Fig. 7

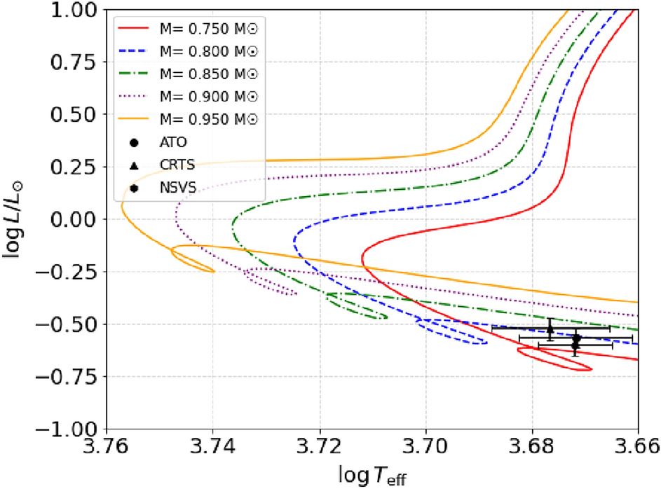
Positions the primary component of each system on \(log T_{eff} - log L/L_\odot\) plane. Evolutionary tracks and isochrones are from49. Each track corresponds to the mass value of solar units.

Positions the primary component of each system on \(log T_{eff} - log L/L_\odot\) plane. Evolutionary tracks and isochrones are from49. Each track corresponds to the mass value of solar units.