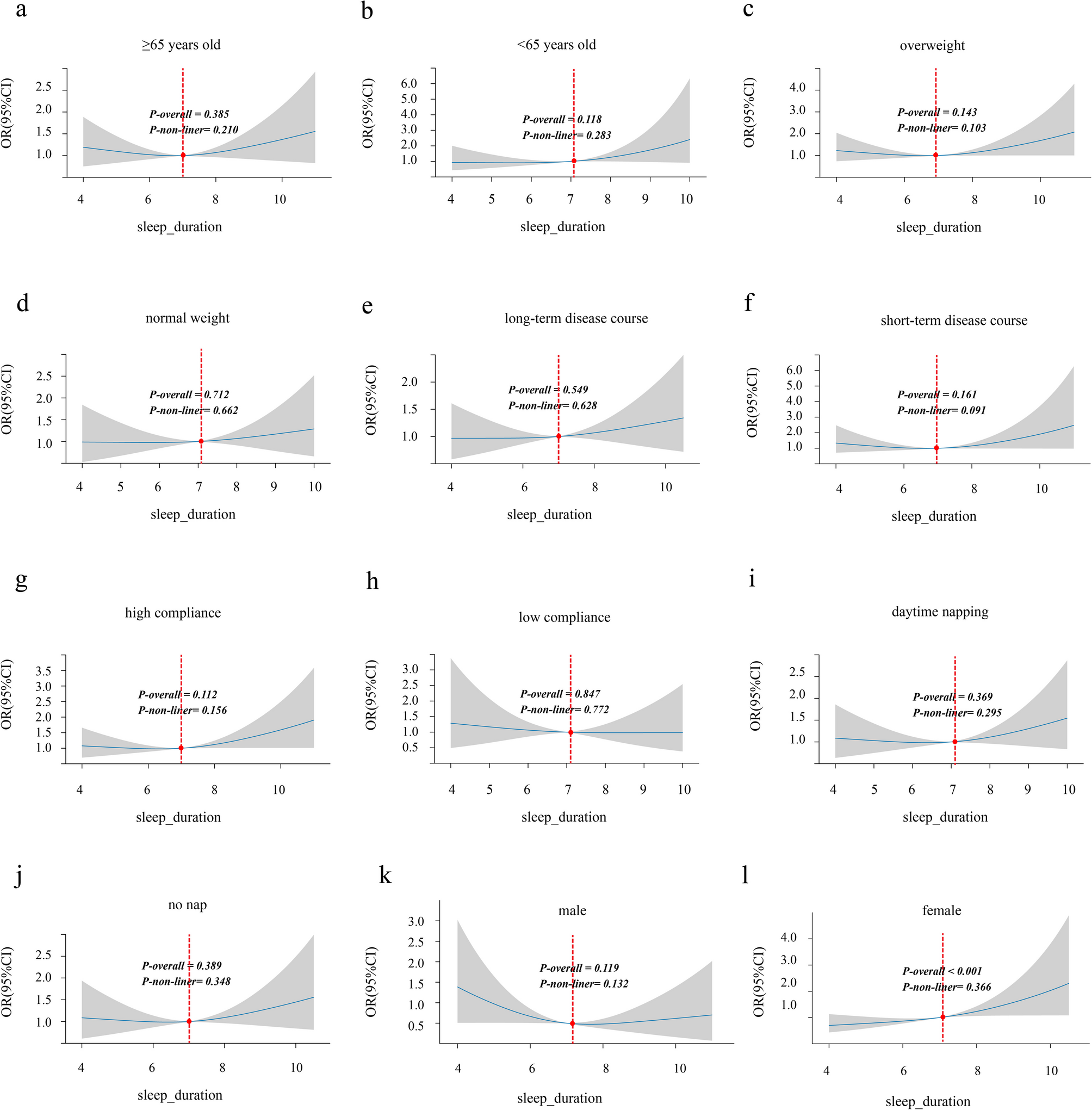
Fig. 1

The dose-response relationships between sleep duration and blood pressure control within each subgroup. Overweight indicated a BMI ≥ 25. Normal weight indicated a BMI < 25. Long-term disease course indicated ≥ 10 years. Short-term disease course indicated < 10 years. The dose-response relationship curves indicate that the inflection point of the J-shaped relationship between sleep duration and blood pressure control is approximately at 7 h.