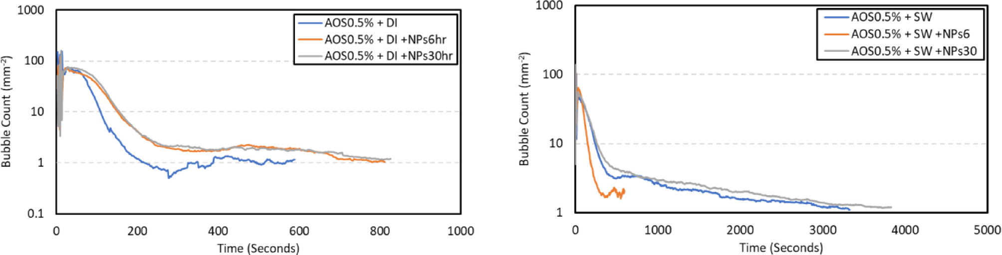
Fig. 24

Bubble count versus time for foams generated with solutions prepared in DIW (left) and SWB (right) using CO2 as obtained from the DFA.

Bubble count versus time for foams generated with solutions prepared in DIW (left) and SWB (right) using CO2 as obtained from the DFA.