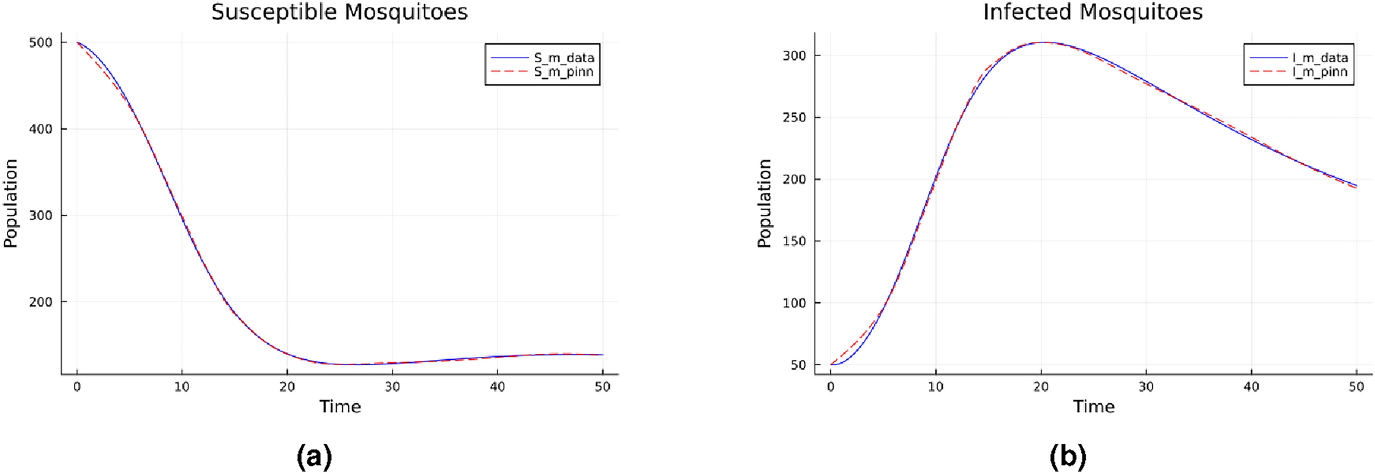
Fig. 13
From: Analysis of a mathematical model for malaria using data-driven approach

Prediction made by PINNs for the mosquito population.
From: Analysis of a mathematical model for malaria using data-driven approach

Prediction made by PINNs for the mosquito population.