Abstract
The energy gap effect on the spin conductance and polarization of spin and valley in the 8-Pmmn borophene superlattice under Rashba interaction is studied. We show that the spin conductance in a superlattice based on the 8-Pmmn borophene can be easily tuned by the strength of Rashba interaction and the superlattice direction. Also, the energy gap is an important quantity to adjust the conductance with and without spin rotation. By adjusting the energy gap, electrons with a certain spin can be filtered. In addition, when the energy gap is greater than a threshold value, the conductance becomes zero for both electrons with and without spin flip. By adjusting the energy gap, superlattice direction, and Rashba strength the value and sign of polarization of spin and valley can be easily controlled.
Similar content being viewed by others
Introduction
In recent years, two-dimensional (2D) structures such as graphene1hexagonal boron nitride (H-BN)2transition metal dichalcogenides3 phosphorene4 and silicene5 are a promising potential for the electronic, spintronic and optoelectronic applications due to their unique properties. Other two-dimensional materials that have attracted a lot of attention in recent years, we can mention the group III 2D materials such as aluminene and borophene. In this group borophene has received more attention due to its interesting properties. Among the different phases of borophene, including \({\chi _3}\),\({\beta _{12}}\), honeycomb, 2-Pmmn, 6-Pmmn and 8-Pmmn, the 8-Pmmn structures phase are the most stable of all of the possible phases6,7,8,9,10,11. Some interesting properties, for example optical and mechanical properties12,13 Weiss oscillation14 oblique Klein tunneling15 anisotropic Andreev reflection16 anomalous valley filter17 and unusual phase transition18 have been predicted for 8-Pmmn borophene. The reason for these interesting properties can be attributed to the peculiar electronic band structure of 8-Pmmn phase (for example, the 8-Pmmn borophene has a tilted and anisotropic Dirac cone at the close of K1 and K2 Dirac points, unlike graphene, transition metal dichalcogenides, phosphorene and silicene). In addition, high mobility is predicted for 8-Pmmn borophene19this property makes the 8-Pmmn structure suitable for optoelectronic and electronic applications. Among other features of 8-Pmmn phase, it can be mentioned that it is easy to open and adjust the energy gap, which makes this structure ideal for electronic and spintronic applications20,21. Moreover, in devices based on 2D materials, the spintronic properties can be easily tuned by the Rashba spin-orbit coupling (RSOC), which can be tuned by an external electric field22,23 so two-dimensional materials are ideal candidates for electron spin manipulation24. In recent years, the spintronic and electronic transport properties of 8-Pmmn borophene-based devices are widely surveyed16,25,26,27,28,29,30,31,32,33,34,35,36,37,38,39,40,41. The Andreev reflection in an 8-Pmmn borophene superconductor junction has been investigated by Zhou16. The author showed that, due to unique 8-Pmmn borophene band structure, the direction of the velocity of the hole and electron does not completely depend on the direction of the corresponding wave vectors. Also, unlike in a graphene superconductor junction in an 8-Pmmn borophene superconductor junction, there are three unusual features for Andreev reflection. Valley-dependent transport properties through tunnel junctions based on 8-Pmmn borophene has been studied by Zhang et al.34 It is found that, the valley Hall current in borophene junctions dependent on the Dirac-cone tilting. Goos–Hänchen shift effect in an 8-Pmmn borophene n–p–n junction has been surveyed by Xiang et al. in Ref. 39. The authors shown that, valley-polarized and Goos–Hänchen shift effect of transmitted beams depend on the parameters of junction, incident angle and incident beam energy. In addition, after Tsu and Esaki42 proposed semiconductor superlattices to control quantum transport, these structures, especially superlattices based on 2D materials, have attracted the attention of researchers both theoretically and experimentally in recent years due to their interesting electronic and optical properties43,44,45,46,47,48,49,50,51,52,53,54,55,56,57,58. The electron interaction effect on the gap opening in the graphene superlattice was studied by Song et al.45. The authors demonstrated that, the energy gap value at the Dirac point can be controlled by the period of the superlattice. Also, if graphene is placed on the H-BN substrate, the amount of energy gap increases. In 2020, Li et al.48 experimentally fabricated a moiré graphene superlattice. They used the plasma method for hydrogenation on graphene sheet to create moiré patterns. Guzmán et al.53 studied the effect of the disorder on the transport properties in phosphorene-based superlattice and found that the disorder significantly reduces the transmission and conductance of the superlattice. Sharma et al.56 experimentally observed the conduction mini-bands in a MoS2 moiré superlattice via transport spectroscopy. Therefore, it would be worthy to study the effect of the energy gap on the spin-dependent transport in a superlattice based on the 8-Pmmn borophene with the Rashba interaction. In this paper we demonstrate that, the energy gap is an important quantity to adjust polarization of spin/valley and conductance without and with flip in the borophene superlattice. Besides, in a gapped 8-Pmmn borophene superlattice electrons with a specific spin can be easily filtered. The layout of the rest of the article is as follows: In Sect. 2, the model and theoretical approach are described in detail. The results of numerical calculations and the discussion of the obtained results are presented in Sect. 3. Finally a summary and conclusion of this study is given in the Sect. 4.
Model and methods
In this work, we consider a superlattice based on the gapped 8-Pmmn borophene with the Rashba interaction. The proposed structure is shown in Fig. 1. As it is clear from the figure, the structure under study has N potential barriers, in which there is Rashba interaction. Each barrier is located between two potential wells, in which there is no Rashba interaction. The width of the well and potential barrier are considered equal to w and b, respectively. To experimentally construct such a system, a series of metal gates placed on the 8-Pmmn borophene layer can be used.
(a) Schematic illustration of the gapped 8-Pmmn borophene superlattice and (b) superlattice in the presence of RSOC with N potential barriers. The \(2\Delta\), \({U_0}\), w and b represent the actual energy gap, height of potential barrier, width of the well and potential barrier width, respectively.
In the low energy regime, the Hamiltonian of electrons and holes in the gapped borophene superlattice under RSOC at the zero-temperature can be expressed as follows:
here, \(\eta =+( - )\) represents the index of valley (+ for valley K1 and \(-\) for valley K2), the anisotropic velocities in the x and y-directions are denoted by \({v_x}=0.86{v_F}\) and \({v_y}=0.69{v_F}\) respectively, the tilted velocity is shown by \({v_t}=0.32{v_F}\), where \({v_F}={10^6}m/s\) is the Fermi velocity37. The Pauli matrices for spin and sublattice spaces are represented by \(s=({s_x},{s_y})\) and \(\hat {\sigma }=({\sigma _x},{\sigma _y})\), respectively. \(2\Delta\), \({U_0}\) and \({\lambda _R}\) represent the actual energy gap, height of potential barrier and strength of the RSOC. According to Eq. (1) the energy dispersion of the \(\hat {H}\) can be determined by:
Here, \(\alpha = - (+)\) and \(\beta = - 1(+1)\) show the valence (conduction) band and spin down (up) index. By using the transformation relationship between \(x - y\) and \(x^{\prime} - y^{\prime}\) systems, it is easy to obtain the wave vector components relationship in these systems (Appendix 1). Assuming that the electrons incident on a gapped borophene superlattice under external Rashba interaction with the incident energy E, spin s and angle \(\varphi\). In the coordinate system \(x^{\prime} - y^{\prime}\), the spin and valley dependent wave functions in the normal (\(\psi _{{Ns\eta }}^{ \pm }\)) and electrostatic barrier areas (\(\psi _{{s\eta }}^{ \pm }\)) are given as follows:
In order to obtain the probability of transmission \(T_{{s{\prime}}s\eta}\), depending on the spin and valley indexes (assuming that the incident electrons have spin s and the exiting electrons from the superlattice have spin \(s^{\prime}\)), we use the transfer matrix method in the investigated structure. By using the Landauer-Büttiker equation59, dependence of conductance on the spin/valley in the superlattice based on the gapped 8-Pmmn borophene under RSOC can be easily obtained:
Where, \({G_0}={e^2}{k_\eta }_{F}{L_y}/2\pi h,\) Ly is the gapped borophene superlattice total length in the \(y^{\prime}\)-axis. After obtaining the spin/valley dependent conductance the polarization of spin and valley (PS and PV), are obtained from the following relations60:
Results and discussion
According to relations we calculated in the Sect. 2, in this section, we will study the spin conductance and spin/valley polarization in a superlattice based on the gapped 8-Pmmn borophene under with RSOC, as shown in Fig. 1. In all the article, the incident electron energy E, the height of the electrostatic barrier \({U_0}\), the width of the barrier b, and the width of the well w are considered 50 meV, 200 meV, 50 nm and 10 nm respectively. First, we investigate the spin conductance in terms of the RSOC strength in a gapped borophene superlattice, for different values of the energy gap, various direction of superlattice and different number of superlattice barrier. As it is clear from Figs. 2(a) and 2(b) (for \(\theta =0\)), the conductance for the case where the spin of the incident electron to the superlattice and the exit from the superlattice is up (without spin rotation) as well as for the case where the spin of the incident electron is up and the exit is down (with spin rotation), displays an oscillating pattern, when the Rashba strength keeps growing. Because, when the wave vector inside the barriers is real, the spin-dependent transmission probability has an oscillating behavior with respect to the wave vector inside the barriers, and the wave vector in these regions is dependent on the Rashba strength. Therefore, according to Eq. (5), the conductance with and without spin rotation will be an oscillatory function of the Rashba strength, due to the propagating modes. Also, by changing the size of the band gap, the conductance can be changed. In addition, with increasing the number of barriers the oscillatory behavior is prominent and the oscillation period is reduced. The reason for this phenomenon is that as the number of barriers increases, the number of interfaces between quantum barriers and quantum wells in the superlattice increases, so the constructive and destructive interference between the transmitted and reflected waves increases. In other words, in the large number of the RSOC strength values, the wave functions interfere constructively or destructively.
The spin-dependent conductance with (\(G_{{ \uparrow \uparrow {K_1}}}^{{}}/{G_0}\)) and without (\(G_{{ \downarrow \uparrow {K_1}}}^{{}}/{G_0}\)) spin flip in terms of the strength of the RSOC in a gapped borophene superlattice. [(a) and (b)] for different values of the energy gap and [(c) and (d)] for various direction of superlattice, with E = 50 meV, \({U_0}\)= 200 meV, b = 50 nm and w = 10 nm. (I) for N = 2, (II) for N = 4 and (III) for N = 8.
The conductance with spin rotation (\(G_{{ \uparrow \uparrow {K_1}}}^{{}}/{G_0}\)) and without it (\(G_{{ \downarrow \uparrow {K_1}}}^{{}}/{G_0}\)) is plotted in Figs. 2(c) and 2(d) as a function of RSOC strength for various superlattice directions and different number of superlattice electrostatic barrier with\(\Delta =\)10 meV. The results in the Figs. 2(c) and 2(d) show that, the conductance with spin rotation and without it shows a sensitive dependence on the superlattice direction. By increasing the number of barriers, the oscillatory behavior becomes more pronounced, due to the interference of reflected waves and transmitted waves. Also, as the direction of the superlattice increases, in addition to the maximum conductance value increases, the maximum conductance occurs for higher value of RSOC strength. When the conductance without spin rotation has the highest value, the conductance with spin rotation has its lowest amount and vice versa. Therefore, according to Fig. 2, it is concluded that by using a borophene superlattice under Rashba interaction and energy gap, both spin filtering and spin rotation could be easily performed.
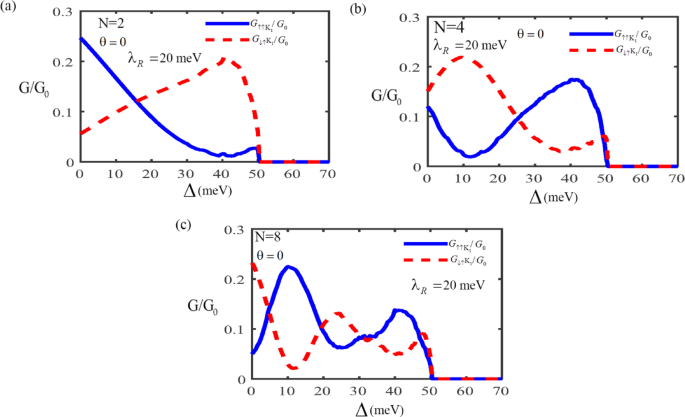
In order to further investigate the effect of the energy gap on the spin-dependent conductance, the conductance with rotation and without it as a function of the energy gap for various the number of superlattice electrostatic barrier is shown in Fig. 3. It is clearly seen, as the number of superlattice barriers increases, the oscillatory behavior of the spin conductance becomes more prominent. For \(\Delta>50\)meV, the wave vector in the regions where the RSOC strength is non-zero is imaginary, so there is a pure evanescent state inside the barrier regions. Which leads to zero conductance for \(G_{{ \uparrow \uparrow {K_1}}}^{{}}/{G_0}\) and \(G_{{ \downarrow \uparrow {K_1}}}^{{}}/{G_0}\), thus the conductance has a gap. Therefore, by adjusting the strength of the energy gap in a borophene superlattice, it is easy to filter the incident electron beam. Also, because the maximum value of the \(G_{{ \downarrow \uparrow {K_1}}}^{{}}/{G_0}\) coincides with the minimum of the \(G_{{ \uparrow \uparrow {K_1}}}^{{}}/{G_0}\), thus a gapped 8-Pmmn borophene superlattice can act as a beam splitter.
The conductance with (\(G_{{ \uparrow \uparrow {K_1}}}^{{}}/{G_0}\)) and without (\(G_{{ \downarrow \uparrow {K_1}}}^{{}}/{G_0}\)) spin flip versus the energy gap for various the number of superlattice electrostatic barrier with E = 50 meV, \({U_0}\)= 200 meV, b = 50 nm and w = 10 nm. (a) for N = 2, (b) for N = 4 and (c) for N = 8.
In Fig. 4, the spin and valley polarization are analyzed according to the Rashba strength, for different values of the energy gap and the number of barriers. According to the figure, due to the propagating modes, the spin/valley polarization is the oscillatory function of the Rashba interaction, and as the number of barriers in the superlattice increased, the oscillatory behavior becomes more obvious due to the effects of interfaces. Also, the spin and valley polarization in a gapped borophene superlattice could be easily tuned by the Rashba strength. In general, behavior of spin (valley) polarization depends on the difference between the values of \({G_{ \uparrow \uparrow {K_1}}}+{G_{ \uparrow \uparrow {K_2}}}+{G_{ \uparrow \downarrow {K_1}}}+{G_{ \uparrow \downarrow {K_2}}}\) (\({G_{ \uparrow \uparrow {K_1}}}+{G_{ \uparrow \downarrow {K_1}}}+{G_{ \downarrow \downarrow {K_1}}}+{G_{ \downarrow \uparrow {K_1}}}\)) and \({G_{ \downarrow \uparrow {K_1}}}+{G_{ \downarrow \uparrow {K_2}}}+{G_{ \downarrow \downarrow {K_1}}}+{G_{ \downarrow \downarrow {K_2}}}\) (\({G_{ \uparrow \uparrow {K_2}}}+{G_{ \uparrow \downarrow {K_2}}}+{G_{ \downarrow \downarrow {K_2}}}+{G_{ \downarrow \uparrow {K_2}}}\)).
Dependence of the spin [(a), (b), (c)] and valley [(d), (e), (f)] polarization on the RSOC strength for different values of the energy gap with E = 50 meV, \({U_0}\)= 200 meV, b = 50 nm and w = 10 nm. [(a) and (d)] for N = 2, [(b) and (e)] for N = 4, [(c) and (f)] for N = 8.
To investigate the dependence of spin and valley polarization on the energy gap, these quantities in terms of the size of the energy gap for different values of the number of barriers and superlattice directions with \({\lambda _R}=20\)meV are shown in Fig. 5. It is clear that the valley and spin polarization depends sensitively on the number of barriers and the superlattice direction. Further, by controlling the size of the energy gap, in addition to controlling the amount of valley and spin polarization, the sign of these quantities can also be adjusted. Therefore, by using a gapped 8-Pmmn borophene superlattice, the incident electron beam can be polarized even in the absence of an external magnetic field. The spin/valley filtering by the proposed structure can effectively improve the on-off ratio in the future spin and valley field-effect transistors.
The spin [(a), (b), (c)] and valley [(d), (e), (f)] polarization as a function of the energy gap for various superlattice directions with E = 50 meV, \({U_0}\)= 200 meV, b = 50 nm and w = 10 nm. [(a) and (d)] for N = 2, [(b) and (e)] for N = 4, [(c) and (f)] for N = 8.
Conclusion
In conclusion, we investigated the effect of energy gap on the spin conductance and polarization of spin and valley in a superlattice based on the 8-Pmmn borophene. We demonstrated that, the conductance with spin rotation and without it shows a sensitive dependence on the direction of superlattice and Rashba strength. Also, as the superlattice direction increases, the maximum conductance occurs for higher value of Rashba strength. In addition, when the conductance without spin rotation has the highest value, the conductance with spin rotation has its lowest amount and vice versa. Therefore, a gapped 8-Pmmn borophene superlattice can act as a beam splitter and spin rotator. In gapped 8-Pmmn borophene-superlattice, a complete spin rotation can be observed for \(\frac{{16}}{N} \times n{\lambda _R}\) (n = 1, 2,…). Also, for these values of the Rashba strength, the maximum spin polarization is obtained. Moreover, the spin-dependent conductance shows an oscillating behavior with increasing the strength of the energy gap. When the energy gap is greater than a threshold value (50 meV), the conductance becomes zero for both electrons with rotation and without it. In other words, the spin-dependent conductance has a gap. Moreover, the polarization of spin and valley in a gapped borophene superlattice can be easily tuned by the strength of Rashba, superlattice direction and number of barriers. In addition, by engineering the size of the energy gap, the value and sign of the spin/valley polarization can be controlled. By using a gapped borophene superlattice, the incident electron beam can be polarized without the need for an external magnetic field. According to the peculiar electronic band structure of 8-Pmmn borophene, systems based on 8-Pmmn borophene, such as superlattices and spin field-effect transistors (SFETs) could have potential applications in the manufacture of nanoelectronic devices, advanced sensors, data storage and very large-scale integration technology in future.
Data availability
The datasets used and/or analysed during the current study are available from the corresponding author on reasonable request.
References
Geim, A. K. Graphene: Status and prospects. Science324, 1530–1534 (2009).
Zhang, K., Feng, Y., Wang, F., Yang, Z. & Wang, J. Two dimensional hexagonal Boron nitride (2D-hBN): Synthesis, properties and applications. J. Mater. Chem. C5, 11992–12022 (2017).
Choi, W. et al. Recent development of two-dimensional transition metal dichalcogenides and their applications. Mater. Today20, 116–130 (2017).
Batmunkh, M., Bat-Erdene, M. & Shapter, J. G. Phosphorene and phosphorene‐based materials–prospects for future applications. Adv. Mater. 28, 8586–8617 (2016).
Zhao, J. et al. Rise of silicene: A competitive 2D material. Prog Mater. Sci. 83, 24–151 (2016).
Ou, M. et al. The emergence and evolution of borophene. Adv. Sci.8, 2001801 (2021).
Wang, Z. Q., Lü, T. Y., Wang, H. Q., Feng, Y. P. & Zheng, J. C. Review of borophene and its potential applications. Front. Phys.14, 33403 (2019).
Xie, Z. et al. Two-dimensional borophene: properties, fabrication, and promising applications. Research 2624617 (2020). (2020).
Kumar, P. et al. The rise of Borophene. Prog Mater. Sci. 146, 101331 (2024).
Lopez-Bezanilla, A. & Littlewood, P. B. Electronic properties of 8-Pmmn borophene. Phys. Rev. B93, 241405 (2016).
Napitu, B. D. Photoinduced hall effect and transport properties of irradiated 8-Pmmn borophene monolayer. J. Appl. Phys.127, 034303 (2020).
Margulis, V. A. & Muryumin, E. E. Optical properties of two-dimensional materials with tilted anisotropic Dirac cones: Theoretical modeling with application to doped 8-Pmmn borophene. J. Opt.24, 014002 (2021).
Yuan, J., Yu, N., Xue, K. & Miao, X. Ideal strength and elastic instability in single-layer 8-Pmmn borophene. RSC Adv.7, 8654–8660 (2017).
Islam, S. F. & Jayannavar, A. M. Signature of tilted Dirac cones in Weiss oscillations of 8-Pmmn borophene. Phys. Rev. B96, 235405 (2017).
Zhang, S. H. & Yang, W. Oblique klein tunneling in 8-Pmmn borophene p-n junctions. Phys. Rev. B97, 235440 (2018).
Zhou, X. Anomalous andreev reflection in an 8-Pmmn borophene-based superconducting junction. Phys. Rev. B102, 045132 (2020).
Zheng, J., Lu, J. & Zhai, F. Anisotropic and gate-tunable valley filtering based on 8-Pmmn borophene. Nanotechnology32, 025205 (2020).
Weng, X. J. et al. Phase transition of layer-stacked borophene under pressure. Phys. Rev. B105, 235410 (2022).
Cheng, T., Lang, H., Li, Z., Liu, Z. & Liu, Z. Anisotropic carrier mobility in two-dimensional materials with tilted Dirac cones: Theory and application. Phys. Chem. Chem. Phys.19, 23942–23950 (2017).
Wang, Z. Q., Lü, T. Y., Wang, H. Q., Feng, Y. P. & Zheng, J. C. Band gap opening in 8-pmmn borophene by hydrogenation. ACS Appl. Electron. Mater.1, 667–674 (2019).
Ibarra-Sierra, V. G., Sandoval-Santana, J. C., Kunold, A. & Naumis, G. G. Dynamical band gap tuning in anisotropic tilted Dirac semimetals by intense elliptically polarized normal illumination and its application to 8-Pmmn borophene. Phys. Rev. B100, 125302 (2019).
Min, H. et al. Intrinsic and Rashba spin-orbit interactions in graphene sheets. Phys. Rev. B74, 165310 (2006).
Ju, W. et al. Electric field control of Rashba spin splitting in 2D NIIIXVI (N = Ga, In; X = S, Se, Te) monolayer. J. Phys. Condens. Matter32, 175503 (2020).
Lin, X., Yang, W., Wang, K. L. & Zhao, W. Two-dimensional spintronics for low-power electronics. Nat. Electron.2, 274–283 (2019).
Vishkayi, S. I. & Tagani, M. B. Current–voltage characteristics of borophene and borophane sheets. Phys. Chem. Chem. Phys.19, 21461–21466 (2017).
Champo, A. E. & Naumis, G. G. Metal-insulator transition in 8-Pmmn borophene under normal incidence of electromagnetic radiation. Phys. Rev. B99, 035415 (2019).
Zhang, S. H. & Yang, W. Anomalous caustics and Veselago focusing in 8-Pmmn borophene p–n junctions with arbitrary junction directions. New J. Phys.21, 103052 (2019).
Liu, K., Li, J., Li, Q. X. & Zhu, J. J. Anisotropic plasmon dispersion and damping in multilayer 8-Pmmn Borophene structures. Chin. Phys. B. 31, 117303 (2022).
Yar, A. & Wahab, N. U. Transport signatures of anisotropic tilted Dirac cones in 8-Pmmn borophene. Eur. Phys. J. B95, 123 (2022).
Zhou, X., Zheng, J. & Zhai, F. Anisotropic and valley-resolved beam-splitter based on a tilted Dirac system. Commun. Theor. Phys.74, 075701 (2022).
Vishnubhotla, V., Mitra, S. & Mahapatra, S. First-principles based study of 8-Pmmn borophene and metal interface. J. Appl. Phys.134, 034301 (2023).
Wild, A., Mariani, E. & Portnoi, M. E. Optical valley separation in two-dimensional semimetals with tilted Dirac cones. Sci. Rep.13, 19211 (2023).
Yekta, Y., Hadipour, H. & Jafari, S. A. Tuning the tilt of the Dirac cone by atomic manipulations in 8-Pmmn borophene. Commun. Phys.6, 46 (2023).
Zhang, S. H. et al. Tunneling valley hall effect driven by tilted Dirac fermions. Phys. Rev. Lett.131, 246301 (2023).
Nazar, N. D., Peeters, F. M., Filho, C., Vazifehshenas, T. & R. N., & 8-Pmmn borophene: edge States in competition with Landau levels and local vacancy States. Phys. Chem. Chem. Phys. 26, 16153–16159 (2024).
Sattari, F. & Mirershadi, S. Spin/valley dependent dwell time in an 8-Pmmn borophene junction. Phys. Scr.99, 105995 (2024).
Hartmann, R. R. & Portnoi, M. E. Bipolar electron waveguides in two-dimensional materials with tilted Dirac cones. Phys. Scr.99, 045214 (2024).
Xiang, H. & Zhai, F. Total reflection and large Goos-Hänchen shift in a semi-Dirac system. Phys. Rev. B109, 035432 (2024).
Sukprasert, N., Rakrong, P., Saipaopan, C., Choopan, W. & Liewrian, W. Asymmetric tilt-induced quantum beating of conductance oscillation in magnetically modulated Dirac matter systems. Nanomaterials14, 811 (2024).
Maleki, M., Sattari, F. & Mirershadi, S. Spin-dependent shot noise in 8-Pmmn Borophene based-superlattice. Phys. B. 690, 416278 (2024).
Chen, S. G., Kong, X., Zhang, B. & Gong, W. J. Valley filter of black phosphorus using irradiation by linearly polarized light. Phys. Rev. B110, 165410 (2024).
Esaki, L. & Chang, L. L. New transport phenomenon in a semiconductor superlattice. Phys. Rev. Lett.33, 495 (1974).
Ponomarenko, L. A. et al. Cloning of Dirac fermions in graphene superlattices. Nature 497, 594–597 (2013).
Kaloni, T. P., Tahir, M. & Schwingenschlögl, U. Quasi free-standing silicene in a superlattice with hexagonal boron nitride. Sci. Rep.3, 3192 (2013).
Song, J. C., Shytov, A. V. & Levitov, L. S. Electron interactions and gap opening in graphene superlattices. Phys. Rev. Lett.111, 266801 (2013).
Tavakoli, F., Faizabadi, E., Elahi, S. M. & Hantehzadeh, M. Spin-resolved transport properties in molybdenum disulfide superlattice. Eur. Phys. J. B. 92, 1–13 (2019).
Verhagen, T. et al. Superlattice in collapsed graphene wrinkles. Sci. Rep.9, 9972 (2019).
Li, H., Papadakis, R., Hussain, T., Karton, A. & Liu, J. Moiré patterns arising from bilayer graphone/graphene superlattice. Nano Res. 13, 1060–1064 (2020).
Sattari, F. & Mirershadi, S. Effect of the strain on spin-valley transport properties in MoS2 superlattice. Sci. Rep.11, 17617 (2021).
Lei, Y. et al. Perovskite superlattices with efficient carrier dynamics. Nature 608, 317–323 (2022).
Xing, F. et al. Preparation, properties and applications of two-dimensional superlattices. Mater. Horiz.10, 722–744 (2023).
Oubram, O., Sadoqi, M., Cisneros-Villalobos, L. & Rodríguez-Vargas, I. Tuning the magnetoresistance properties of phosphorene with periodic magnetic modulation. J. Phys. Condens. Matter35, 265301 (2023).
Guzmán, E. J., Oubram, O., Navarro, O. & Rodríguez-Vargas, I. Disorder effects on the ballistic transport of gated phosphorene superlattices. Phys. Rev. B107, 045407 (2023).
Song, J., Cao, Y., Dong, J. & Sun, M. Superior thermoelectric properties of twist-angle superlattice borophene induced by interlayer electrons transport. Small19, 2301348 (2023).
Du, L. et al. Nonlinear physics of moiré superlattices. Nat. Mater.23, 1179–1192 (2024).
Sharma, C. H. et al. Transport spectroscopy study of minibands in MoS2 moiré superlattices. Phys. Rev. B109, 195106 (2024).
Jiao, M. Q. & Li, Y. X. Transport properties and electron filter in 8-Pmmn borophene superlattice. Phys. Lett. A497, 129343 (2024).
Benlakhouy, N., El Mouhafid, A. & Jellal, A. Transport properties through alternating Borophene and graphene superlattices. Ann. Phys. 468, 169743 (2024).
Long, W., Sun, Q. F. & Wang, J. Disorder-induced enhancement of transport through graphene p-n junctions. Phys. Rev. Lett.101, 166806 (2008).
Pulkin, A. & Yazyev, O. V. Spin-and valley-polarized transport across line defects in monolayer MoS2. Phys. Rev. B93, 041419 (2016).
Acknowledgements
This research was supported by University of Mohaghegh Ardabili (Research grant number 27953).
Author information
Authors and Affiliations
Contributions
All authors conceived the study. F.S. performed the numerical calculations. S.M. wrote the main manuscript text. All authors have contributed in analyzing the results and preparing the manuscript.
Corresponding author
Ethics declarations
Competing interests
The authors declare no competing interests.
Additional information
Publisher’s note
Springer Nature remains neutral with regard to jurisdictional claims in published maps and institutional affiliations.
Electronic supplementary material
Below is the link to the electronic supplementary material.
Rights and permissions
Open Access This article is licensed under a Creative Commons Attribution-NonCommercial-NoDerivatives 4.0 International License, which permits any non-commercial use, sharing, distribution and reproduction in any medium or format, as long as you give appropriate credit to the original author(s) and the source, provide a link to the Creative Commons licence, and indicate if you modified the licensed material. You do not have permission under this licence to share adapted material derived from this article or parts of it. The images or other third party material in this article are included in the article’s Creative Commons licence, unless indicated otherwise in a credit line to the material. If material is not included in the article’s Creative Commons licence and your intended use is not permitted by statutory regulation or exceeds the permitted use, you will need to obtain permission directly from the copyright holder. To view a copy of this licence, visit http://creativecommons.org/licenses/by-nc-nd/4.0/.
About this article
Cite this article
Sattari, F., Mirershadi, S. Spin-dependent conductance in gapped 8-Pmmn borophene-superlattice. Sci Rep 15, 26441 (2025). https://doi.org/10.1038/s41598-025-12028-0
Received:
Accepted:
Published:
Version of record:
DOI: https://doi.org/10.1038/s41598-025-12028-0







