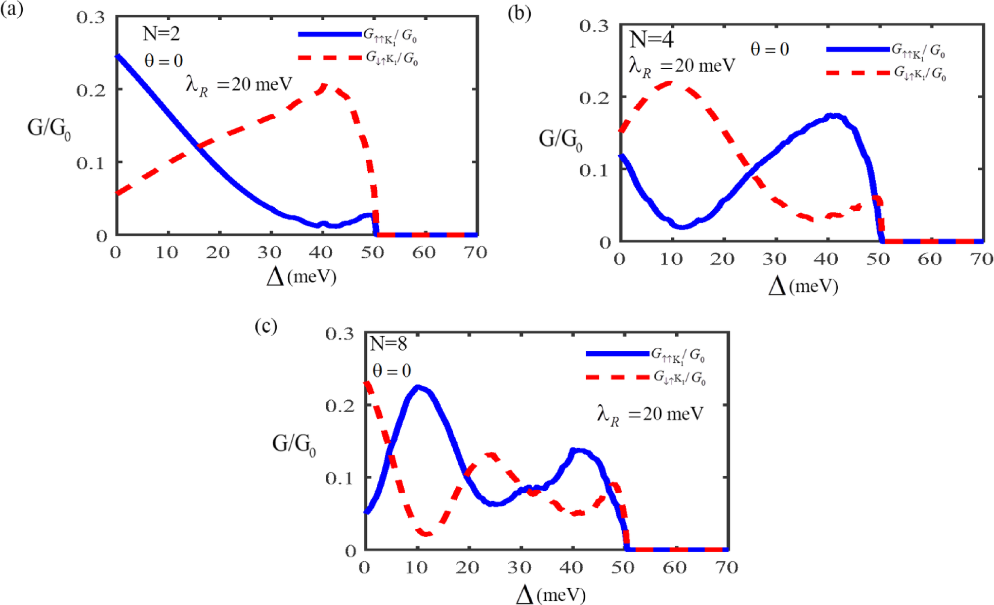
Fig. 3
From: Spin-dependent conductance in gapped 8-Pmmn borophene-superlattice

The conductance with (\(G_{{ \uparrow \uparrow {K_1}}}^{{}}/{G_0}\)) and without (\(G_{{ \downarrow \uparrow {K_1}}}^{{}}/{G_0}\)) spin flip versus the energy gap for various the number of superlattice electrostatic barrier with E = 50 meV, \({U_0}\)= 200 meV, b = 50 nm and w = 10 nm. (a) for N = 2, (b) for N = 4 and (c) for N = 8.