfortable and stressful environments, spanning from neutral conditions to hot states. Indoor temperatures were controlled using the air conditioning system, and the rooms were kept draft-free with an average relative humidity of 65%, in accordance with the recommended comfort standards of the American Society of Heating, Refrigerating and Air-Conditioning Engineers66. Other environmental factors remained constant. The indoor temperatures set and recorded in the four laboratories are shown in Table 1.
Neurobehavioral tests and subjective questionnaires
The neurobehavioral tests include various types, such as grammatical reasoning, text memory and typing, numerical addition, and picture matching. When designing the content of the neurobehavioral tests, it is necessary to consider the type of participants and the experimental purpose. The content should be simple and easy to understand. Therefore, the neurobehavioral test used in this experiment is a modified version of the visual elevator test proposed by Guusje et al.67which demands high attention. Participants are required to imagine riding an elevator and simulate its operation. At the beginning of the test, participants are informed of the current floor. They need to respond to the final floor where the elevator stops, based on a series of red arrows displayed on the computer screen indicating whether the elevator is going up or down. Participants undergo the neurobehavioral tests in each indoor temperature environment. Four tests of the same difficulty were designed, each with 10 questions and a total duration of 284 s. Relevant instructions and demonstrations are provided before the test, and voice prompts are configured to prevent unfamiliarity with the test content from affecting performance.
The subjective questionnaires for PCWs should be designed to be simple and easy to understand, allowing them to express their thermal comfort in the current thermal environment reasonably. The subjective questionnaires that participants are required to fill out in the experiment include the thermal sensation vote questionnaire and the comfort vote questionnaire. The voting levels for the questionnaires are set according to the evaluation standards for the thermal environment by Fanger38the American Society of Heating, Refrigerating and Air-Conditioning Engineers66and the International Organization for Standardization68as shown in Fig. 3 The thermal sensation vote questionnaire collects the participant’s subjective thermal sensation level in the current indoor thermal environment, divided into five levels: slightly cool, neutral, slightly warm, warm, and hot. The comfort vote questionnaire collects the participant’s subjective comfort level in the current indoor thermal environment, divided into five levels: uncomfortable, just uncomfortable, neutral, just comfortable, and comfortable. Participants fill out these two questionnaires based on their subjective feelings after undergoing the neurobehavioral tests at each indoor temperature.
Experimental procedure
The experiment is divided into two main steps: preparation and formal experiment. In the preparation phase, the participants enter a preparation room where the indoor temperature has been adjusted to 24℃. Here, the staff introduce the experiment content and procedures to the participants, who then sign an informed consent form. After verifying the participants’ basic information, the staff place the EEG signal recorder on the participants’ heads according to the international 10–20 system of electrode placement. The participants are instructed to avoid excessive body movements and to complete all neurobehavioral tests as carefully as possible during the experiment.
In the formal experiment, the indoor temperature of the four laboratories is set to 24℃, 27℃, 30℃, and 33℃ respectively. The 24 participants are evenly divided into eight groups based on age and gender distribution, with each group completing neurobehavioral tests in all four laboratories. To minimize order effects on the experimental results, a Latin square design was employed to randomize the sequence of laboratory exposures. Specifically, the order in which each group entered the four laboratories was systematically varied to ensure each temperature condition was presented equally often in each ordinal position across all groups, as detailed in Table 2. After entering the first laboratory, each group of participants spends 10 min adapt to the environment before undergoing the neural behavior test and recording the EEG. After completing the neurobehavioral test, the participants fill out the subjective questionnaires. They then change to the second laboratory for a short break and another 10-minute acclimation period before repeating the neurobehavioral test, EEG recording, and subjective questionnaires. The same steps are followed in the third and fourth laboratories. The total duration of the experiment is 87 min, and the experimental procedure are illustrated in Fig. 4.
Data collection and analysis
The neurobehavioral tests are conducted on a computer. To avoid the participants’ lack of familiarity with the computer affecting the experiment, they are required to verbalize their answers, which are then recorded by the staff. The accuracy and reaction time of the neurobehavioral tests under different indoor temperatures are calculated based on these verbal responses.
The subjective questionnaires are recorded on paper for easy storage and retrieval, making it more convenient for the participants to fill out. Participants are instructed on how to complete the questionnaires, and each completed questionnaire is archived independently. The questionnaires are labeled with the participant’s ID and temperature tag for later analysis of thermal sensation and comfort under different indoor temperatures.
The EEG data is recorded and stored using the EmotivPRO software, capturing signals from 14 channels. A total of 96 segments of EEG data, each about 5 min long, are recorded, with each segment labeled with the participant’s ID and temperature tag, representing the raw EEG data. The raw EEG data contains many irrelevant components and needs to be preprocessed using the EEGLAB and Letswave toolboxes in Matlab. In EEGLAB, the raw EEG data is imported, retaining only the 14 channels and filtered with a bandpass of 0.1–30 Hz. The data is then segmented to match the duration of the neurobehavioral test for time-domain analysis, with each segment cut to 284 s. The segmented data is then imported into Letswave for independent component analysis to remove artifacts such as eye movements and muscle activity, resulting in cleaner EEG data.
After preprocessing, Letswave is used to perform functions such as fast Fourier transform (FFT) to export the energy of each frequency band and short-time Fourier transform (STFT) to export the energy of each frequency band at specific time points. The average energy of δ waves (1–4 Hz), θ waves (4–8 Hz), α waves (8–13 Hz), β waves (13–30 Hz), γ waves (30–100 Hz), sensorimotor rhythm (SMR) and Middle β waves (12–15 Hz and 16–20 Hz) for each of the 14 channels is exported for each of the 96 segments. Additionally, the average energy of δ, θ, α, β, SMR, and Middle β waves for each of the 14 channels is exported for nine time points (30s, 60 s, 90 s, 120 s, 150 s, 180 s, 210 s, 240 s, 270 s) before and after each time point, totaling 10 s of data for each time point.
Data collection and analysis involved conducting quadratic regression analysis on neurobehavioral test results including reaction time and accuracy to model their relationship with indoor temperature, performing one-way ANOVA followed by LSD post hoc tests to identify differences in thermal sensation and comfort votes across temperatures and analyze EEG-derived cognitive state indicators (attention, mental workload, vigilance, mental fatigue), using Pearson correlation analysis to explore associations between productivity, cognitive states, and thermal comfort, constructing linear regression models to evaluate the predictive power of these factors on productivity, and assessing correlations among cognitive state indicators, all performed using SPSS with significance set at α = 0.05 and effect sizes reported to adhere to APA standards.
The cognitive states to be calculated include attention, mental workload, vigilance, and mental fatigue, along with their data at each time point. Due to the numerous calculation equations and channels for cognitive states, this study chooses commonly used calculation equations and channels from existing studies for a comprehensive analysis of cognitive states21,53,69. The calculation equations and channels for each cognitive state indicator are shown in Table 3.
Results
This section analyzes the results of neurobehavioral tests, subjective questionnaires, and EEG recordings at different indoor temperatures. It examines the effects of indoor temperatures on the productivity, thermal comfort, and cognitive states of the participants. Additionally, it analyzes the correlations between productivity and cognitive states, thermal comfort, as well as the correlations between indicators of cognitive states. Finally, it compares and analyzes the changes in cognitive state indicators under different task conditions.
Results of the neurobehavioral tests, the subjective questionnaires and the EEG recordings
The results of the neurobehavioral tests completed by the participants at different indoor temperatures are shown in Fig. 5. Figure 5a displays the change in accuracy with indoor temperature. The size of the black circles indicates the number of participants, and the solid line represents the results of the quadratic regression analysis (R2 = 0.020, P > 0.05). Figure 5b shows the change in reaction time with indoor temperature. The black circles represent the reaction times of the participants at different indoor temperatures, and the solid line represents the results of the quadratic regression analysis (R2 = 0.514, P < 0.05). Overall, the variation in indoor temperature does not significantly impact the accuracy of neurobehavioral tests, but it does have a significant effect on reaction time. As the indoor temperature increases, participants’ reaction times lengthen, indicating that H1a is rejected, and H1b is supported. Additionally, the high accuracy of the neurobehavioral tests suggests that participants are diligently completing the test tasks.
To identify differences in thermal sensation and comfort among participants at different indoor temperatures, a one-way analysis of variance (ANOVA) was conducted on indoor temperatures. This was followed by the Least Significant Difference (LSD) method to determine the average difference in subjective questionnaire responses between different indoor temperatures, as shown in Table 4. Figure 6 illustrates the variation in participants’ thermal sensation voting (R²=0.450, P < 0.05) and comfort voting (R²=0.046, P < 0.05) with changes in indoor temperature. The size of the black circles represents the number of participants, and the solid lines depict the results of quadratic regression analysis. A combined analysis of Table 4; Fig. 6 will be conducted to assess the impact of indoor temperature on participants’ thermal sensation and comfort, respectively. This analysis will help evaluate the impact of indoor temperature on the thermal comfort of the participants.
The results of the thermal sensation voting indicate that as indoor temperature increases, participants’ thermal sensation also increases, H2a is supported. Overall, participants’ thermal sensation is significantly influenced by indoor temperature. Among the comparisons between the four indoor temperatures, only the comparison of thermal sensation voting between 30℃ and 33℃ shows no significant variation, while the comparisons between other temperature pairs exhibit significant differences. Additionally, participants reported an overall thermal sensation between slightly cool and neutral at 24℃, and between slightly warm and warm at 33℃.
The results of the comfort voting indicate that participants’ comfort decreases as the indoor temperature rises from 24℃ to 30℃, but shows a slight rebound when the temperature increases further to 33℃, H2b is rejected. Overall, the comfort level fluctuates between neutral and just comfortable. Participants’ comfort is significantly influenced by indoor temperature. Among the comparisons between the four indoor temperatures, only the comparisons of comfort voting between 24℃ and 30℃, 27℃ and 30℃, and 30℃ and 33℃ show significant differences, while the comparisons between other temperature pairs show no significant differences.
Overall, the subjective questionnaires reveal that participants’ perception of the indoor temperatures designed in this study is evident, indicating that the impact of indoor temperature on participants’ thermal comfort is significant.
The processed EEG data were used to calculate various cognitive state indicators under different indoor temperatures according to Table 3, including attention, mental workload, vigilance, and mental fatigue. To assess the influence of indoor temperature on these cognitive state indicators, ANOVA was conducted with indoor temperature as the independent variable and each cognitive state indicator as the dependent variable, as shown in Table 5. The results indicate that indoor temperature significantly affects participants’ attention and mental workload. Vigilance calculated using α/(β + γ) was not significantly affected by indoor temperature, while vigilance calculated using (θ + β)/(α + γ) and α/(β + γ) was significantly affected by indoor temperature. Similarly, mental fatigue calculated using α/β was not significantly affected by indoor temperature, while mental fatigue calculated using θ/α, θ/β, (θ + α)/β, and (θ + α)/(α + β) was significantly affected by indoor temperature. Therefore, overall, indoor temperature significantly influences participants’ vigilance and mental fatigue as well.
To further investigate the relationship between indoor temperature and various cognitive state indicators, post-hoc multiple comparisons using the LSD method were conducted to assess the differences in cognitive state indicators among different indoor temperatures. The changes in cognitive state indicators at different indoor temperatures are shown in Fig. 7 (*: P < 0.05, **: P < 0.01, ***: P < 0.001). Figure 7a shows the changes in attention, among the pairwise comparisons between the four indoor temperatures, only the comparisons of attention between 24℃ and 27℃, and between 30℃ and 33℃ did not show significant differences, while comparisons between other indoor temperatures exhibited significant differences in attention. Figure 7b illustrates the changes in mental workload with indoor temperature. Channels AF3, AF4, T7, and T8 are associated with mental workload. Differences in mental workload were observed in comparisons between 24℃ and 30℃, 24℃ and 33℃, 27℃ and 33℃ for channels AF3 and AF4, while channel AF4 showed differences in comparisons between 30℃ and 33℃ as well. Channels T7 and T8 consistently showed significant differences, indicating differences in mental workload between 33℃ and the other three indoor temperatures. Figure 7c and d show the changes in vigilance and mental fatigue, respectively, with different calculation equations across indoor temperatures. Both vigilance and mental fatigue exhibited significant differences when compared with 33℃ and the other indoor temperatures.
The results indicate that the indoor temperatures designed in this study significantly affect participants’ attention, mental workload, vigilance, and mental fatigue. Specifically, indoor temperature significantly influences participants’ cognitive states, with attention and mental workload decreasing as indoor temperature increases, while vigilance and mental fatigue increase with higher indoor temperatures, H3a and H3d are supported, while H3b and H3c are rejected.
Correlation analysis
To examine the correlation between productivity and cognitive state as well as thermal comfort, Pearson correlation analysis was conducted between productivity indicators and cognitive state indicators, and thermal comfort indicators, with the results shown in Table 6. It is evident that reaction time, a measuring indicator of productivity, is positively correlated with thermal sensation in thermal comfort. Reaction time is negatively correlated with attention and mental workload in cognitive states, while it is positively correlated with vigilance and mental fatigue.
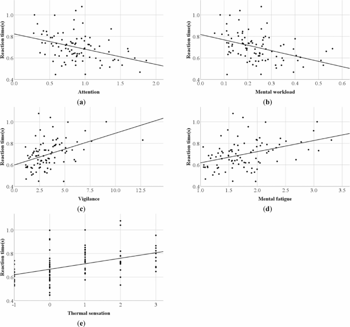
To further explore the relationship between productivity, cognitive state, and thermal comfort indicators, linear regression analysis was conducted using attention, mental workload, vigilance, mental fatigue, and thermal sensation as independent variables, and reaction time as the dependent variable, as shown in Fig. 8. Figure 8a illustrates the linear regression between attention and reaction time (R2 = 0.144, P < 0.05), indicating that as attention increases, reaction time decreases. Figure 8b shows the linear regression between mental workload and reaction time (R2 = 0.164, P < 0.05), indicating that as mental workload increases, reaction time decreases. Figure 8c depicts the linear regression between vigilance and reaction time (R2 = 0.177, P < 0.05), suggesting that as vigilance increases, reaction time lengthens. Figure 8 d represents the linear regression between mental fatigue and reaction time (R2 = 0.158, P < 0.05), showing that as mental fatigue increases, reaction time lengthens. Figure 8e illustrates the linear regression between thermal sensation and reaction time (R2 = 0.203, P < 0.05), indicating that as thermal sensation increases, reaction time lengthens.
The results indicate that participants’ productivity is correlated with both cognitive state and thermal comfort and exhibits a significant linear relationship, and indoor temperature significantly affects these factors. This means that indoor temperature indirectly influences participants’ productivity by affecting their cognitive state and thermal comfort, confirming H4 and H5. More specifically, as participants’ thermal sensation increases, or their attention and mental workload decrease, or their vigilance and mental fatigue increase, their reaction time lengthens and their productivity decreases.
To examine the correlation between cognitive state indicators, Pearson correlation analysis was conducted among all cognitive state indicators, with the results shown in Table 7. It can be observed that attention is positively correlated with mental workload, while attention is negatively correlated with vigilance and mental fatigue. Mental workload is negatively correlated with vigilance and mental fatigue. Vigilance is positively correlated with mental fatigue. These results indicate that there are correlations between different cognitive state indicators, and they influence each other, thereby affecting participants’ productivity.
Changes in cognitive states under task conditions
The correlation analysis indicates a strong relationship between productivity and cognitive states. To better evaluate participants’ productivity through their cognitive states, this section explores the changes in cognitive state indicators over time under different indoor temperatures during task conditions. The results of attention ((SMR + Middle β)/θ), mental workload (β/(θ + α)), vigilance (θ/β), and mental fatigue ((θ + α)/(α + β)) over time at different indoor temperatures are shown in Fig. 9. The results show that the trends of attention and mental workload are similar, gradually increasing during the task. However, at 24℃, the changes in attention and mental workload are relatively unstable, with large variations, indicating that this temperature may interfere with attention and lead to unstable levels. The trends of vigilance and mental fatigue are similar, gradually decreasing during the task. The correlation and linear regression analysis between each cognitive state indicator and reaction time reveals that as the task progresses, participants’ reaction time decreases, indicating that participants may be more productive when performing longer tasks compared to shorter ones.
Discussion
This study aims to investigate the effect of indoor temperature on the productivity of PCWs. It evaluates workers’ productivity through cognitive states and thermal comfort. Neurobehavioral test results are used to assess productivity, while subjective questionnaires are employed to collect data on workers’ thermal comfort. Moreover, various cognitive state indicators are calculated from EEG data recorded. The study explores the changes in cognitive state indicators over time during task conditions, aiming to comprehensively evaluate the direct and indirect effects of indoor temperature on productivity.
Notably, the experimental design features a 10-minute thermal adaptation period, a duration informed by field observations of prefabricated factories where workers typically transition between temperature zones every 15–45 min during shifts. This transient exposure paradigm mirrors real-world work dynamics, as opposed to steady-state laboratory setups requiring 30–60 min for thermal equilibrium. The Latin square design was employed to randomize exposure order, minimizing carryover effects from sequential temperature changes.
Indoor temperature does not affect the accuracy of PCWs in answering neurobehavioral tests, but it significantly influences their reaction time, that is, H1a is rejected, and H1b is supported. This indicates that the designed indoor temperatures affect the productivity of PCWs. However, Tham and Willem37 indicated that the accuracy and reaction time of office workers in answering neurobehavioral tests are significantly affected by indoor temperature. Specifically, at neutral and higher indoor temperatures, accuracy decreases while reaction time increases. In contrast, PCWs exhibit consistently high accuracy across different indoor temperatures, with minimal differences in accuracy between temperatures. However, their reaction times increase with higher indoor temperatures. The results indicate that, within the realm of PCWs, elevated indoor temperatures precipitate a deceleration in task completion, notwithstanding that task accuracy remains unaltered. Evidently, PCWs deviate from office workers and comparable occupational aggregates, thereby emphasizing the inappropriateness of directly deducing conclusions about PCWs from studies pertaining to other populations. Through a meticulous analysis of the direct impact of indoor temperature on productivity, it is established that, in contrast to office workers who operate within relatively stable indoor environs and engage in tasks demanding a high degree of cognitive precision (where even minute temperature fluctuations can disrupt cognitive processes, noticeably reducing accuracy and elongating reaction time, as exemplified in tasks such as data analysis or document processing), PCWs, habituated to more mutable and less climate-regulated work settings, perform tasks that integrate physical labor and cognitive capabilities. Their work environment has nurtured within them a certain adaptability to temperature oscillations. Consequently, the influence of indoor temperature on PCWs’ productivity is less conspicuous. Specifically, in comparison with office workers and the like, the accuracy of PCWs is relatively immune to indoor temperature perturbations, thus leading to a relatively less significant reduction in productivity. This disparity underlines the essentiality of considering the unique characteristics of PCWs when exploring the correlation between indoor temperature and productivity.
From the comparison of thermal sensation votes between different indoor temperatures in Table 4, it is evident that workers perceive different indoor temperatures distinctly, indicating the rationality of the four indoor temperatures designed in the experiment. As the indoor temperature rises, thermal sensation votes increase, while comfort votes decrease between 24℃ and 30℃ but exhibit a slight rebound at 33℃. This finding supports H2a; however, H2b is rejected, as the decrease in comfort is not consistently observed across the entire temperature range. This suggests that workers feel the indoor environment getting warmer as the indoor temperature rises, leading to a gradual decrease in comfort. It is worth noting that the overall thermal sensation votes of the workers are lower than the predicted average vote proposed by Fanger38while comfort votes exhibit a slight rebound at 33℃. This indicates that PCWs are more tolerant and adaptable to warmer environments compared to office workers, students, and most other populations. This also indicates that PCWs are different from office workers and similar populations, which is related to the working environment in prefabricated component factories36,44. From the results of the subjective questionnaires on thermal sensation and comfort answered by the workers, it can be inferred that indoor temperature affects the thermal comfort of workers. By analyzing the results of thermal sensation votes and comfort votes, it is determined that the neutral temperature for workers is between 24℃ and 27℃, where the comfort level is neutral, indicating a higher level of comfort compared to the other indoor temperatures.
To explore the impact of indoor temperature on workers’ cognitive states, this study analyzed attention, mental workload, vigilance, and mental fatigue. Given the different equations for calculating cognitive states, this study analyzed the commonly used calculation equations in existing research. According to the research results, indoor temperature significantly affects the attention, mental workload, vigilance, and mental fatigue of workers. Workers’ attention decreases with increasing indoor temperature, and their attention is significantly lower under high-temperature conditions than under neutral temperature conditions, that is, H3a is supported. Choi et al.53 also found in their study on the effect of indoor temperature on attention that attention levels are lower under high temperature conditions than under neutral temperature conditions.
Workers’ mental workload decreases with increasing indoor temperature, with lower mental workload under high-temperature conditions compared to neutral temperature conditions, that is, H3b is rejected. This indicates that workers exert less effort to complete tasks under high-temperature conditions than under neutral temperature conditions. However, some studies on office workers and similar populations suggest that mental workload is higher under high-temperature conditions than under neutral temperature conditions54,56,70. Unlike office workers and similar populations, workers are accustomed to long-term high-temperature working environments, indicating the influence of heat adaptation mechanisms. Workers require less effort to complete tasks under high-temperature conditions, resulting in lower mental workload than under neutral temperature conditions71,72,73. On the other hand, EEG studies conducted by Yao et al.74 indicated that the frequency band energy associated with sleepiness is highest at neutral temperature, which is unfavorable for task completion. The need to complete tasks leads to an increase in workers’ mental workload. Additionally, a study by Ye et al.60 conducted on employees in factories showed that more effort is required to complete tasks in neutral temperature environments, resulting in higher mental workload.
Workers’ vigilance increases with increasing indoor temperature, that is, H3c is rejected, because workers perceive the increase in indoor temperature and deviation from the comfortable temperature, making them more alert to the environment37. Workers need to maintain a high level of vigilance while working to avoid neglecting risks in the work environment. Adjusting the indoor temperature can help maintain an appropriate level of vigilance among workers. Mental fatigue increases with increasing indoor temperature, that is, H3d is supported, indicating that workers are more prone to fatigue under high temperature conditions. To avoid excessive mental fatigue, workers should work in lower indoor temperatures.
Based on the results of neurobehavioral tests, the productivity of PCWs is directly affected by indoor temperature. Correlation and linear regression analyses indicate that productivity is not only correlated with thermal comfort and cognitive states but also exhibits a significant linear relationship with them. Moreover, indoor temperature significantly affects workers’ cognitive states and thermal comfort. Thus, indoor temperature indirectly affects productivity by influencing workers’ cognitive states and thermal comfort, that is, H4 and H5 are supported. To enhance productivity, it is crucial to establish an appropriate indoor temperature and maintain good cognitive states and thermal comfort among workers.
The relationship between thermal comfort and productivity shows a positive correlation between workers’ thermal sensation and reaction time. To enhance workers’ productivity, their thermal sensation should be reduced. Therefore, the indoor temperature should be set to a neutral level, achieving neutral comfort. Regarding the relationship between cognitive states and productivity, attention and mental workload are negatively correlated with reaction time, while vigilance, mental fatigue, and reaction time are positively correlated. To improve productivity, attention and mental workload should be increased, while vigilance and mental fatigue should be decreased. However, excessively high mental workload or low vigilance can lead to workers overlooking risks in their tasks, which can affect normal work operations24,26.
In the relationship between different cognitive states, there are correlations among various cognitive state indicators, which influence each other and subsequently impact workers’ productivity75,76. Analysis of the correlation between cognitive states indicates that attention is related to mental workload. When mental workload is reduced to avoid work risks, attention also decreases, leading to a decrease in productivity. The correlation between mental workload and vigilance suggests that an increase in mental workload reduces workers’ environmental alertness, leading to overlooking risks in their tasks21. Mental fatigue is related to attention; an increase in fatigue leads to a decrease in attention, which is detrimental to work and reduces productivity77. Consideration should be given to setting indoor temperature to not only enhance workers’ productivity but also maintain their cognitive states. Therefore, it is necessary to analyze the correlation between the indicators of cognitive state and the indicators of productivity in order to define the indoor temperature suitable for the work of workers.
Workers need to maintain a high level of attention and vigilance during the work process while avoiding excessive mental workload and mental fatigue. The results of cognitive state indicators under task conditions show that when the indoor temperature is 24℃, workers’ attention is unstable, indicating a lack of concentration, making it unsuitable for production work. However, at indoor temperatures of 27℃ and 30℃, attention is relatively focused, but it significantly declines at 33℃, indicating that a temperature of 33℃ is also not conducive to production work. The trend of mental workload at an indoor temperature of 24℃ is also unstable, indicating the instability of workers’ task engagement. However, at 33℃, the mental workload is lower, resulting in lower enthusiasm among workers. Vigilance and mental fatigue under different indoor temperature conditions both show a decreasing trend as tasks progress. Workers exhibit the lowest vigilance at an indoor temperature of 24℃, while the highest mental fatigue occurs at 33℃. Therefore, indoor temperatures of both 24℃ and 33℃ are unfavorable for normal production work. Additionally, from the correlation between reaction time and various cognitive state indicators, it is evident that reaction time is negatively correlated with attention and mental workload, and positively correlated with vigilance and mental fatigue. As tasks progress, attention and mental workload gradually increase, while vigilance and mental fatigue gradually decrease. When workers engage in longer tasks, reaction time gradually decreases, indicating that workers’ productivity increases with the extension of task duration.
Based on the analysis in the preceding text, work related to production should be conducted at 27℃ and 30℃. At these two indoor temperatures, the environment is slightly warm and neutral in comfort. Workers’ attention is relatively higher compared to 33℃, and more stable compared to 24℃. Their vigilance is higher, while their mental fatigue is lower than at 33℃. Therefore, at indoor temperatures of 27℃ and 30℃, workers’ cognitive states are good, meeting their requirements for thermal comfort. They can pay attention to and be vigilant about risks in the work environment, which is more conducive to safe production work. Compared to environments with indoor temperatures of 24℃ and 33℃, environments at 27℃ and 30℃ can better enhance workers’ productivity. Meanwhile, the adoption of quadratic regression analysis is further justified by the practical implications of our findings. The observed non-linear relationship highlights the existence of an optimal temperature range that balances workers’ cognitive states and productivity. This approach provides a more precise understanding of the temperature thresholds that should be maintained in prefabricated construction environments to optimize worker performance.
Conclusions
This study conducted neurobehavioral tests and EEG measurements on PCWs in environments with indoor temperatures of 24℃, 27℃, 30℃, and 33℃, and collected subjective questionnaires from workers at different indoor temperatures. The aim was to investigate the effect of indoor temperature on workers’ productivity and to comprehensively evaluate workers’ productivity through cognitive states and thermal comfort. The following results were obtained:
-
1.
Indoor temperature directly affects workers’ productivity. As it rises, reaction time elongates, thermal sensation heightens, attention and mental workload decline, while vigilance and mental fatigue augment, hampering productivity. Also, productivity correlates with cognitive states and thermal comfort, meaning temperature indirectly impacts productivity through these factors. In the tested range, unfavorable cognitive and thermal conditions lead to longer reaction times and lower productivity. To tackle this, enterprises should optimize temperature settings using intelligent controls for real-time adjustment and plan regular breaks. Comfortable rest areas can help workers relieve fatigue, striking a balance between thermal comfort and cognitive performance to stabilize productivity.
-
2.
Cognitive state indicators are interrelated and influence productivity. Specifically, a reduction in mental workload decreases attention, leading to lower productivity. Additionally, an increase in mental fatigue reduces attention, further impairing productivity. Thus, enterprises must consider maintaining workers’ cognitive functions when adjusting temperature. It’s advisable to establish a cognitive state monitoring system, assess regularly, and tweak temperature based on results. Incorporating breaks during task decomposition can prevent excessive mental fatigue and maintain cognitive health for sustained productivity.
-
3.
During tasks, attention and mental workload typically increase, while vigilance and mental fatigue decrease. Longer tasks can boost productivity if work rhythm and duration are managed well. Enterprises should focus on structuring tasks in a way that allows for optimal task duration, supplemented by regular breaks to manage mental workload and prevent mental fatigue. This approach ensures sustained attention and improved productivity without overburdening workers.
-
4.
Considering productivity, thermal comfort, and cognitive states, 33℃ brings low attention and high mental fatigue, 24℃ leads to unstable attention and high mental workload, while 27℃ and 30℃ are optimal, with workers performing well in tests. Enterprises should strive to maintain the indoor temperature between 27℃ and 30℃ using advanced technologies like intelligent building systems, regular equipment maintenance, and enhanced insulation. This range stabilizes cognitive states, reduces mental fatigue, and boosts productivity.
This study was conducted in the summer, so only indoor temperatures of 24℃ and above were considered for their impact on the productivity of PCWs. However, the variation in indoor temperatures during winter is also of significant research value in understanding its impact on workers’ productivity. Another limitation of this study is that the experimental conditions were somewhat restricted, and the layout of the experimental room may not fully replicate the actual work environment. Future studies will aim to set up more realistic work environments to better simulate the conditions experienced by PCWs in their daily tasks. In conclusion, this study was constrained by specific seasons and experimental conditions. Despite the interim value of its findings, subsequent research must overcome these limitations. This will deepen the scientific understanding of the indoor temperature-productivity link for PCWs, laying a solid foundation to optimize productivity and boost workers’ performance.
Data availability
The datasets generated in the current study are available from the corresponding author upon request.
References
Cao, R. Y. Research on the influence of team climate on knowledge transfer in construction project teams. Beijing Jiaotong Univ. (2020).
Liu, M. Research of construction workers safety knowledge sharing mechanism based on SEM. Chongqing Univ. (2018).
Wang, J. et al. Research on the training and management of industrializing workers in prefabricated building with machine vision and human behaviour modelling based on industry 4.0 era. Comput. Intell. Neurosci. 2022(1), (2022).
Wu, Z. et al. An analysis on promoting prefabrication implementation in construction industry towards sustainability. Int. J. Environ. Res. Public Health. 21, 11493–11493 (2021).
Seungjun, A. et al. Comparison of worker safety risks between onsite and offsite construction methods: a site management perspective. Journal Constr. Eng. Management 146, (2020).
Jaillon, L. & Poon, S. C. Sustainable construction aspects of using prefabrication in dense urban environment: A Hong Kong case study. Constr. Manage. Econ.26, 953–966 (2008).
Mao, C., Shen, Q., Pan, W. & Ye, K. Major barriers to off-site construction: The developer’s perspective in China. J. Manag. Eng.31, 04014043–04014043 (2013).
Li, Z., Shen, G. Q. & Xue, X. Critical review of the research on the management of prefabricated construction. Habitat Int. 43, 240–249 (2014).
Jaillon, L. & Poon, C. The evolution of prefabricated residential building systems in Hong Kong: A review of the public and the private sector. Autom. Constr.18, 239–248 (2009).
Goodier, C. & Gibb, A. Future opportunities for offsite in the UK. Constr. Manage. Econ. 25, 585–595 (2007).
Blismas, N. & Wakefield, R. Drivers, constraints and the future of offsite manufacture in Australia. Constr. Innov. 9, 72–83 (2009).
Gibb, A. G. F. Standardization and pre-assembly-distinguishing myth from reality using case study research. Constr. Manage. Econ. 19, 307–315 (2001).
Sun, J. D. & Wang, X. C. Analysis of the influencing factors of vocational-skills training of construction workers in China. Constr. Econ.38, 26–31 (2017).
Bosché, F., Abdel-Wahab, M. & Carozza, L. Towards a mixed reality system for construction trade training. J. Comput. Civil Eng.30, 04015016–04015016 (2015).
Zhang, J., Han, Y., Ma, G. & Ni, B. Training system for risk perception based on BIM for construction workers. J. Civ. Eng. Manag.34, 88–93 (2017).
Hussain, R., Pedro, A., Lee, D. Y., Pham, H. C. & Park, C. S. Impact of safety training and interventions on training-transfer: Targeting migrant construction workers. Int. J. Occup. Saf. Ergon.26, 272–284 (2020).
Zhou, Y., Yan, X., Wu, Y. & Li, T. Study on the training willingness of construction workers in the context of VR safety education and training. J. Wuhan Univ. Technol. (Information Manage. Engineering)43, 210–217 (2021).
Cao, X., Zheng, D., Qin, P. & Li, X. Impact of construction industrial noise on workers’ learning efficiency: A study based on electroencephalogram analysis. J. Tsinghua Univ. (Science Technology)64, 189–197 (2024).
Xiong, L. et al. Impact of indoor physical environment on learning efficiency in different types of tasks: A 3 × 4 × 3 full factorial design analysis. Int. J. Environ. Res. Public Health15, 1256 (2018).
Lan, L. Mechanism and Evaluation of the Effects of Indoor Environmental Quality on Human Productivity. Shanghai Jiaotong Univ. (2010).
Cheng, B. et al. Measuring and computing cognitive statuses of construction workers based on electroencephalogram: a critical review. IEEE Trans. Comput. Social Syst. 9, 1644–1659 (2022).
Silverman, J. The problem of attention in research and theory in schizophrenia. Psychol. Rev.71, 352–379 (1964).
Sweller, J. Cognitive load during problem solving: Effects on learning. Cogn. Sci.12, 257–285 (1988).
Wang, D., Li, H. & Chen, J. Detecting and measuring construction workers’ vigilance through hybrid kinematic-EEG signals. Autom. Constr. 100, 11–23 (2019).
Linden, D. V. D., Frese, M. & Sonnentag, S. The impact of mental fatigue on exploration in a complex computer task: rigidity and loss of systematic strategies. Hum. Factors: J. Hum. Factors Ergon. Soc. 45, 483 (2003).
Chen, J., Song, X. & Lin, Z. Revealing the invisible gorilla in construction: Estimating construction safety through mental workload assessment. Autom. Constr.63, 173–183 (2016).
Swaen, G. M. H., Van, A. L. G. P. M., Bültmann, U. & Kant, I. J. Fatigue as a risk factor for being injured in an occupational accident: results from the Maastricht cohort study. Occup. Environ. Med. 60, i88–i92 (2003).
Ke, J. et al. Monitoring distraction of construction workers caused by noise using a wearable Electroencephalography (EEG) device. Autom. Constr. 125, (2021).
Kim, Y. H., Shin, Y. C. & Cho, H. Y. Influencing factors on thermal comfort and biosignals of occupant-a review. J. Mech. Sci. Technol.35, 4201–4224 (2021).
Bruce-Konuah, A. et al. Physical environmental and contextual drivers of occupants’ manual space heating override behaviour in UK residential buildings. Energy Build. 183, (2019).
Santin, O. G., Itard, L. & Visscher, H. The effect of occupancy and Building characteristics on energy use for space and water heating in Dutch residential stock. Energy Build. 41, 1223–1232 (2009).
Haas, R., Auer, H. & Biermayr, P. The impact of consumer behavior on residential energy demand for space heating. Energy Build. 27, 195–205 (1998).
Zhang, F., Dear, R. D. & Hancock, P. Effects of moderate thermal environments on cognitive performance: A multidisciplinary review. Appl. Energy236, 760–777 (2019).
Akimoto, T., Tanabe, S., Yanai, T. & Sasaki, M. Thermal comfort and productivity - Evaluation of workplace environment in a task conditioned office. Build. Environ.45, 45–50 (2010).
Agrawal, A. & Halder, S. Identifying factors affecting construction labour productivity in India and measures to improve productivity. Asian J. Civil Engineering: Building Hous. 21, 569–579 (2020).
Lan, L., Lian, Z. W. & Pan, L. The effects of air temperature on office workers’ well-being, workload and productivity-evaluated with subjective ratings. Appl. Ergon.42, 29–36 (2010).
Tham, K. W. & Willem, H. C. Room air temperature affects occupants’ physiology, perceptions and mental alertness. Build. Environ.45, 40–44 (2009).
Fanger, P. O. Thermal comfort: analysis and applications in environmental engineering. Applied Ergonomics (1970).
Clements-Croome, D. J. & Kaluarachchi, Y. Assessment and measurement of productivity 1–38 (CRC, 1999).
Cui, W., Cao, G., Park, J. H., Ouyang, Q. & Zhu, Y. Influence of indoor air temperature on human thermal comfort, motivation and performance. Build. Environ.68, 114–122 (2013).
Lan, L., Lian, Z., Pan, L. & Ye, Q. Neurobehavioral approach for evaluation of office workers’ productivity: The effects of room temperature. Build. Environ.44, 1578–1588 (2008).
Li, G. et al. The impact of mental fatigue on brain activity: a comparative study both in resting state and task state using EEG. BMC Neurosci. 21, 20 (2020).
Shin, Y., Ham, J. & Cho, H. Experimental study of thermal comfort based on driver physiological signals in cooling mode under summer conditions. Appl. Sci. 11, 845–845 (2021).
Pan, L. L., Zheng, H. Y. & Li, T. X. Effects of the indoor environment on EEG and thermal comfort assessment in males. Building Environment 228, (2023).
Zhu, H. et al. Experimental study on the human thermal comfort based on the heart rate variability (HRV) analysis under different environments. Sci. Total Environ. 616–617, 1124–1133 (2018).
Wang, D. et al. Experimental investigation of the effect of indoor air temperature on students’ learning performance under the summer conditions in China. Build. Environ.140, 140–152 (2018).
Gwak, J., Shino, M., Ueda, K. & Kamata, M. An investigation of the effects of changes in the indoor ambient temperature on arousal level, thermal comfort, and physiological indices. Appl. Sci. 9, 899 (2019).
Zhang, F. et al. The effects of higher temperature setpoints during summer on office workers’ cognitive load and thermal comfort. Build. Environ. 123, 176–188 (2017).
Nayak, T. et al. Prediction of human performance using electroencephalography under different indoor room temperatures. Brain Sci.8, 74 (2018).
Choi, Y., Kim, M. & Chun, C. Measurement of occupants’ stress based on electroencephalograms (EEG) in twelve combined environments. Build. Environ.88, 65–72 (2015).
Shan, X., Yang, E. H., Zhou, J. & Chang, V. W. C. Human-building interaction under various indoor temperatures through neural-signal electroencephalogram (EEG) methods. Build. Environ.129, 46–53 (2018).
Sawangjai, P., Hompoonsup, S., Leelaarporn, P., Kongwudhikunakorn, S. & Wilaiprasitporn, T. Consumer grade EEG measuring sensors as research tools: A review. IEEE Sens. J.20, 3996–4024 (2020).
Choi, Y., Kim, M. & Chun, C. Effect of temperature on attention ability based on electroencephalogram measurements. Build. Environ.147, 299–304 (2019).
Kim, H. et al. A psychophysiological effect of indoor thermal condition on college students’ learning performance through EEG measurement. Build. Environ.184, (2020).
Zhang, X. et al. Feature and relationship between electroencephalogram power and salivary S-IgE concentration in healthy adults in different indoor temperatures. Build. Environ.https://doi.org/10.1016/j.buildenv.2021.108688 (2022).
Wang, X., Li, D., Menassa, C. C. & Kamat, V. R. Investigating the effect of indoor thermal environment on occupants’ mental workload and task performance using electroencephalogram. Build. Environ.158, 120–132 (2019).
Lan, L., Wargocki, P. & Lian, Z. W. Quantitative measurement of productivity loss due to thermal discomfort. Energy Build.43, 1057–1062 (2010).
Dong, X. et al. Influence of ambient temperature on personnel thermal comfort and working efficiency under isolation condition of underground engineering. Energy Buildings 274, (2022).
Lan, L. & Lian, Z. W. Use of neurobehavioral tests to evaluate the effects of indoor environment quality on productivity. Build. Environ.44, 2208–2217 (2009).
Ye, X., Lian, Z., Li, Z. & Liu, Y. Study on relationship between indoor thermal environment, thermal comfort and productivity. Chin. J. Ergon. 12, 3 (2006).
Schellen, L., Loomans, M. G. L. C., Wit, M. H. D., Olesen, B. W. & Lichtenbel, W. D. V. M. The influence of local effects on thermal sensation under non-uniform environmental conditions–Gender differences in thermophysiology, thermal comfort and productivity during convective and radiant cooling. Physiol. Behav.107, 252–261 (2012).
Wyon, D. P. The effects of indoor air quality on performance and productivity. Indoor Air14, 92–101 (2004).
Lin, X. et al. The effects of temperature on work performance in the typical office environment: A meta-analysis of the current evidence. Build. Environ.269, 112488–112488 (2025).
Hancock, P. A., Ross, J. M. & Szalma, J. L. A meta-analysis of performance response under thermal stressors. Hum. Factors49, 851–877 (2007).
Brysbaert, M. How many participants do we have to include in properly powered experiments ? A tutorial of power analysis with reference tables. J. Cognition. 2, 16 (2019).
ASHRAE Standard 55-2020, Thermal Environmental Conditions for Human Occupancy (ANSI Approved). https://ashrae.iwrapper.com/ASHRAE_PREVIEW_ONLY_STANDARDS/STD_55_2020. Accessed 22, June.
Guusje, L. D. V. et al. Measuring attention in very old adults using the test of everyday attention. Aging Neuropsychol. Cognition. 24, 543–554 (2017).
ISO 14001:2015. Environmental management systems - Requirements with guidance for use. https://www.iso.org/obp/ui/en/#iso:std:iso:14001:ed-3:v1:en. Accessed 22, June.
Sterman, M. B. Sensorimotor EEG operant conditioning: experimental and clinical effects. Pavlovian J. Biol. Sci. 12, 63–92 (1977).
Tsukasa, K. et al. Warmer environments increase implicit mental workload even if learning efficiency is enhanced. Front. Psychol.11, (2020).
Brager, G. S. & Dear, R. J. D. Thermal adaptation in the built environment: A literature review. Energy Build.27, 83–96 (1998).
Nicol, J. F. & Humphreys, M. A. Adaptive thermal comfort and sustainable thermal standards for buildings. Energy Build. (2002).
Wenjie, J. et al. Study on the influence of climatic thermal exposure environment changed from cold to hot on human thermal preference. Build Environ. 207, (2022).
Yao, Y. et al. Heart rate variation and electroencephalograph - The potential physiological factors for thermal comfort study. Indoor Air19, 93–101 (2009).
Tanabe, S. I., Nishihara, N. & Haneda, M. Indoor temperature, productivity, and fatigue in office tasks. HVAC &R Res. (2011).
Tanabe, S. & Nishihara, N. Productivity and fatigue. Indoor Air. 14, 126–133 (2004).
Faber, L. G., Maurits, N. M. & Lorist, M. M. Mental fatigue affects visual selective attention. PLoS One 7, e48073 (2012).
Acknowledgements
The authors would also like to thank all participants for their assistance in data collection.
Funding
This study was financially supported by National Natural Science Foundation of China (Grant No. 72161007), Technology Research and Development Topic (Grant No. PT-2022-08), Hainan Provincial Natural Science Foundation of China (Grant No. 625RC794), Education Department of Hainan Province (Grant No. Hnky2025ZD-17), Research Project of Hainan Vocational University of Science and Technology (Grant No. HKKY2024-TD-09), and Haikou Municipal Key Science and Technology Project (Grant No. 2024-044).
Author information
Authors and Affiliations
Contributions
Yian Lu and Xinying Cao contributed to the conception and design of the study. Yian Lu and Hao Bai performed the statistical analysis and wrote the first draft of the manuscript. Hao Bai and Xinying Cao provided financial support for the manuscript. All authors contributed to manuscript revision, and read and approved the submitted version.
Corresponding author
Ethics declarations
Competing interests
The authors declare no competing interests.
Ethics approval
The study obtained approval from the Ethics Committee of Hainan University, and all procedures were performed in accordance with the relevant guidelines and regulations.
Additional information
Publisher’s note
Springer Nature remains neutral with regard to jurisdictional claims in published maps and institutional affiliations.
Rights and permissions
Open Access This article is licensed under a Creative Commons Attribution-NonCommercial-NoDerivatives 4.0 International License, which permits any non-commercial use, sharing, distribution and reproduction in any medium or format, as long as you give appropriate credit to the original author(s) and the source, provide a link to the Creative Commons licence, and indicate if you modified the licensed material. You do not have permission under this licence to share adapted material derived from this article or parts of it. The images or other third party material in this article are included in the article’s Creative Commons licence, unless indicated otherwise in a credit line to the material. If material is not included in the article’s Creative Commons licence and your intended use is not permitted by statutory regulation or exceeds the permitted use, you will need to obtain permission directly from the copyright holder. To view a copy of this licence, visit http://creativecommons.org/licenses/by-nc-nd/4.0/.
About this article
Cite this article
Bai, H., Lu, Y., Cao, X. et al. The practical impact of indoor temperature on the productivity of prefabricated construction workers using electroencephalogram data. Sci Rep 15, 28670 (2025). https://doi.org/10.1038/s41598-025-12024-4
Received:
Accepted:
Published:
Version of record:
DOI: https://doi.org/10.1038/s41598-025-12024-4











