Fig. 4
From: Heat shock proteins related signature characterizes immune status and predicts prognosis of gliomas

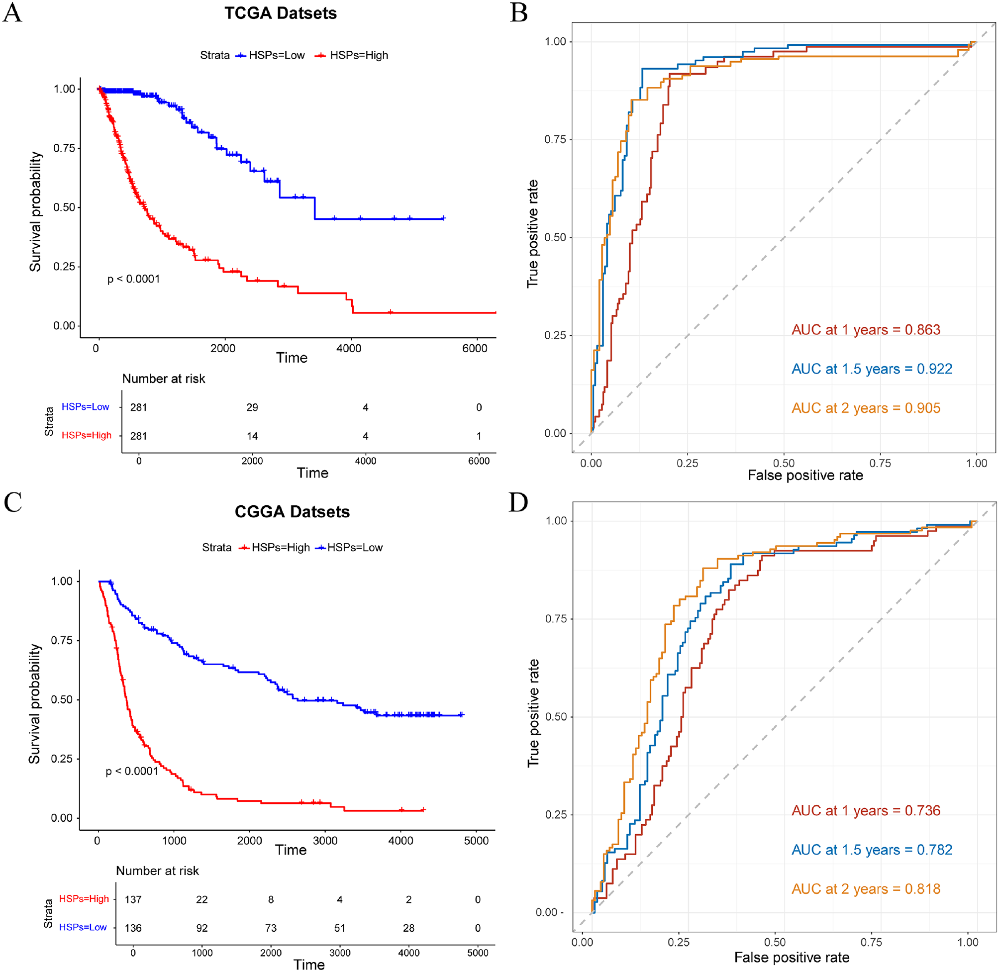
Kaplan-Meier Analysis and Time-Dependent ROC Analysis of the HSPs Prognostic Gene Signature. Kaplan-Meier survival curves for the gene signature in TCGA cohorts (A) and CGGA cohorts (C). Time-dependent ROC curves for the prognostic gene signature in TCGA cohorts (B) and CGGA cohorts (D).