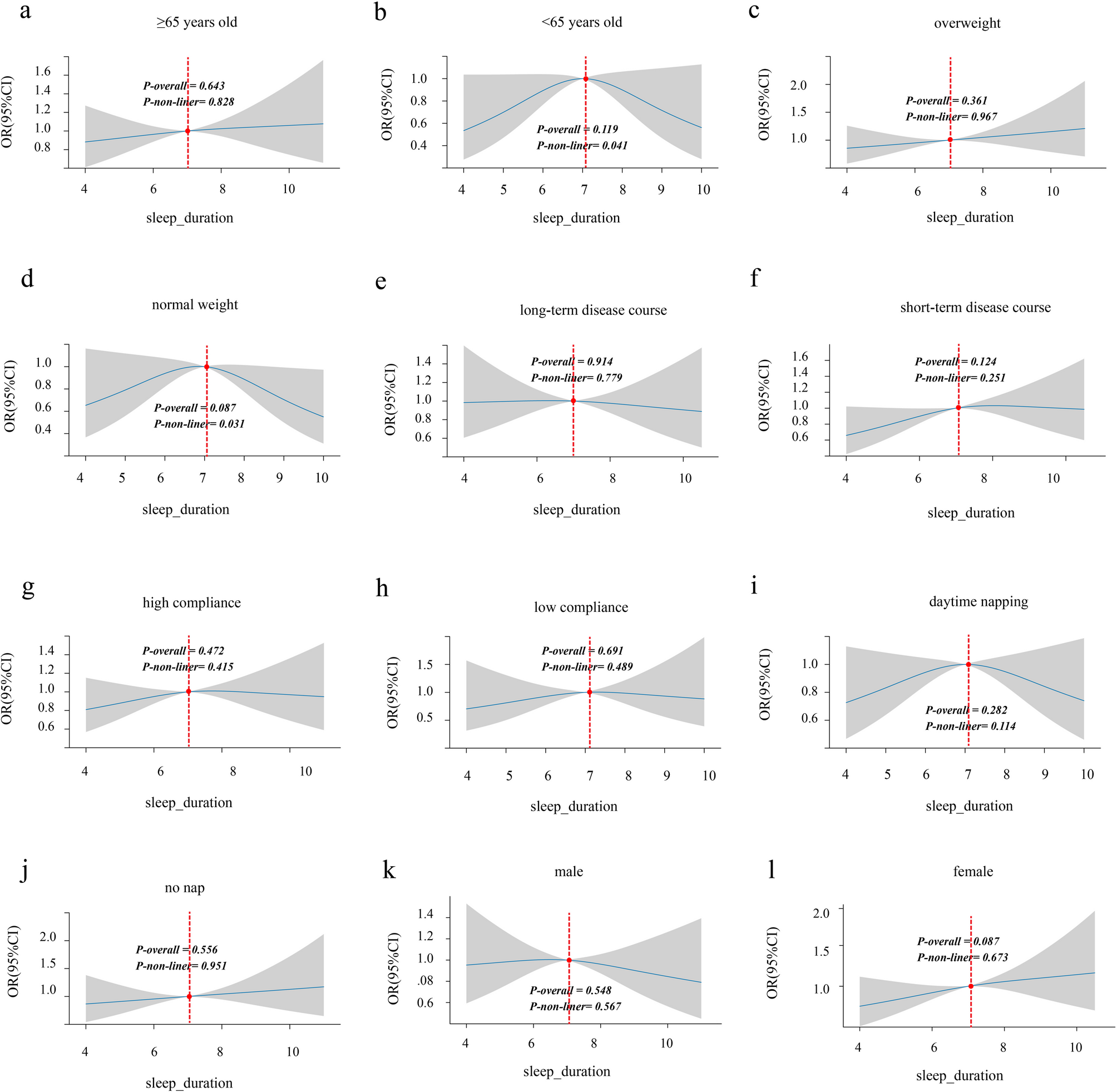
Fig. 2

The dose-response relationships between sleep duration and glycemic control within each subgroup. Overweight indicated a BMI ≥ 25. Normal weight indicated a BMI < 25. Long-term disease course indicated ≥ 10 years. Short-term disease course indicated < 10 years. There is a nonlinear relationship between sleep duration and glycemic control in people under 65 years old (Pnon-linear = 0.041) and those with normal weight (Pnon-linear = 0.041). The inflection point of all dose-response relationships is approximately at 7 h.